Определение рыночной стоимости в российском
законодательстве
4.2.1. В России в соответствии с законом об оценочной
деятельности под рыночной стоимостью понимается наиболее вероятная цена, по
которой данный объект оценки может быть отчужден на открытом рынке в
условиях конкуренции, когда стороны сделки действуют разумно, располагая всей
необходимой информацией, а на величине цены сделки не отражаются какие-либо
чрезвычайные обстоятельства.
4.2.2. Применительно к земле, это означает, что рыночная
стоимость земельного участка — это цена, которую можно было бы получить на
открытом рынке незастроенных земельных участков в соответствии с
физическими свойствами земельного участка и правовыми, экономическими
условиями обычных деловых операций без учета необычных или личных
отношений. Под обычными деловыми операциями понимаются условия совершения
сделок, формирующие такой рынок земельных участков, на котором:
- ни покупатель, ни продавец не действуют под давлением или
по принуждению;
- и покупатель, и продавец не действуют в соответствии со
сложившейся практикой продаж;
- стоимость определяется исключительно объективной
возможностью стабильного использования земельного участка.
Определение рыночной стоимости объекта недвижимости затратным методом
Затратный метод основан на определении затрат, которые может
понести потенциальный покупатель недвижимости при строительстве здания или
сооружения, аналогичного по своим физическим параметрам или потребительской
свойствам оцениваемой недвижимости.
Стоимость нового строительства улучшений в зависимости от
типа объекта оценки и условий может выступать в виде восстановительной стоимости
или стоимости замещения.
Восстановительная стоимость - стоимость строительства
в текущих на дату оценки точной копии оцениваемого объекта из таких материалов,
возведенного с соблюдением таких же стандартов, по такому же проекту.
Стоимость замещения - оцениваемая стоимость
строительства в текущих ценах на дату оценки здания с полезностью, равной
полезности оцениваемого объекта с употреблением современных материалов,
современных стандартов, проекта и т.д.
Процедура оценки затратным методом включает следующие
последовательные шаги:
-
Расчет восстановительной стоимости строительства или
приобретения строения, идентичного оцениваемому.
-
Определение величины накопленного износа строений.
-
Уменьшение восстановительной (заменяющей) стоимости на
сумму износа для получения остаточной стоимости.
Расчет восстановительной стоимости объекта.
Для оценки стоимости строительства может использоваться один
из следующих методов:
1) Метод сравнительной единицы.
Метод сравнительной единицы основан на сравнении стоимости
единицы площади или единицы объема со стоимостью единицы площади или единицы
объема подобного типового сооружения. В результате корректировки стоимости
типового объекта на условия рынка и физические различия определяется искомая
величина рыночной стоимости.
Для этого можно в любой строительной организации узнать цену
строительства 1 кв. м (1куб. м) жилья или иных строительных объектов в
зависимости от типа оцениваемого объекта. При этом ссылка на источник
информации о стоимости 1 кв. м (1 куб. м) обязательна.
Можно также использовать значение восстановительной стоимости
строительства 1 кв.м (1 куб. м) в предыдущие годы, применив соответствующие
коэффициенты пересчета.
При оценке недвижимого имущества затратным методом большое
распространение получил подход, заключающийся в установлении текущей стоимости
совокупных расходов по возведению объекта с использованием нормативно-сметной
документации, разработанной в прошлые годы (по состоянию на 1969, 1984, 1991
годы).
Основой для получения текущей восстановительной стоимости
недвижимости могут служить как данные проектно-сметной документации, так и
укрупненные ценовые показатели по типовым зданиям и сооружениям, сгруппированным
в “Сборниках укрупненных показателей восстановительной стоимости” (УПВС).
Указанные справочники составлены в ценах базового 1969 года строительства и
содержат сведения практически по всем типам объектов, возводимых в то время и
еще эксплуатирующихся сегодня.
В общем случае пересчет стоимости из условий базового года
строительства в условия на дату оценки осуществляется по формуле:
Св = С69 * И69-84
* К69-84 *
И84-91 И84-91*
И91
где:
СВ — восстановительная стоимость
объекта недвижимости (удельной единицы) в ценах, существующих на дату
оценки;
С69 — восстановительная стоимость
объекта недвижимости (удельной единицы) в ценах базового года строительства, на
1.01.69г.;
И69-84 — отраслевой индекс пересчета
стоимости строительства из условий базового 1969г. в условия 1984г.;
К69-84 — территориальный коэффициент
к индексам пересчета стоимости строительства из условий базового 1969г. в
условия 1984г. года;
И84-91 — отраслевой индекс пересчета
стоимости строительства из условий 1984г. в условия 1991г.;
К84-91 — территориальный коэффициент
к индексам пересчета стоимости строительства из условий 1984г. в условия 1991г.
года;
И91 — отраслевой индекс пересчета
стоимости строительства из условий 1991г. в условия, существующие на дату
оценки.
Для перевода сметных норм и цен, действующих с 1 января 1969
года в уровень 1 января 1984 года используется постановление Госстроя СССР № 94
от 11 мая 1983 года “Об утверждении индексов изменения сметной стоимости
строительно-монтажных работ и территориальных коэффициентов к ним для
пересчета сводных сметных расчетов (сводных смет) строек”. В соответствии с этим
документом индексы пересчета стоимости строительства из условий базового 1969г.
в условия 1984г. в среднем колеблются от 1,15 до 1,19 в зависимости от отрасли.
Территориальный коэффициент для Тульской области составляет 1,01.
Для перевода сметных норм и цен, действующих с 1 января 1984
года в уровень 1 января 1991 года используется постановление Госстроя СССР №
14-Д от 6 сентября 1991 года “Об индексах изменения стоимости
строительно-монтажных работ и прочих работ и затрат в строительстве) В
соответствии с этим документом индексы пересчета стоимости строительства из
условий 1984г. в условия 1991г. в среднем колеблются от 1,50 до 1,60 в
зависимости от отрасли. Территориальный коэффициент для Тульской области
составляет 1,02.
Индексы пересчета стоимости СМР из цен 1991 года на дату
оценки публикуются региональным центром по ценообразованию в строительстве
каждый месяц.
Получив восстановительную стоимость 1 кв.м (1 куб.м.)
каким-либо из методов рассчитываем восстановительную стоимость всего
объекта.
