RefMag.ru - Оценка. Помощь в решении задач, тестов, практикумов, курсовых, аттеста­ционных

RefMag.ru - Помощь в решении в учебе

Заказать:
- заказать решение тестов и задач
- заказать помощь по курсовой
- заказать помощь по диплому
- заказать помощь по реферату

Репетитор оценщика

Готовые работы заочников

Тесты:

Задачи:

Примеры работ по оценке

Примеры курсовых работ
Примеры аттест­ационных работ
Учебные дисциплины
Литература
Заказ работ:




Оказываю помощь по решению задач, тестов, консультации по самостоятельному выполнению контрольных, курсовых и дипломных. Сергей.
admin@refmag.ru, , ,

Примеры: | контрольные | курсовые | дипломные | отзывы |

Пример работы

Регрессионная статистика в оценке стоимости

Похожие работы:

Вид представления дополнительной регрессионной статистики в сравнительном подходе оценки недвижимости

mn

mn-1

….

m2

m1

b

sen

Sen-1

….

Se2

Se1

Seb

R2

sey

F

df

ssreg

ssresid

Таблица 41

Дополнительная регрессионная статистика в сравнительном подходе оценки недвижимости

Величина

Описание

se1,se2,...,sen

Стандартные значения ошибок для коэффициентов m1,m2,...,mn

seb

Стандартное значение ошибки для постоянной b (seb = #Н/Д, если конст имеет значение ЛОЖЬ)

R2

Коэффициент детерминированности. Сравниваются фактические значения y и значения, получаемые из уравнения прямой; по результатам сравнения вычисляется коэффициент детерминированности, нормированный от 0 до 1. Если он равен 1, то имеет место полная корреляция с моделью, т. е. нет различия между фактическим и оценочным значениями y. В противоположном случае, если коэффициент детерминированности равен 0, то уравнение регрессии неудачно для предсказания значений y

sey

Стандартная ошибка для оценки y

F

F-статистика, или F-наблюдаемое значение. F-статистика используется для определения того, является ли наблюдаемая взаимосвязь между зависимой и независимой переменными случайной или нет

df

Степени свободы. Степени свободы полезны для нахождения F-критических значений в статистической таблице. Для определения уровня надежности модели нужно сравнить значения в таблице с F-статистикой, возвращаемой функцией ЛИНЕЙН

ssreg

Регрессионная сумма квадратов

ssresid

Остаточная сумма квадратов

Таблица 42

Дополнительная регрессионная статистика для целей оценки недвижимости

Величина

Описание

se1,se2,...,sen

Стандартные значения ошибок для коэффициентов m1,m2,...,mn

seb

Стандартное значение ошибки для постоянной b (seb = #Н/Д, если конст имеет значение ЛОЖЬ)

R2

Коэффициент детерминированности. Сравниваются фактические значения y и значения, получаемые из уравнения прямой; по результатам сравнения вычисляется коэффициент детерминированности, нормированный от 0 до 1. Если он равен 1, то имеет место полная корреляция с моделью, т. е. нет различия между фактическим и оценочным значениями y. В противоположном случае, если коэффициент детерминированности равен 0, то уравнение регрессии неудачно для предсказания значений y

sey

Стандартная ошибка для оценки y

F

F-статистика, или F-наблюдаемое значение. F-статистика используется для определения того, является ли наблюдаемая взаимосвязь между зависимой и независимой переменными случайной или нет

df

Степени свободы. Степени свободы полезны для нахождения F-критических значений в статистической таблице. Для определения уровня надежности модели нужно сравнить значения в таблице с F-статистикой, возвращаемой функцией ЛИНЕЙН

ssreg

Регрессионная сумма квадратов

ssresid

Остаточная сумма квадратов

Таблица 42

Допущения и ограничительные условия, использованные при проведении исследования по оценке стоимости предприятия бизнеса

Следующие допущения и ограничивающие условия являются неотъемлемой частью данного отчета.

В процессе подготовки настоящего отчета, оценщик исходил из достоверности представленных документов.

