Учет фактора времени при оценке стоимости бизнеса
В результате освоения темы студент должен
знать: временную концепцию денег.
уметь: применять методы наращения и
дисконтирования.
владеть: техникой вычисления простого и сложного
процента.
Основные вопросы, подлежащие изучению в данной
теме:
Учёт фактора времени при оценке денежных
потоков. Причины изменения стоимости (покупательной способности) денег
во времени. Понятие простого и сложного процента. Будущая и текущая стоимость
денежной единицы. Текущая стоимость аннуитета. Будущая стоимость аннуитета.
Периодический взнос в погашение кредита. Выполнение вычислений с помощью таблиц
функций сложного процента.
Самостоятельная работа студентов заключается в
нахождение ответов на следующие вопросы:
1. Почему денежные потоки, возникающие в различные периоды
времени не сопоставимы по своей величине?
2. Назовите прямые и обратные функции сложного процента.
3. Приведите примеры денежного потока, называемого
аннуитетом.
4. В чём отличие обычного аннуитета от авансового?
5. Приведите примеры применения отдельных функций сложного
процента при оценке стоимости предприятия.
План практического занятия:
-
Выполнение тестовых заданий
2. Решение задач на нахождение сегодняшней и будущей
стоимости денег, т.е. на процесс наращения и дисконтирования.
Учет фактора времени при оценке стоимости бизнеса предприятия
Время является особым экономическим ресурсом. Люди в своей
производственно-экономической деятельности располагают ограниченным количеством
этого невоспроизводимого ресурса. Однако время довольно редко причисляется к
числу экономических ресурсов (его не надо добывать) и рассматривается в качестве
такового, хотя используется понятие «ресурс времени». Между тем время — наиболее
универсальный ресурс, без наличия которого не протекает ни один экономический
процесс.
Производители вынуждены вначале приобретать необходимые ресурсы, осуществлять
затраты, чтобы создать факторы производства. Лишь затем они возмещают эти
затраты продажей продукта, произведенного с использованием этих факторов. То
есть в экономике неизбежно приходится вначале вкладывать в дело средства,
создавать условия протекания производственных процессов и только потом получать
желаемый результат, отдачу от вложенных средств.
Промежуток времени между вложением средств, вовлечением ресурсов и их
превращением в действующие факторы производства может существенно различаться
для разных факторов производства и стадий воспроизводства. Источником прироста
капитала и движущим мотивом осуществления инвестиций являётся получаемая от них
прибыль. Эти два процесса — Вложение капитала и получение прибыли — могут
происходить в различной временной последовательности:
а) последовательное протекание процессов вложения капитала и
получения прибыли — прибыль получается сразу после завершения инвестиций в
полном объеме;
б) параллельное протекание процессов вложения капитала и получения
прибыли — получение прибыли возможно еще до полного завершения процесса
инвестирования;
в) интервальное протекание процессов вложения капитала и
получения прибыли — между периодом завершения инвестиций и получением прибыли
проходит определенное время (временной лаг).
Поэтому одна из главных проблем экономической оценки инвестиций состоит в
том, чтобы сопоставить выплаты, которые делаются
в разные моменты времени, так как одинаковые по величине затраты,
осуществляемые в разное время, экономически неравнозначны.
Одна из базовых концепций экономики предприятия состоит в том, что
стоимость определенной суммы денег — это функция от
времени возникновения денежных доходов или расходов. Рубль, полученный
сегодня, стоит больше рубля, который будет получен в будущем.
2.2. ОЦЕНКА СТОИМОСТИ ДЕНЕГ ВО ВРЕМЕНИ
Экономическая оценка инвестиций требует осуществления различного рода
финансово-экономических расчетов, связанных с потоками денежных средств в разные
периоды времени. Ключевую роль в этих расчетах играет оценка стоимости
денег во времени. Одна из базовых концепций экономики коммерческого
предприятия и теории принятия управленческих решений состоит в том, что
стоимость определенной суммы денег — это функция от времени возникновения
денежных доходов или расходов.То есть стоимость денег с течением
времени изменяется с учетом нормы прибыли на денежном рынке, в качестве которой
может выступать норма ссудного процента (или процента). В данном случае под
процентомпонимается сумма доходов от использования денег на
денежном рынке.
Учитывая, что инвестирование представляет собой обычно длительный процесс, в
оценке инвестиций часто приходится сравнивать стоимость денег в начале их
инвестирования со стоимостью денег при их возврате в виде будущей прибыли,
амортизационных отчислений и т.п.
В практике экономических расчетов влияние разновременности затрат и
результатов учитывается путем приведения по шкале времени.
Приведение по шкале времени может осуществляться на основе
процессов наращения и дисконтирования. Наращение — это процесс
определения возвращаемой (будущей) суммы денежных средств, если известны
исходная сумма вложений, процентная ставка дохода от них и период накопления.
Дисконтирование — процесс приведения денежных сумм,
получаемых в будущем, к более раннему (начальному) моменту времени.