Для получения обоснованной стоимости затратным методом
необходимо также определить величину прибыли предпринимателя и добавить ее к
определенной восстановительной стоимости объекта. Прибыль предпринимателя - это
вознаграждение инвестора за риск строительства объекта недвижимости. Она
отражает рыночно обоснованную величину, которую предприниматель (застройщик)
рассчитывает получить сверх всех затрат (материалы + труд + управление) в
качестве вознаграждения за свою деятельность. Фактически прибыль предпринимателя
составляет 25-35% от затрат на строительство.
2. Метод разбивки на компоненты.
Наиболее точное значение стоимости получается в результате
пересчета или составления заново сметы расходов на строительство объекта. При
этом стоимость материалов и строительно-монтажных работ может приниматься по их
текущей стоимости на дату оценки или путем применения соответствующих
коэффициентов пересчета.
Сущность данного метода заключается в том, что стоимость
всего сооружения определяется как сумма стоимостей его строительных компонентов
- фундаментов, стен, кровли и т. д. Стоимость каждого компонента получают исходя
из его единичной стоимости, т.е. суммы издержек, необходимых для выполнения
единичного объема. Зная объем каждого элемента и его единичную стоимость,
находят стоимость всего сооружения (таблица 1).
Суммы затрат на строительство определяются, как правило, в
ценах базового периода (1984 или 1991 года ) на основании сметных документов.
Таблица 1
Расчет стоимости строительства по конструктивным элементам
|
Наименование работ и затрат |
Единица
измерения
СМР |
Объем
работ
в ед. изм. |
Стоимость СМР на ед. изм., руб. |
Общая стоимость,
тыс. руб. |
|
Подготовка участка |
|
|
|
|
|
Фундамент |
|
|
|
|
|
Стены |
|
|
|
|
|
Каркасы |
|
|
|
|
|
Лестницы и площадки |
|
|
|
|
|
Перекрытия |
|
|
|
|
|
Кровля |
|
|
|
|
|
Перегородки |
|
|
|
|
|
Полы |
|
|
|
|
|
Окна |
|
|
|
|
|
Двери |
|
|
|
|
|
Отделка |
|
|
|
|
|
Водопр.-канализац. система |
|
|
|
|
|
Сантехприборы |
|
|
|
|
|
Система электроснабжения |
|
|
|
|
|
Электроарматура |
|
|
|
|
|
Теплоснабжение, вентиляция |
|
|
|
|
|
Лифты |
|
|
|
|
|
Благоустройство территории |
|
|
|
|
|
Внешние инженерные сети |
|
|
|
|
|
И т.д. |
|
|
|
|
|
Итого: |
|
|
|
|
|
Коэффициент, учитывающий особые условия
строительства: |
|
|
|
|
|
Итого стоимость строительства |
|
|
|
|
Приведение стоимости, полученной с помощью укрупненных
показателей, к уровню текущих цен осуществляется с использованием
соответствующих индексов, а также с учетом принятого на момент оценки
увеличения стоимости от накладных расходов, плановых накоплений, отчислений в
соцстрах и т.д. Так как индексы удорожания работ и материалов разные, необходимо
учитывать отдельно удорожание для каждой из статей прямых затрат.
3. Ресурсный метод.
Ресурсный метод основывается на расчете стоимости основных
строительных материаловв текущих ценах с последующим добавлением
стоимости оплаты труда, затрат на эксплуатацию машин и механизмов,
накладных расходов, прибыли подрядчика и прочих работ и затрат.
Информация о типе элементов конструкций, материале,
фактическом их объеме может быть получена путем обследования объекта или данных
проектной документации.
Расчет стоимости материалов выполнялся в ценах на дату
оценки, полученных на основе анализа рынка строительных материалов.
Результаты расчета стоимости материалов приводятся в таблице
2.
Таблица 2
Расчет стоимости строительных материалов
|
Наименование строительных материалов |
Единица
измерения |
Количество |
Стоимость единицы, тыс. руб. |
Стоимость
общая, тыс. руб. |
|
Цемент |
т |
|
|
|
|
Песок |
м3 |
|
|
|
|
Щебень |
м3 |
|
|
|
|
Кирпич |
тыс. шт. |
|
|
|
|
Панели стеновые |
м3 |
|
|
|
|
Сталь арматурная |
т |
|
|
|
|
Сталь прокат |
т |
|
|
|
|
Кровельные материалы |
м2 |
|
|
|
|
Трубы стальные |
т |
|
|
|
|
Пенобетон |
м3 |
|
|
|
|
Раствор |
м3 |
|
|
|
|
Стекло |
м3 |
|
|
|
|
и т.д. |
|
|
|
|
|
Итого затраты на основные материалы |
|
|
|
|
|
Прочие материалы ( в % от основных ) |
|
|
|
|
|
Всего |
|
|
|
|
Расчет восстановительной стоимости представлен в таблице
3.
Таблица 3
Расчет восстановительной стоимости объекта
|
Вид затрат |
|
Коэффициент |
Стоимость,
тыс. руб. |
|
Строительные материалы |
|
|
|
|
Заработная плата основных рабочих (з/п)) |
|
|
|
|
Эксплуатация машин и механизмов |
|
|
|
|
Итого прямые затраты |
|
|
|
|
Накладные расходы |
|
|
|
|
Прибыль подрядчика (плановые накопления)
|
|
|
|
|
Итого стоимость строительно-монтажных
работ |
|
|
|
|
Прочие затраты: |
|
|
|
|
Зимнее удорожание |
|
|
|
|
Налог на пользователей а/дорог (от объема
СМР) |
|
|
|
|
Итого прочих |
|
|
|
|
Итого стоимость СМР с прочими |
|
|
|
|
Итого |
|
|
|
|
Непредвиденные расходы |
|
|
|
|
Восстановительная стоимость объекта, тыс.
руб. |
|
|
|
Определение величины накопленного износа
строений.
Износ - это потеря стоимости из-за ухудшения
физического состояния объекта и/или морального устаревания.
В зависимости от причин, вызывающих потерю стоимости, износ
подразделяется на три типа: физический износ, функциональный износ, износ
внешнего воздействия.
Физический износ - это потеря стоимости за счёт
естественных процессов во время эксплуатации. Он выражается в старении и
изнашивании, разрушении, гниении, ржавлении, поломке и конструктивных дефектах.
Такой тип износа может быть как устранимым, так и неустранимым. Устранимый
физический износ (т.е. износ, который может быть устранён в результате текущего
ремонта) включает в себя плановый ремонт или замену частей объекта в процессе
повседневной эксплуатации.
Функциональный (моральный) износ - это потеря
стоимости вследствие относительной неспособности данного сооружения обеспечить
полезность по сравнению с новым сооружением, созданным для таких же целей. Он
обычно вызван плохой планировкой, несоответствием техническим и функциональным
требованиям по таким параметрам как размер, стиль, срок службы и т.д.