Отчет подготовлен с учетом следующих предположений и ограничивающих условий:

  • настоящий отчет достоверен лишь в полном объеме и лишь в указанных в нем целях;

  • стоимость при существующем использовании – стоимость, определяемая исходя из существующих условий и целей использования объекта оценки. При этом предполагается, что объект останется действующим и продолжит функционировать в неизменной среде;

  • оценщик не несет ответственности за юридическое описание прав оцениваемой собственности или за вопросы, связанные с рассмотрением прав собственности;

  • право оцениваемой собственности считается достоверным;

  • оцениваемая собственность считается свободной от каких-либо претензий или ограничений, кроме оговоренных в отчете, оценщик не обязан приводить обзорные материалы (фотографии, планы, чертежи и т. п.) по объекту оценки;

  • оценщик предполагает отсутствие каких-либо скрытых фактов, влияющих на оценку;

  • оценщик не несет ответственности за наличие таких скрытых фактов, ни за необходимость выявления таковых;

  • сведения, полученные оценщиком и содержащиеся в отчете, считаются достоверными. Однако оценщик не может гарантировать абсолютную точность информации, поэтому для всех сведений указан источник информации;

  • ни заказчик, ни оценщик не могут использовать отчет иначе, чем это предусмотрено договором на оценку;

  • от оценщика не требуется появляться в суде или свидетельствовать иным способом по поводу произведенной оценки, иначе как по официальному вызову суда;

  • мнение оценщика относительно стоимости объекта действительно только на дату оценки. Оценщик не принимает на себя никакой ответственности за изменение экономических, юридических и иных факторов, которые могут возникнуть после этой даты и повлиять на рыночную ситуацию, а, следовательно, и на рыночную стоимость объекта;

Значения дополнительной регрессионной статистики для линейной зависимости в сравнительном подходе оценки недвижимости

1,294862774

1,955550397

-0,011958464

39,42017209

0,235648444

3,217175628

0,032209588

13,69511161

0,950730779

0,692030663

25,72886281

4

36,96515412

1,915625752

Таблица 43

Значения дополнительной регрессионной статистики для степенной зависимости в сравнительном подходе оценки недвижимости

1,02561471

1,042673367

0,999783949

40,11113654

0,00434447

0,05931261

0,000593824

0,252486313

0,956034689

0,012758441

28,9936066

4

0,014158547

0,000651111

При анализе F-статистики определяется, является ли этот результат расчета (с высоким значение R2) случайным или нет. Если F-наблюдаемое больше, чем F-критическое, то взаимосвязь между переменными имеется. F-критическое можно получить из таблицы F-критических значений в справочнике по математической статистике. Для того чтобы найти это значение, используем односторонний тест, например, величину Альфа равную 0,05, а для числа степеней свободы (обозначаемых обычно v1 и v2), в нашем случае v1 = k = 3 и v2 = n - (k + 1) = 8 - (3 + 1) = 4, где k – это число переменных, а n – число точек данных. Из таблицы справочника F-критическое равно 6,59.

F-наблюдаемое равно 25,72886281 при линейном тренде, 28,9936066 при степенном. И то и другое больше, чем F-критическое (6,59). Следовательно, полученные регрессионные уравнения подходят для предсказания оценочной стоимости недвижимости.

И при линейной, и при степенной зависимости удовлетворяются требования принятия решений по статистическим показателям. В нашем случае целесообразнее взять за основу уравнение с большим значением R2 и F-статистикой. Этому условию удовлетворяет степенная зависимость.

Ответ: цена 1 кв.м равна 49,637 тыс.руб.

Использование корреляционно-регрессионного анализа при оценке недвижимости сравнительным подходом

При оценке недвижимости в рамках сравнительного подхода широко используются элементы корреляционно-регрессионного анализа. Корреляционно-регрессионный анализ как общее понятие включает измерение тесноты, направления связи и установление аналитического выражения (формы) связи (регрессионный анализ). Корреляционно-регрессионный анализ может быть представлен двумя методами: методом парной корреляции и методом множественной корреляции (многофакторный анализ).

Для того чтобы провести корреляционно-регрессионный анализ, необходимо ознакомиться с основными терминами теории статистики. Термины приведены согласно [8].

Статистическая совокупность – множество однородных по качеству элементов (строений, помещений, площадей и объемов конкретного назначения), рассматриваемое как целое.

Единица совокупности – единичный элемент, принадлежащий данному множеству.

Генеральная совокупность – множество всех единиц совокупности с заданным определяющим признаком (множество однокомнатных квартир, множество домов со стенами из кирпича и т.д.). Число единиц генеральной совокупности определяется по результатам сплошного статистического обследования.

Выборочная совокупность, выборка – подмножество нескольких (двух и более) единиц совокупности, входящих в генеральную совокупность.

Случайная выборка – подмножество генеральной совокупности, единицы которого выбраны с соблюдением принципа случайности.

Объем выборки (n) – число единиц генеральной совокупности, вошедших в выборку. Объем выборки, достаточный для оценки какого-либо признака с заданной точностью, определяется опытным путем или задается методикой оценки.

Объем выборки, достаточный для взаимопогашения случайностей и получения статистических характеристик закономерного характера, равен 30. Выборка такого объема называется малой. Характер распределения значений признака в малых выборках приближается к нормальному с ростом числа испытаний.