Таким образом, в процессе сравнения стоимости денежных средств при их
инвестировании и возврате принято использовать два основных понятия:
— будущая стоимость денег, FV;
— настоящая (текущая, современная) стоимость денег, PV.
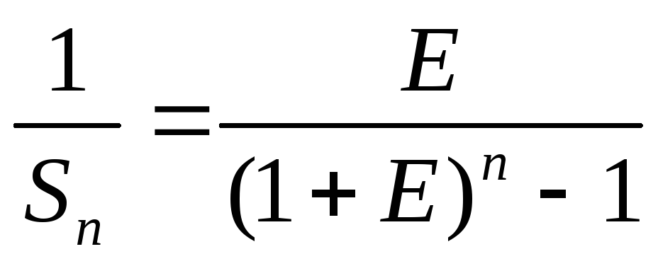
Фактор фонда возмещения - функция временной стоимости денег
Фактор фонда возмещения показывает денежную сумму, которую необходимо
депонировать в конце каждого периода для того, чтобы через заданное число
периодов остаток составил 1 долл. Данный фактор принимает во внимание процент,
получаемый по депозитам.
Например, для того чтобы через четыре года получить 1 долл. При нулевом
проценте, в конце каждого года необходимо депонировать 25 центов. Если же
сложная ставка составит 10%, то по окончании каждого из четырех лет необходимо
будет депонировать только 0,215471 долл. Разница между 1 долл. И суммой четырех
взносов (4 X 0,215471 = 0,861884) равна проценту, приносимому депозитом.
Предположим, что студентка хочет скопить за четыре года 4641 долл., депонируя
по окончании каждого года равные суммы. В том случае, если остаток на депозите
ежегодно приносит 10%, то обязательный ежегодный взнос должен составлять 1000
долл. (0,215471 х 4641 = 1000 долл.).
Часто в тех случаях, когда вплоть до истечения срока долгового
обязательства кредитору выплачивается только процент, заемщики для
погашения основной суммы кредита создают специальные фонды возмещения. В
каждый период должник вносит в отдельный фонд сумму, которая вместе с
начисляемым на нее процентом должна обеспечить погашение основной части кредита.
С истечением срока задолженности фонд закрывается, а его остаток используется
для погашения кредита.
Фактор фонда возмещения показывает сумму, которая должна быть депонирована в
каждый период для того, чтобы по истечении заданного числа периодов остаток
достиг 1 долл. Это величина, обратная фактору накопления единицы за период.
Фактор фонда возмещения составляет часть от взноса на амортизацию 1 долл.
Последний равен сумме двух коэффициентов. Первый — ставка процента, или дохода
на инвестиции. Второй — фактор фонда возмещения, возмещение или возврат
инвестированных средств. Фактор фонда возмещения, рассчитанный по тому же
проценту, что и ставка по кредиту, является нормой погашения основной суммы
кредита. Например, фактор взноса на амортизацию кредита в 1 долл. При 10%-ной
ставке в течение четырех лет составляет 0,315471. Из этого фактора 0,10
приходится на 10%-ную ставку (0,10) и 0,215471 — на фактор фонда возмещения при
10%-ной ставке.
Если процент по кредиту должен выплачиваться ежегодно, а в фонд возмещения в
каждый период вносятся 0,215471 долл., приносящие 10%, то через четыре года в
фонде будет накоплена сумма, как раз достаточная для погашения 1-долларового
кредита. Расчеты показаны в табл. 4-3. Фактор фонда возмещения описан графически
на рис. 4-5.
Предварительно рассчитанные таблицы
Для факторов фонда возмещения также построены таблицы. Цифра на пересечении
числа периодов и соответствующей колонки (колонка 3 таблиц в Приложении Б)
показывает, какими должны быть равновеликие периодические платежи при выбранной
ставке процента для того, чтобы по окончании всего срока на счету
аккумулировался 1 доллар.
При расчете таблиц использована формула:
-
где: n- число периодов;
Е - периодическая ставка процента
-фактор
фонда возмещения
Фонд возмещения капитала определяется по формуле:

где:
РМТВК – фонд возмещения капитала;
PV –возмещаемый капитал.
Пример 2.8.Судовладелец определил, что на ремонт судна через три года
потребуется 200 000рублей. Какую сумму необходимо откладывать ежеквартально в
банк под 16 % годовых, чтобы накопить ремонтный фонд к указанному сроку?
Решение:

Элементы финансовой математики в оценке стоимости (временная оценка денежных
потоков)
ТЕРМИНЫ И ОПРЕДЕЛЕНИЯ
Накопление – это процесс приведения текущей стоимости денег к их будущей
стоимости, при условии, что вложенная сумма удерживается на счету в течение
определенного времени, принося периодически накапливаемый процент.
Дисконтирование – это процесс приведения денежных поступлений от инвестиций к
их текущей стоимости.