Физический и функциональный износ обычно присущи самой
собственности.
Внешний (экономический) износ вызывается факторами
извне - изменением ситуации на рынке, изменением финансовых и законодательных
условий и т.д.
Физический износ объектов может быть определен с
использованием нормативной документации:
-
Правил оценки физического износа зданий -ВСН - 5-86 (р),
Госгражданстрой, 1988г.;
-
Правил оценки физического износа жилых зданий -ВСН - 53-86
(р), Госгражданстрой, 1990г.;
Для целей курсовой работы может быть применена
ориентировочная оценка износа здания в соответствии со следующей таблицей.
При этом используются результаты визуального осмотра
оценщиком технического состояния объекта.
Таблица 4
Таблица укрупненных параметров для определения физического
износа зданий
|
Физический износ, % |
Состояние основных конструктивных элементов |
Состояние внутренних конструктивных
элементов |
|
0-20 |
Повреждений и деформаций нет. Нет следов устранения
дефектов |
Полы и потолки ровные, горизонтальные, трещины
в покрытиях и отделке отсутствуют |
|
21-40 |
Повреждений и дефектов, в том числе и искривлений
нет. Имеются местами следы различных ремонтов, в том числе
небольших трещин в простенках и перемычках |
Полы и потолки ровные, на потолках возможны
волосяные трещины. На ступенях лестниц небольшое число
повреждений. Окна и двери открываются с некоторым усилием |
|
41-60 |
Имеются много следов ремонтов, трещин и участков
наружной отделки. Имеются места искривления горизонтальных линий
и следы их ликвидации. Износ кладки стен характеризуется трещинами
между блоками |
Полы в отдельных местах зыбкие и с
отклонениями от горизонтали. В потолках много трещин, ранее
заделанных и появившихся вновь. Отдельные отставания покрытия пола
(паркета, плиток). Большое число поврежденных ступеней
|
|
61-80 |
Имеются открытые трещины различного происхождения,
в том числе от износа и перегрузки кладки поперек кирпичей.
Большое искривление горизонтальных линий и местами отклонение стен
от вертикали |
Большое число отклонений от горизонтали в
полах, зыбкость. Массовое повреждение и отсутствие покрытия пола.
В потолках много мест с обвалившейся штукатуркой. Много
перекошенных окон и дверей. Большое число поврежденных ступеней,
перекосы маршей, щели между ступенями. |
|
81-100 |
Здание в опасном состоянии. Участки стен разрушены,
деформированы в проемах.
Трещины по перемычкам, простенкам и по всей
поверхности стен. Возможны большие искривления горизонтальных
линий и выпучивание стен |
Полы с большими перекосами и уклонами.
Заметные прогибы потолков. Окна и двери с гнилью в узлах и
брусьях. В маршах лестниц не хватает степеней и перил. Внутренняя
отделка полностью разрушена. |
Физический износ здания определяется по формуле:
,
где ФЗ - физический износ здания, %;
ФК,I -физический износ конструктивного
элемента, конструкции или системы здания, %;
II- удельный вес конструктивного элемента в общей
восстановительной стоимости здания;
n - число отдельных элементов, конструкций или систем в
здании.
Доля стоимости отдельных конструктивных элементов объекта
определяется по “Сборникам укрупненных показателей восстановительной стоимости”
(УПВС) или на основании сметной документации либо на основании технического
паспорта на объект недвижимости.
Следующим этапом является корректировка
восстановительной стоимости строительства объекта на величину
накопленного износа.
Определение термина «рыночная стоимость» в оценке
Под рыночной стоимостью, в соответствии с Законом «Об
оценочной деятельности в Российской Федерации», понимается наиболее вероятная
цена, по которой данный объект оценки может быть отчужден на открытом рынке в
условиях конкуренции, когда стороны сделки действуют разумно, располагая всей
необходимой информацией, а на величине цены сделки не отражаются какие-либо
чрезвычайные обстоятельства, то есть когда:
-
одна из сторон сделки не обязана отчуждать объект оценки, а
другая сторона не обязана принимать исполнение;
-
стороны сделки хорошо осведомлены о предмете сделки и
действуют в своих интересах;
-
объект оценки представлен на открытый рынок в форме
публичной оферты;
-
цена сделки представляет собой разумное вознаграждение за
объект оценки и принуждения к совершению сделки в отношении сторон сделки с
чьей-либо стороны не было;
-
платеж за объект оценки выражен в денежной форме.
Основные виды стоимости объектов недвижимости
При осуществлении оценочной деятельности в соответствии с
Федеральным стандартом оценки «Цель оценки и виды стоимости» (ФСО № 2)
используются следующие виды стоимости объекта оценки:
рыночная стоимость;
инвестиционная стоимость;
ликвидационная стоимость;
кадастровая стоимость.
Рыночная стоимость объекта оценки –наиболее
вероятная цена, по которой объект оценки может быть отчужден на дату оценки на
открытом рынке в условиях конкуренции, когда стороны сделки действуют разумно,
располагая всей необходимой информацией, а на величине цены сделки не отражаются
какие-либо чрезвычайные обстоятельства, т. е. когда:
? одна из сторон сделки не обязана отчуждать объект оценки, а
другая сторона не обязана принимать исполнение;
? стороны сделки хорошо осведомлены о предмете сделки и
действуют в своих интересах;
? объект оценки представлен на открытом рынке посредством
публичной оферты, типичной для аналогичных объектов оценки;
? цена сделки представляет собой разумное вознаграждение за
объект оценки и принуждения к совершению сделки в отношении сторон сделки с
чьей-либо стороны не было;
? платеж за объект оценки выражен в денежной форме.
Возможность отчуждения на открытом рынке означает, что объект
оценки представлен на открытом рынке посредством публичной оферты, типичной для
аналогичных объектов, при этом срок экспозиции объекта на рынке должен быть
достаточным для привлечения внимания достаточного числа потенциальных
покупателей.
Разумность действий сторон сделки означает, что цена сделки –
наибольшая из достижимых по разумным соображениям цен для продавца и наименьшая
из достижимых по разумным соображениям цен для покупателя.
Полнота располагаемой информации означает, что стороны сделки
в достаточной степени информированы о предмете сделки, действуют, стремясь
достичь условий сделки, наилучших с точки зрения каждой из сторон, в
соответствии с полным объемом информации о состоянии рынка и объекте оценки,
доступным на дату оценки.