Минимальный объем выборки, позволяющий получить средние значения признака с указанием доверительных вероятностей, равен 5. Выборки такого объема называются сверхмалыми.

Средняя величина – обобщающая характеристика совокупности фактов, полученная по результатам единичных испытаний. В средней величине проявляется действие закона больших чисел, ограничивающее случайности путем их взаимопогашения.

Расчет средних величин

В качестве среднего значения СВ могут использоваться различные величины, например, медиана, мода, среднее арифметическое выборки.

Медиана () – это одно из значений СВ в выборке, относительно которого половина значений превышает медиану, а другая половина не превышает (для расчета медианы выборку следует проранжировать, т.е. выстроить в числовом порядке от большего к меньшему или наоборот).

Мода () – это наиболее часто встречающееся значение в выборке.

Среднее арифметическое – это расчетная величина, определяемая по формуле (34).

Наиболее простой задачей, которую можно решать с использованием данных о ценах на единичные объекты Х1, Х2Xn, накопленных за определенный промежуток времени, является определение средней цены объекта в выборке .

(34)

где n – число накопленных значений цен (объем выборки).

Размерность данного показателя – денежный эквивалент в целом, руб., долл. и т.п. Если использовать другую размерность – руб./кв. м или долл./кв. м, можно получить целую систему показателей среднего значения.

Расчет величин разброса

Средние величины характеризуют статистический ряд числом, но не отражают изменчивость наблюдавшихся значений признака, т. е. вариацию. Разброс (рассеяние) СВ может оцениваться различными величинами, например, размахом (диапазоном разброса), дисперсией или среднеквадратическим отклонением, доверительным интервалом, показателем вариации.

Размах СВ – это разность между максимальным и минимальным ее значением:

(35)

Дисперсия СВ (или) – расчетная величина, определяемая по формулам (36) или (38) и характеризующая степень отклонения каждого из значений СВ от среднего в квадрате.

Среднеквадратическое отклонение (или, иначе стандартное отклонение) – расчетная величина, определяемая по формулам (37) или (39) и характеризующая степень отклонения каждого из значений СВ от среднего.

Среднеквадратическое отклонение генеральной совокупности обозначается греческой буквой ? «сигма», выборки – латинской s («эс»).

(36)

(37)

(38)

(39)

Доверительный интервал – это размах СВ, определенный не по всем ее значениям, а по заданной доле значений, примыкающих к среднему. Доверительный интервал строится влево и вправо по вычисленным показателям плюс/минус среднеквадратическое отклонение от среднего арифметического (среднеарифметическое в данном случае служит точкой отсчета и отложения доверительных интервалов). Доля значений, по которой определяется доверительный интервал, называется доверительной вероятностью.

После расчетов необходимо посмотреть, сколько значений выборки попало в доверительный интервал плюс/минус три среднеквадратических отклонения (это соответствует разработанному в математической статистике «правилу трех сигм»). Обычно для правильно подобранной выборки доверительная вероятность равна 0,977. Таким образом, примерно 2% значений, попавших в выборку, являются «всплесками», т.е. «выскакивающими значениями». Их необходимо исключить из выборки и заново рассчитать указанные выше параметры выборки.

Показатель вариации () – расчетная величина, определяемая по формулам (40) или (41) (в зависимости от того, что анализируется – генеральная совокупность или выборка) и характеризующая степень отклонения каждого из значений СВ от среднего в процентах.

(40)

(41)

Рекомендуемое значение показателя вариации для жилых объектов недвижимости при развитом рынке жилищной недвижимости 10% [34].

Парная корреляция5– связь между двумя признаками (результативным и факторным или двумя факторными). Парная корреляция подразумевает выявление наличия и формы корреляционной зависимости между результативным показателем (ценой) и одним из анализируемых факторных признаков (характеристикой). При этом предполагается условное равенство всех прочих характеристик в сравниваемых объектах, а результативный показатель есть функция от значения анализируемой ценообразующей характеристики аналогичных объектов:

(42)

По общему направлению корреляционная связь может быть прямой или обратной. При прямой связи увеличение факторного признака приводит к повышению результативного, и наоборот, если при повышении факторного признака результативный уменьшается, это говорит о наличии обратной связи. Одним из главных статистических показателей, знак при котором указывает направление корреляционной связи, является коэффициент корреляции (знак «+» говорит о наличии прямой связи, «-» – об обратной). Коэффициент корреляции является мерой тесноты связи между ценой и анализируемой характеристикой.

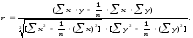
Например, для определения тесноты парной линейной зависимости применяется линейный коэффициент корреляции (r).