Аннуитетные платежи (PMT) – это серия равновеликих платежей (поступлений),
отстоящих друг от друга на один и тот же промежуток времени. Выделяют обычный и
авансовый аннуитеты. Если платежи осуществляются в конце каждого периода, то
аннуитет обычный, если в начале – авансовый.
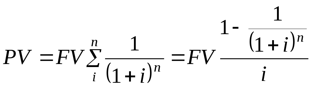
Текущая стоимость (PV) (англ. Present value) - исходная сумма долга или
оценка современной величины денежной суммы, поступление которой ожидается в
будущем, в пересчете на более ранний момент времени.
Будущая стоимость (FV) (англ. Future value) - сумма долга с начисленными
процентами в конце срока.
Ставка дохода или процентная ставка (i) (англ. Rate of interest) - является
относительным показателем эффективности вложений (норма доходности),
характеризующим темп прироста стоимости за период.
Срок погашения долга (n) (англ. Number of periods) - интервал времени, по
истечении которого сумму долга и проценты нужно вернуть. Срок измеряется числом
расчетных периодов, обычно равных по длине (например, месяц, квартал, год), в
конце которых регулярно начисляются проценты.
Частота накоплений в год (k) - периодичность начисления процентов оказывает
влияние на величину накопления. Чем чаще начисляются проценты, тем больше
накопленная сумма.
ОБОЗНАЧЕНИЯ К ФОРМУЛАМ
FV – будущая стоимость денежной единицы;
PV – текущая стоимость денежной единицы;
PMT – равновеликие периодические платежи;
i – ставка дохода или процентная ставка;
n – число периодов накопления, в годах;
k – частота накоплений в год.
Для понимания сущности методов оценки доходной недвижимости необходимо
рассмотреть функции сложного процента, которые характеризуют количественные
изменения стоимости денег во времени.
Базовая аксиома всей методологии оценки недвижимости –
«деньги завтра не есть деньги сегодня». Приведение денежных сумм, возникающих в
разное время, к сопоставимому виду называется временнoй оценкой денежных
потоков. Временная оценка денежных потоков основана на использовании шести
функций сложного процента или шести функций денежной единицы.
Для операций финансового анализа используются специальные таблицы шести
функций, содержащие предварительно рассчитанные по сложному проценту
факторы:
колонка 1 — накопленная сумма (будущая стоимость) денежной единицы (fvf, i,
n);
колонка 2 — накопление денежной единицы (fvaf, i, n);
колонка 3 — фонд возмещения (sff, i, n);
колонка 4 — текущая стоимость единицы (реверсии) (pvf, i, n);
колонка 5 — текущая стоимость обычного аннуитета (pvaf, i, n);
колонка 6 — взнос на амортизацию единицы (iaof, i, n).
Таблицы, рассчитанные для годового и ежемесячного начисления процента,
приведены в приложении.
Порядок использования таблиц:
1. Выбрать раздел ежегодного или ежемесячного учета
накопления.
2. Найти страницу с соответствующей ставкой сложного
процента.
3. Найти колонку, где указывается величина соответствующего
фактора сложного процента.
4. Найти продолжительность расчетного срока в левой или число
периодов в правой колонке выбранной таблицы.
5. Найти расчетную величину фактора сложного процента на
пересечении соответствующей колонки и ряда таблицы.
6. Умножить величину единичного фактора на известную исходную
денежную сумму, соответствующую данной ситуации в задаче.
В предварительно разработанных таблицах шести функций сложного
процента данный фактор следует искать в первой колонке таблицы.
Список литературы и источников на тему "Временная стоимость в оценке стоимости"
- Список работ для МФЮА
- Тест МФЮА: Бухгалтерский учет и отчетность
- Тест МФЮА: Инвестиции (ОСП(б))
- Тест МФЮА: Математические методы в оценке
- Тест МФЮА: Микро- и макроэкономические основы рыночного ценообразования
- Тест МФЮА: Налоги и налогообложение (ОСП(б))
- Тест МФЮА: Основы оценки стоимости имущества
- Тест МФЮА: Основы оценки стоимости машин, оборудования и транспортных средств
- Тест МФЮА: Основы оценки стоимости недвижимости
- Тест МФЮА: Основы оценки стоимости предприятия (бизнеса)
- Тест МФЮА: Оценка стоимости земли
- Тест МФЮА: Оценка стоимости кредитно-финансовых институтов
- Тест МФЮА: Оценка стоимости нематериальных активов и интеллектуальной собственности
- Тест МФЮА: Оценка стоимости транспортных средств
- Тест МФЮА: Оценка стоимости ценных бумаг
- Тест МФЮА: Правовое обеспечение формирования, обращения и оценки стоимости имущества (ОСП(б))
- Тест МФЮА: Практика оценки стоимости машин, оборудования и приборов
- Тест МФЮА: Ценообразование в машиностроении и приборостроении
- Тест МФЮА: Ценообразование в строительстве
- Тест МФЮА: Экономический анализ
- МФЮА. Перечень экзаменационных вопросов для проведения итогового междисциплинарного экзамена (тестирования)
Другие похожие работы