Отсутствие чрезвычайных обстоятельств означает, что у каждой
из сторон сделки имеются мотивы для совершения сделки, при этом в отношении
сторон нет принуждения совершить сделку.
Рыночная стоимость определяется оценщиком, в частности, в
следующих случаях:
? при изъятии имущества для государственных нужд;
? при определении стоимости размещенных акций общества,
приобретаемых обществом по решению общего собрания акционеров или по решению
совета директоров (наблюдательного совета) общества;
? при определении стоимости объекта залога, в том числе при
ипотеке;
? при определении стоимости неденежных вкладов в уставный
(складочный) капитал;
? при определении стоимости имущества должника в ходе
процедур банкротства;
? при определении стоимости безвозмездно полученного
имущества.
Инвестиционная стоимость является наивысшей ценой,
которую может заплатить инвестор за объект недвижимости, учитывая ожидаемую
доходность (полезность, удобства) данного инвестиционного проекта.
Инвестиционная и рыночная стоимости совпадают только в случае, когда ожидания
конкретного инвестора являются типичными для данного рынка.
Инвестиционная стоимость объекта оценки определяется как
стоимость для конкретного лица или группы лиц при установленных данным лицом
(лицами) инвестиционных целях использования объекта оценки. При определении
инвестиционной стоимости, в отличие от определения рыночной стоимости, учет
возможности отчуждения по инвестиционной стоимости на открытом рынке не
обязателен.
Ликвидационная стоимость –стоимость объекта
оценки в случае, если он должен быть отчужден в срок меньше обычного срока
экспозиции аналогичных объектов. Обычно рассчитывается при вынужденной продаже
объекта. Из-за ограничения сроков продажи, которых недостаточно для ознакомления
с выставленным на рынок объектом всех потенциальных покупателей, ликвидационная
стоимость может быть значительно ниже рыночной. Определяется, как правило, при
ликвидации предприятия по решению собственника либо судебного органа.
Представляет собой сумму денежных средств, которая фактически может быть
получена в результате продажи активов предприятия независимо от их балансовой
стоимости. При определении ликвидационной стоимости, в отличие от определения
рыночной стоимости, учитывается влияние чрезвычайных обстоятельств, вынуждающих
продавца продавать объект оценки на условиях, не соответствующих рыночным.
Кадастровая стоимость – стоимость, установленная в
результате проведения государственной кадастровой оценки либо рассмотрения
споров о результатах определения кадастровой стоимости в суде или комиссии по
рассмотрению споров о результатах определения кадастровой стоимости.
Кадастровая стоимость объекта оценки определяется методами
массовой оценки или индивидуально для конкретного объекта недвижимости как
рыночная стоимость, установленная и утвержденная в соответствии с
законодательством, регулирующим проведение кадастровой оценки.
Кадастровая стоимость определяется оценщиком, в частности,
для целей налогообложения.
Федеральным законом № 135-ФЗ от 29 июля 1998 г. «Об оценочной
деятельности в Российской Федерации» предусмотрено определение иных видов
стоимости, к которым можно отнести следующие:
Утилизационная стоимость –стоимость объекта
оценки, равная рыночной стоимости материалов, которые он в себя включает, с
учетом затрат на утилизацию объекта оценки.
Стоимость для целей налогообложения –стоимость
объекта оценки, определяемая для исчисления налоговой базы и рассчитываемая в
соответствии с положениями нормативных правовых актов (в том числе
инвентаризационная стоимость). Может базироваться на рыночной стоимости, на
затратах на воспроизводство объекта либо рассчитывается по нормативной методике
без привлечения специалистов-экспертов.
Специальная стоимость –стоимость, для
определения которой в договоре об оценке или нормативном правовом акте
оговариваются условия, не включенные в понятие рыночной или иной стоимости,
указанной в стандартах оценки, обязательных к применению субъектами оценочной
деятельности. Можно выделить следующие виды специальной стоимости:
а) стоимость действующего предприятия – стоимость
единого имущественного комплекса, определяемая в соответствии с результатами
функционирования сформировавшегося производства. При этом оценка стоимости
отдельных объектов предприятия заключается в определении вклада, который вносят
эти объекты в качестве составных компонентов действующего предприятия;
б) страховая стоимость –стоимость полного
возмещения ущерба имуществу при наступлении страхового случая. Рассчитывается в
соответствии с методиками, используемыми страховыми фирмами и государственными
органами для расчета суммы, на которую могут быть застрахованы разрушаемые
элементы объекта. Учитываются затраты на восстановление элементов объекта,
подверженных риску уничтожения, разрушения.
Оценка стоимости различных видов имущества бизнеса.
Оценка стоимости земельного участка предприятия
Различают нормативную и рыночную стоимости земельного
участка. Оценщик имеет дело, прежде всего, не с нормативной ценой земли, а с
рыночной, складывающейся не в последнюю очередь под влиянием спроса и
предложения. При оценке рыночной стоимости земельного участка необходимо
определить состав оцениваемых прав на него. Частная собственность признается
лишь для участков со следующими условиями использования: индивидуальное
(жилищное) строительство; крестьянское (фермерское) хозяйство; личное подсобное,
садоводческое или дачное хозяйство; приватизированные участки под
предприятиями.
Теоретически общеизвестно, что стоимость земли, как и других
товаров, отражает ее текущую ценность с точки зрения получения будущего дохода.
В случае коммерческого использования будущие доходы земельного участка зависят
от ожидаемой величины годовой арендной платы (условно начисленной ренты) за
вычетом расходов на освоение и эксплуатацию участка:
Vз=(ДВ-И)/Кк,
где Vз — стоимость участка земли;
ДВ — реальный или условно начисленный валовой
доход;
И — ожидаемые издержки;
Кк — ставка (коэффициент) капитализации.
Оценка рыночной стоимости участков осуществляется следующими
основными методами: методом техники остатка для земли; методом средневзвешенного
коэффициента капитализации; методом сравнения продаж; методом разбиения; методом
капитализации; методом валового рентного мультипликатора.
Метод техники остатка для земли. При применении
данного метода должны быть известны: стоимость зданий и сооружений; чистый
операционный доход, приносимый землей, зданиями и сооружениями; коэффициенты
капитализации для земли, зданий и сооружений. Расчеты данным методом выполняются
в несколько этапов.
-
Чистый операционный доход распределяется между
землей, зданиями и сооружениями.
-
Определяется остаток чистого операционного дохода,
относимый к земле.
-
Рассчитывается остаточная стоимость земли путем
капитализации остаточного чистого операционного дохода от
земли:
Метод средневзвешенного коэффициента капитализации. В
данном случае используется «долевой» подход к оценке. Расчеты этим методом также
выполняются в несколько этапов.