Линейный коэффициент корреляции рассчитывается следующим образом:

(43)

Линейный коэффициент корреляции изменяется в пределах от -1 до +1. Чем ближе его значение по модулю к 1, тем теснее связь. В силу того, что сравниваемые объекты имеют, как правило, несколько ценообразующих характеристик, линейный коэффициент корреляции может использоваться для выделения какой-либо одной из них, оказывающей максимальное влияние на формирование цен выбранных объектов-аналогов.

Кроме коэффициента корреляции в корреляционно-регрессионном анализе используются и другие статистические показатели: среднеквадратическое отклонение, среднеквадратичная ошибка, коэффициент вариации, достоверность и пр.

Одним из важных этапов корреляционно-регрессионного анализа является выбор уравнения регрессии. Выбор уравнения регрессии, с помощью которого производится расчет стоимости оцениваемого объекта, осуществляется на основе значений коэффициента корреляции и (или) достоверности каждого анализируемого вида регрессионного уравнения. При этом могут быть использованы следующие основные виды корреляционной зависимости (уравнений регрессии):

  1. линейная ;

  2. степенная

  3. логарифмическая

  4. показательная

  5. экспоненциальная

  6. квадратическая (полиномиальная второй степени)

  7. гиперболическая

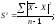
Оценка меры достоверности анализируемого уравнения регрессии

Мера достоверности (D) анализируемого уравнения регрессии оценивается с помощью процентного соотношения среднеквадратической ошибки уравнения (Se) и математического ожидания по результативному признаку ():

(44)

Среднеквадратическая ошибка находится по формуле

(45)

где – фактическое значение ценыi– го объекта-аналога;

–расчетное значение цены i– го объекта-аналога по выбранному уравнению регрессии;

–количество объектов в выборке;

i– число параметров уравнения регрессии.

В случае, если максимальное значение D не превышает 15%, анализируемое уравнение регрессии достаточно корректно отображает корреляционную связь и может быть использовано для расчета стоимости оцениваемой недвижимости.

Многофакторный анализ предполагает выявление наличия и формы корреляционной зависимости между результативным показателем и несколькими факторными признаками (параметрами):

(46)

Применение факторного анализа для расчета стоимости оцениваемого объекта дает более точные результаты по сравнению с парной корреляцией и поэтому в большинстве случаев является более приоритетным. К тому же метод парной корреляции в оценке недвижимости применим в основном для расчета отдельных поправок, а метод множественной корреляции позволяет рассчитать стоимость оцениваемой недвижимости в целом. Например, может быть использована линейная регрессия вида

(47)

–стоимость объекта оценки;

–основные ценообразующие характеристики сравниваемых объектов;

–коэффициенты регрессии.

Рассмотрим применение однофакторного корреляционно-регрессионного анализа для расчета стоимости недвижимости методом парной корреляции на следующем примере.

Следует сказать, что на практике однофакторные модели взаимосвязи встречаются редко, т.к. в большинстве случаев стоимость недвижимости зависит от нескольких переменных. Применение однофакторной модели допустимо при условии схожести всех остальных характеристик.

Объект оценки – офис общей площадью 160 кв.м. Имеется информация об объектах-аналогах в отношении их общей площади и цены продажи.

Таблица 31

Линейный метод или метод средних в финансовой математике

Одним из простейших и наиболее популярных методов установления суммы обесценивания является метод средних, обычно называемый линейным методом. В этом методе предполагается, что сумма обесценивания для каждого года является одинаковой (постоянной). Таким образом, если C равно первоначальной стоимости иS является стоимостью остатков, или коммерческой стоимостью, в конце периода использования изn лет, тогда годовое обесценивание принимается равным (C - S)/n . Этот метод проиллюстрируем следующим примером.

ПРИМЕР Машина стоила компании 33 млн рб. Оценено, что полезная жизнь машины будет 5 лет и что стоимость остатков будет 3 млн рб. Найти годовое обесценивание при помощи линейного метода и построить расписание, которое показывает для каждого года годовое обесценивание, книжную цену машины и полное обесценивание.

140

РЕШЕНИЕ

Так как машина обесценивается на 33 - 3 = 30 млн рб за 5-

летний период, среднее обесценивание за каждый год равно 30

/ 5 =

6

млн рб/год.

Поэтому расписание обесценивания составляется путем

уменьшения книжной цены машины на 6 млн рб

в каждом

году

и

увеличением обесценивания на ту же самую величину.