-
Приблизительно рассчитываются пропорции, в которых
стоимость недвижимости делится на стоимость земельного участка и
стоимость зданий и сооружений. Традиционно для этого
используются данные о нормативных ценах земли и ценах на
строительные работы.
-
Определяется средневзвешенный, общий коэффициент
капитализации.
-
Определяется стоимость всего недвижимого имущества
методом капитализации дохода.
-
Стоимость земельного участка рассчитывается с
помощью долевого коэффициента:
Метод сравнения продаж.
Метод капитализации. Метод капитализации земельной
ренты удобен при оценке земельного участка в случае аренды последнего отдельно
от зданий и сооружений, когда арендатор несет ответственность за уплату
поимущественного налога и другие расходы. Если условия договора аренды
достаточно точно отражают сложившуюся ситуацию на рынке аренды, то возможна
непосредственная капитализация суммы чистой арендной платы в земельную
собственность.
Метод разбиения земельного участка при определении
стоимости. Этот метод используется в тех случаях, когда необходимо
определить стоимость земельного участка, пригодного для разбиения на отдельные
индивидуальные участки. Алгоритм применения метод следующий:
-
Определяются количество и размеры индивидуальных
участков.
-
2. Рассчитывается стоимость освоенных участков с помощью
метода сопоставимых продаж.
-
Рассчитываются издержки освоения и издержки, связанные с
продажей, инженерные расходы по расчистке, разметке, окончательной подготовке
земли, расходы на строительство дорог, подземных инженерных коммуникаций,
оплата налогов, комиссионных за продажу и рекламу, а также рассчитывается
разумная предпринимательская прибыль.
-
Сопоставляются графики освоения и предполагаемых
продаж.
-
Определяются величины выручки от продажи индивидуальных
участков.
-
Определяется чистая выручка от продажи путем вычитания
издержек освоения, издержек по продаже и предпринимательской прибыли из
предполагаемой выручки от продажи участков.
-
Определяется ставка дисконта.
-
Дисконтируется чистая выручка от продажи земельных участков
для расчета стоимости земельного участка, разбитого на отдельные
участки.
Рыночная стоимость земли для существующего использования
4.4.1. Международными стандартами оценки допускается при
оценке активов государственного сектора, применительно к России - земель,
находящихся в государственной или муниципальной собственности, использовать
показатель рыночной стоимости для существующего использования
(РССИ)2.
4.4.2.Считается, что РССИ возникает из-за различных ограничений,
установленных при использованииземель государственного сектора.
4.4.3. «Рыночная стоимость для существующего использования
представляет собой расчетную сумму, за которую состоялся бы обмен незанятой
земли, исходя из продолжения ее существующего использования, между
заинтересованным покупателем и заинтересованным продавцом в коммерческой сделке
после проведения надлежащего маркетинга, в которой стороны действовали бы,
будучи хорошо осведомленными, расчетливо и без
принуждения»3.
4.4.4. Оценка РССИ земли, находящейся в государственной собственности,
проводится в тех случаях, когдаограничения в использовании земли
государственного сектора приводят к существенным различиям между рыночной
стоимостью, рассчитанной с учетом принципа наиболее эффективного использования
и РССИ.
Рыночная стоимость по Международным стандартам
оценки
4.1.1. Все страны имеют одинаковую по сути формулировку
рыночной стоимости, которая в наиболее общем виде отражена в определении
рыночной стоимости, данном международными стандартами оценки (МСО).
4.1.2. Согласно МСО, рыночная стоимость - это
«расчетная денежная сумма, за которую состоялся бы обмен имущества на дату
оценки между заинтересованным покупателем и заинтересованным продавцом в
результате коммерческой сделки после проведения надлежащего маркетинга, при
которой каждая из сторон действовала бы, будучи хорошо осведомленной, расчетливо
и без принуждения»1.
4.1.3. При этом считается, что рыночная стоимость — это
объективная оценка установленных прав собственности на конкретное имущество на
заданную дату.
Стоимость недвижимого имущества


Стоимость недвижимого имущества и ее основные виды
В соответствии с Федеральными стандартами оценки выделяют
следующие виды стоимости, которые объединяются в группы с точки объективного (в
обмене, учет двух стороны предполагаемого покупателя и предполагаемого продавца)
и субъективного ( в пользовании, учет только одной стороны
инвестора/собственника) характера проведения оценки.
Стоимость недвижимости в пользовании
Рыночная
Ликвидационная
Инвестиционная
Кадастровая
-
Рыночная стоимость – наиболее вероятная цена, по
которой данный объект может быть отчужден на открытом рынке в условиях
конкуренции, когда стороны сделки располагают всей необходимой информацией,
а на величине сделки не отражаются какие-либо чрезвычайные
обстоятельства.
-
Инвестиционная стоимость – стоимость объекта
оценки, определяемая исходя из его доходности для конкретного лица при
заданных инвестиционных целях.
-
Ликвидационная стоимость – стоимость объекта
оценки в случае, если объект оценки должен быть отчужден в срок меньше
обычного срока экспозиции аналогичных объектов.
-
Кадастровая стоимость – стоимость объекта оценки,
определяемая методами массовой оценки в соответствии с положениями
нормативных правовых актов о кадастровой оценке. (Федеральный стандарт
оценки «Цель оценки и виды стоимости (ФСО№2)», утвержденный приказом
Министерства экономического развития и торговли РФ от 20.07.2007
№255).
Стоимость недвижимости, ее виды, факторы стоимости и принципы
оценки
Этот метод целесообразно использовать, когда ожидается, что
возмещение основной суммы будет осуществляться равными частями. Годовая норма
возврата капитала рассчитывается путем деления 1 или 100% на срок, через который
ожидается изменение стоимости объекта недвижимости. Норма возврата - ежегодная
доля первоначального капитала, помещенная в беспроцентный фонд возмещения:
r1 = 1 / n,
(4.14)
R = re + dep ? ( 1/ n ),
(4.15)
где R– ставка капитализации;
re – ставка доходности на собственный капитал;
r1 – норма возврата капитала;
dep – доля снижения стоимости недвижимости через n
лет.
Метод Ринга применяется в первую очередь, когда ожидается
увеличение стоимости объекта недвижимости через n лет.
Метод Ринга также применяется, когда инвестиции в объект
недоступны, а безрисковый инструмент на рынке или не найден или имеет
нестабильную ставку доходности.
Метод Инвуда используется, если сумма возврата
капитала реинвестируется по ставке доходности инвестиции. В этом случае норма
возврата как составная часть ставки капитализации равна фактору фонда возмещения
при той же ставке процента, что и по инвестициям.
r1 = sff (п,
re ) = re / ((1+ re)n
– 1), (4.16)
где re – ставка доходности на собственный капитал;
r1 – норма возврата капитала;
sff (п, re )–фактор фонда
возмещения.
Метод Инвуда применяется, если прогнозируется снижение
стоимости объекта недвижимости и инвестиции в оцениваемый объект или сходные
объекты на рынке доступны.
Метод Хоскольда. Используется в тех случаях, когда
ставка дохода первоначальных инвестиций несколько высока, что маловероятно
реинвестирование по той же ставке. Для реинвестируемых средств предполагается
получение дохода по безрисковой ставке.
r1 = sff (п, rf
) = rf / ((1+ rf)n – 1),
(4.18)
где
r1 – норма возврата капитала;
rf – безрисковая ставка;
sff (п, rf)–фактор фонда возмещения.
В качестве безрисковой ставки доходности выбирается доступный
инструмент на рынке, поэтому при уменьшении стоимости объекта недвижимости в
будущем, нет ограничений для применения данного метода.
Таблица 4.2. Пример расчета ставки
капитализации
|
|
Показатели |
Определение величины показателя |
|
1. |
Безрисковая ставка (rf), % |
В качестве безрисковой ставки взята доходность ОФЗ
к погашению, которая на дату проведения оценки составила 7,1 %
годовых. |
|
2. |
Премия за риск вложения в недвижимость (р1),% |
Определена экспертно на среднем уровне, принята
равной 2,5% |
|
3. |
Премия за риск низкой ликвидности (р2), % |
p2 = rf • Тэксп;
Срок экспозиции (Тэксп)
на сегменте оцениваемого объекта составляет 6
месяцев.
p2 = 7,1% • 0,5 = 3,55% |
|
4. |
Премия за риск инвестиционного менеджмента ( р3),
% |
Определена экспертно на среднем уровне, принята
равной 2,5% |
|
5. |
Ставка доходности собственного капитала
(re)
|
Определена методом кумулятивного построения:
re = rf + p1
+ p2 + p3
re = 7,1 + 2,5 + 3,55 + 2,5 =
= 15,65% |
|
5. |
Изменение стоимости недвижимости через n лет, % |
Нормативный срок службы оцениваемого здания
составляет 100 лет. Доля земельного участка в оцениваемом объекте
составляет примерно 20%. Хронологический возраст оцениваемого
здания – 80 лет. Значит, в соответствии со строительными нормами
через 20 лет оцениваемый объект потеряет 80% своей стоимости.
dep = 80 % через 20 лет |
|
6. |
Норма возврата (r1),% |
Используем методом Хоскальда
r1 = sff (п,
rf ) = rf / ((1+
rf)n – 1),
r1 = 0,071 / ((1+
0,071)20 – 1)=
=0,024 или 2,4% |
|
7. |
Ставка капитализации, % |
R = re + dep ?
r1
R = 0,1565 +0,8 ? 0,024 =
= 0,1757 или 17,57% |
Расчет ставки капитализации методом рыночной экстракции (рыночной
выжимки)
Основываясь на рыночных данных по ценам продаж и значений
чистого операционного дохода сопоставимых объектов недвижимости, можно вычислить
коэффициент капитализации:
(4.19.)
где NOI i – чистый операционный доход i-го
объекта-аналога;
Vi – цена продажи i-го объекта-аналога:
n – количество аналогичных объектов недвижимости..
Таблица 4.3
Расчет ставки капитализации методом рыночной
выжимки
|
Показатель
|
Объект |
|
№1 |
№2 |
№3 |
№4 |
|
Цена продажи объекта, руб. |
2200000 |
1900000 |
1490000 |
1750000 |
|
Чистый операционный доход объекта, руб. |
407500 |
340000 |
270000 |
320000 |
|
Ставка капитализации |
0,185 |
0,179 |
0,181 |
0,183 |
|
Среднее значение
ставки капитализации |
|
|
|
|
|
0,182 |
Расчет ставки капитализации методом связанных
инвестиций.
Если объект недвижимости приобретается с помощью собственного
и заемного капитала, ставка капитализации должна удовлетворять требованиям
доходности на обе части инвестиций. Величина ставки капитализации определяется
методом связанных инвестиций, или техникой инвестиционной группы. Ставка
капитализации для заемного капитала определяется на основе ипотечной постойной.
Ипотечная постоянная – отношение ежегодных выплат по кредиту к сумме
кредита.
Rm = i / (1– (1+ i
)-n), (4.20)
где Rm – ипотечная постоянная;
i – ставка процента по кредиту;
n – срок, на который выдан кредит.
Ставка капитализации для собственного капитала рассчитывается
методом с учетом возмещения капитальных затрат, рассмотренном выше (формула
4.5)
Общая ставка капитализации (Rо) определяется как
средневзвешенное значение:
R о = M • Rm + ( 1 – M ) •
Re (4.21)
где M – коэффициент ипотечной задолженности (доля кредита в
общей сумме инвестированного капитала);
Re – коэффициент капитализации для
собственного капитала.
Пример. Доля собственного капитала – 40%; ставка
процента по кредиту – 15%; кредит предоставлен на 20 лет; ставка капитализации
на собственный капитал – 10%, тогда общая ставка капитализации равна:
а) ипотечная постоянная для кредита, предоставленного на 20
лет под 15% годовых, опредляется как фактор взноса на амортизацию единицы iaof
(i,n)
Rm = 0,15 / (1– (1+ 0,15
)-20 ) = 0,15976;
б) общая ставка капитализации рассчитывается по формуле (4.21):
R о = 0,6 ?0,15976+ 0,4 ?0,10 = 0,135857 (или
13,59%);
в) если ЧОД объекта составляет 100 тыс. долл в год, то инвестиционная
стоимость объекта определяется по формуле (4.1):
V = 100 000/0,1359 = 735 835 долл.
Положительное или отрицательное влияние заемных средств, а
также интенсивность этого влияния определяются соотношением между ставками
дохода на весь инвестируемый и заемный капитал. Эффективность этого влияния (как
бы плечо рычага) определяется отношением величины заемного капитала ко всей
сумме вложенных средств, т. е. коэффициентом ипотечной задолженности.
Если обозначить Rm – ипотечная постоянная, Rо
– общая ставка капитализации, то виляние левереджа можно записать:
Rт < Rо — область
положительного влияния левереджа, кредит эффективен и увеличение доли кредита
приведет к увеличению отдачи на собственный капитал;
Rт > Rо — область
отрицательного влияния левереджа, кредит неэффективен и увеличение доли кредита
приведет к уменьшению отдачи на собственный капитал.
Стоимость объектов и факторы стоимости недвижимости
Оценка объектов недвижимости – определение денежного эквивалента стоимости
объекта недвижимости.
Как и любой товар на рынке, недвижимость имеет цену и стоимость.
Цена объекта недвижимости – денежная сумма, предлагаемая или
уплаченная за объект оценки или его аналог11.
Стоимость – это денежный эквивалент собственности.
Рыночная стоимость - наиболее вероятная цена, по которой
объект оценки может быть отчужден на открытом рынке в условиях конкуренции,
когда стороны сделки действуют разумно, располагая всей необходимой информацией,
а на величине цены сделки не отражаются какие-либо чрезвычайные
обстоятельства12.
Виды стоимости объекта оценки, отличные от рыночной стоимости:
а) стоимость объекта оценки с ограниченным рынком - стоимость объекта оценки,
продажа которого на открытом рынке невозможна или требует дополнительных затрат
по сравнению с затратами, необходимыми для продажи свободно обращающихся на
рынке товаров;
б) стоимость замещения объекта оценки - сумма затрат на создание объекта,
аналогичного объекту оценки, в рыночных ценах, существующих на дату проведения
оценки, с учетом износа объекта оценки;
в) стоимость воспроизводства объекта оценки - сумма затрат в рыночных ценах,
существующих на дату проведения оценки, на создание объекта, идентичного объекту
оценки, с применением идентичных материалов и технологий, с учетом износа
объекта оценки;
г) стоимость объекта оценки при существующем использовании - стоимость
объекта оценки, определяемая исходя из существующих условий и цели его
использования;
д) инвестиционная стоимость объекта оценки - стоимость объекта оценки,
определяемая исходя из его доходности для конкретного лица при заданных
инвестиционных целях;
е) стоимость объекта оценки для целей налогообложения - стоимость объекта
оценки, определяемая для исчисления налоговой базы и рассчитываемая в
соответствии с положениями нормативных правовых актов (в том числе
инвентаризационная стоимость);
ж) ликвидационная стоимость объекта оценки - стоимость объекта оценки в
случае, если объект оценки должен быть отчужден в срок меньше обычного срока
экспозиции на рынке аналогичных объектов;
з) утилизационная стоимость объекта оценки - стоимость объекта оценки, равная
рыночной стоимости материалов, которые он в себя включает, с учетом затрат на
утилизацию объекта оценки;
и) специальная стоимость объекта оценки - стоимость, для определения которой
в договоре об оценке или нормативном правовом акте оговариваются условия, не
включенные в понятие рыночной или иной стоимости, указанной стандартах
оценки
Как и в любых других механизмах ценообразования, стоимость недвижимой
собственности зависит от набора объективных и субъективных факторов, из
которых последние связаны с поведением конкретного продавца, покупателя и/или
посредника на стадии заключения сделки. Объективные факторы в основном являются
экономическими, определяющими, в конечном счете, средний уровень цен конкретных
сделок. Экономические факторы подразделяются на макроэкономические и
микроэкономические.
Основные факторы, влияющие на стоимость недвижимости:
-
местонахождение;
-
архитектурно-конструктивные решения проекта;
-
планировочные решения проекта;
-
наличие коммунальных услуг;
-
наличие машин и оборудования, оцениваемых вместе со зданиями;
-
состояние здания;
-
сейсмические факторы;
-
объем оцениваемых имущественных прав;
-
экологические факторы;
-
спрос и предложение.
Стоимость права аренды земли для арендатора
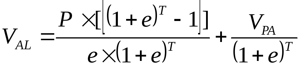
37.1.1. Для оценки стоимости права аренды арендатора земли
за определенный период времени, можно использовать следующее выражение:
,
гдеVa- стоимость выгод за период времениТ(стоимость права
аренды);T– срок аренды;R– чистый операционный доход от земли;
е- ставка дисконтирования.
Пример:
Требуется оценить право долгосрочной аренды пастбища.
Земельный участок в 2 га передан администрацией района в аренду на 49 лет для
использования в качестве пастбища. Ставка арендной платы, установленная
администрацией– 274,18 руб./га/год. Остаточный срок пользования – 47 лет. Доход
от пастбищ по молоку составляет 7038 руб./га. Рыночная стоимость пастбища,
рассчитанная методом капитализации земельной ренты составляет 7038: 0,11 =
63981,8 руб./га.
Расчет право долгосрочной аренды пастбища проводится исходя
из возможных сценариев дальнейшего использования земли после окончания срока
аренды.
Сценарий 1.После окончания срока договор
продлен не будет. Стоимость права аренды определяется капитализацией земельной
ренты за 47 лет.
Стоимость права аренды =
=
61034 руб./га.
Сценарий 2. После окончания срока аренды
договор будет продлен. Арендные платежи будут идти постоянно.
Стоимость права аренды определяется как разница между
рыночной стоимостью земельного участка на праве собственности и земельными
платежами, дающими возможность использовать землю на праве аренды за бесконечный
период времени (капитализированной стоимостью фактической арендной платы).
Стоимость права аренды =
=
61490 руб./га.
Сценарий 3.После окончания срока аренды земля
будет выкуплена по цене 2000 руб./га.
Цена выкупа - 2000 руб./га.
Капитализированная стоимость арендных платежей за 47 лет
составит:
=
2475 руб./га.
Стоимость выкупа после 47 лет аренды =
=13
руб./га.
Стоимость права аренды = 63982 - 2475 – 13 = 61492
руб./га.
Далее следует согласование результатов, полученных тремя
способами. Можно взять среднее из трех значений или один результат, который
получен для наиболее реалистичного сценария развития событий.
Среднее значение: (61034 +61490+ 61492) : 3 = 61339
руб./га.
Допустим, в качестве итогового значения принята средняя
величина. Тогда стоимость права аренды 2 га пастбищ га 47 лет = 61339?2=122678
руб./га.
37.1.2. Рыночная стоимость права аренды может быть рассчитана
посредством капитализации арендных платежей за землю, если данные платежи
определены из условий рыночных сделок.
37.1.3. Если в расчетах капитализированной стоимости арендных
платежей используются ставки, не соответствующие рыночным, например, ставки
установленные муниципалитетом, то в этом случае определяется стоимость прав
собственника или арендодателя (в данном случае муниципалитета) на земельный
участок при его текущем использовании. То есть данная величина не будет
являться рыночной стоимостью права аренды земельного участка.
Стоимость права аренды земли для арендодателя
37.2.1. Стоимость права аренды арендодателя рассчитывается для земельного
участка, сданного собственником (в наших условиях обычно государством или
муниципалитетом) в аренду, и определяется Международными стандартами оценки как
стоимость интереса фригольда при соблюдении интересов аренды.
37.2.2. Под фригольдом понимается абсолютное право
собственности, при условии соблюдения ограничений, установленных только
государством. Согласно МСО «стоимость фригольда или сдаваемого в аренду поместья
обычно рассматривается как сумма приведенной стоимости ожидаемых чистых доходов,
которые должны быть получены в рамках аренды плюс приведенная стоимость
ожидаемой стоимости имущества, когда пользование и владение переходят обратно к
арендодателю»17.
37.2.3. Из этого определения следует, что право аренды
арендодателя (государства, муниципалитета)определяется текущей стоимостью
доходов от заключенного договора аренды земельного участка, которые
определяются размером арендной платы, установленной договором, и потенциальным
доходом от продажи земельного участка или права заключения договора его аренды
после окончания срока действующего договора.
37.2.4. Отсюда стоимость права арендодателя земельного
участка, сданного в аренду, может быть определена следующим образом.
1. Если последующая продажа земли в собственность разрешена,
то рыночная стоимость такого права определяется как:
,
гдеVА - стоимость права аренды арендодателя
(стоимость фригольда или стоимость земельного участка, обремененного договором
аренды);Pi– арендная плата, установленная в договоре
аренды,T- срок аренды,VM– рыночная стоимость
земли в момент оценки,e- ставка дисконтирования.
Пример:
тыс. руб.
|
Годы |
Арендные платежи |
Рыночная стоимость земли, не обремененной договором
аренды |
Ставка дисконтирования |
Фактор дисконтирования |
Текущая стоимость |
|
1 |
100 |
- |
10% |
0,909 |
90,9 |
|
2 |
120 |
- |
10% |
0,862 |
103,44 |
|
3 |
130 |
- |
10% |
0,751 |
97,63 |
|
Итого |
291,97 |
|
3 |
|
10 000 |
10% |
0,751 |
7510 |
|
Итого |
7801,97 |
|
Стоимость земельного участка, обремененного
договором аренды (стоимость права аренды арендодателя) |
7801,97 |
2. Если последующая продажа земли в собственность не
разрешена, но возможна продажа права аренды:
,
где:VPА – рыночная
стоимость продажи права аренды. В случае, когда арендные платежи являются
постоянной величинойPi=P=const, можно применить выражение:
.
Пример:
Срок аренды - 49 лет, ставка платы, установленная в
договоре аренды - $ 40 000/га, рыночная стоимость права заключения
договора аренды - $10 000 000/га, ставка дисконтирования 10%.
Отсюда стоимость права аренды арендодателя (собственника
земельного участка) равна:
=
$489 956.
Если срок аренды 5 лет, то эта величина составит:
=
$6 360 844.
37.2.5. Из приведенных выражений следует, что стоимость права
аренды арендодателя не совпадает с рыночной стоимостью права собственности, если
платежи вносятся по фиксированным ставкам, как это сейчас в основном и
происходит с земельными участками, находящимися в государственной и
муниципальной собственности, с отсрочкой выкупа земли (права аренды).
37.2.6. Отсюда также следует, что право аренды арендодателя
тем меньше, чем на более отдаленный период отнесены выплаты по выкупу
земельного участка или права аренды арендатором при условии, что арендная плата
меньше рыночной. То есть, происходит обесценивание будущих поступлений из-за
влияния фактора дисконтирования, также как это происходит при оценке других
природных ресурсов, приносящих доход в отдаленной перспективе.
37.2.7. Аналогично можно определять стоимость иных частичных
прав на землю – права бессрочного пользования, пожизненного наследуемого
владения.
Сущность стоимости и ее отличия от цены и затрат в оценочной деятельности?
5.Каким образом определяются потребительная и меновая стоимости
объектов недвижимости?
6.Какие факторы оказывают влияние на величину меновой
стоимости недвижимости?
7.Какими признаками характеризуется стоимость в пользовании и
какие формы ее проявления применительно к объектам недвижимости вы знаете?
8.Что такое стоимость в обмене и какие формы ее проявления
применительно к объектам недвижимости используются в оценке?
9.Укажите различия, существующие между понятиями «рыночная
стоимость» и «инвестиционная стоимость».
10.По каким признакам все принципы оценки недвижимости
разделены на четыре группы?
11.В чем проявляется взаимосвязь принципа полезности с
принципами ожидания и замещения?
12.В чем заключается противоречие между принципами ожидания и
спроса и предложения?
13.Укажите различия между принципами сбалансированности и
соответствия.
14.При оценке каких видов стоимости отдельные этапы
организации процесса оценки становятся необязательными? Приведите конкретные
примеры.
Тесты по теме.
1. Экономический принцип, согласно которому максимальный
доход от недвижимости можно получить при соблюдении оптимальных величин ее
составных элементов, называется:
а) принципом вклада;
б) принципом остаточной продуктивности;
в) принципом замещения;
г) принципом сбалансированности;
д) принципом разделения.
2. Экономический принцип, согласно которому максимальная
стоимость недвижимости определяется наименьшей ценой, по которой может быть
приобретен другой объект недвижимости с эквивалентной полезностью,
называется:
а) принципом замещения;
б) принципом соответствия;
в) принципом ожидания;
г) принципом остаточной производительности;
д) принципом изменения внешней среды.
3. Экономический принцип, согласно которому при наличии
нескольких сходных или соразмерных объектов тот, который имеет наименьшую цену,
пользуется наибольшим спросом, является принципом:
а) принципом замещения;
б) принципом соответствия;
в) прогрессии и регрессии;
г) полезности;
д) принципом разделения.
4.Какое из нижеперечисленных определений является синонимом
понятия «стоимость в обмене»:
а) собственная стоимость;
б) стоимость для конкретного пользователя;
в) ликвидационная стоимость;
г) рыночная стоимость;
д) стоимость для целей налогообложения.
5. .Какое из нижеперечисленных определений является синонимом
понятия «стоимость в пользовании»:
а) собственная стоимость;
б) стоимость для конкретного пользователя;
в) ликвидационная стоимость;
г) рыночная стоимость;
д) стоимость для целей налогообложения.
Другие похожие работы