 

 

 

----------------------------------------------------------------------

 

 

 

Конец

Годовое

Полное

Книжная

 

 

 

года

обесценивание

обесценивание

цена

 

 

----------------------------------------------------------------------

 

 

 

0

0

0

33

 

 

 

1

6

6

27

 

 

 

2

6

12

21

 

 

 

3

6

18

15

 

 

 

4

6

24

9

 

 

 

5

6

30

3

 

 

----------------------------------------------------------------------

 

 

Следует заметить, что имеется два главных возражения линейному

методу.

a) Он игнорирует проценты фонда обесценивания, когда этот

фонд

используется.

b) Большинство оборудования обесценивается

быстрее в течение первых лет, так что книжные цены в течение этих лет значительно выше, чем реальные рыночные цены. Следовательно,

первоначальная инвестиция

только кажется остающейся нетронутой.

Однако несмотря на эти

возражения, линейный метод широко

используется из-заего простоты.

Расчетные значения цены 1 кв.м недвижимости по различным функциям корреляционно-регрессионного анализа

Общая площадь, кв.м

Цена продажи 1 кв.м, тыс.руб.

Линей-ная

Степен-ная

Логариф-мическая

Экспонен-

циальная

Полино-миальная

1

176,7

47,991

49,226

49,19

49,20

48,85

50,63

2

174,5

48,653

49,47

49,42

49,43

49,09

50,72

3

185,0

49,514

48,26

48,37

48,33

47,92

50,51

4

150,0

50,000

52,30

52,27

52,29

51,94

53,34

5

154,3

51,847

51,80

51,73

51,76

51,43

52,66

6

147,8

51,895

52,55

52,56

52,57

52,20

53,72

7

159,6

53,258

51,19

51,09

51,12

50,81

51,95

8

142,5

54,807

53,16

53,28

53,26

52,84

54,74

161,3

50,996

На основе расчетных данных проведем сравнение уравнений по коэффициенту корреляции, коэффициенту детерминированности среднеквадратической ошибки и достоверности.

Таблица 36

Расчетные значения цены 1 кв.м по различным функциям в сравнительном подходе оценки недвижимости

Общая площадь, кв.м

Цена продажи 1 кв.м, тыс.руб.

Линей-ная

Степен-ная

Логариф-мическая

Экспонен-

циальная

Полино-миальная

1

176,7

47,991

49,226

49,19

49,20

48,85

50,63

2

174,5

48,653

49,47

49,42

49,43

49,09

50,72

3

185,0

49,514

48,26

48,37

48,33

47,92

50,51

4

150,0

50,000

52,30

52,27

52,29

51,94

53,34

5

154,3

51,847

51,80

51,73

51,76

51,43

52,66

6

147,8

51,895

52,55

52,56

52,57

52,20

53,72

7

159,6

53,258

51,19

51,09

51,12

50,81

51,95

8

142,5

54,807

53,16

53,28

53,26

52,84

54,74

161,3

50,996

На основе расчетных данных проведем сравнение уравнений по коэффициенту корреляции, коэффициенту детерминированности среднеквадратической ошибки и достоверности.

Таблица 36

Статистические показатели в сравнительном подходе оценки недвижимости

Статистические показатели

Значение

Среднее арифметическое (), тыс.руб.

50,996

Мо (Мода), тыс.руб.

Все значения

Ме (Медиана), тыс.руб.

50,924

R (размах варьирования), тыс.руб.

6,816

Дисперсия (s2)

5,554

Стандартное отклонение (s)

2,357

Первый доверительный интервал ()

48,639 – 53,353

Количество элементов выборки в первом доверительном интервале

6

Второй доверительный интервал()

46,282 – 55,710

Количество элементов выборки во втором доверительном интервале

8

Третий доверительный интервал()

43,925 – 58,067

Количество элементов выборки в третьем доверительном интервале

8

Коэффициент вариации (?), %

4,6

По результатам анализа табл. 33 выборку можно признать однородной.

Выберем линейное уравнение регрессии и найдем коэффициенты. Для этого введем значения в КнигуMicrosoftExcel, в меню СЕРВИС выберем функцию АНАЛИЗ ДАННЫХ, из предлагаемых наименований выберем РЕГРЕССИЯ, после чего появится окно, в которое следует внести значения(цены) и(площади объекта оценки). После внесения данных появится таблица 34 (см. с. 102).

Из табл.34 возьмем коэффициенты уравнения. В итоге линейное изменение цены в зависимости от площади можно описать следующим уравнением:

;

Дополнительную информацию по стандартным функциям Microsoft Excelможно получить в справке по каждой функции.

Вид уравнения также можно определить по графику, который строится по заданным и известным значениям с помощью точечных диаграмм в редакторе MicrosoftExcel.

Рис.3. Линейная зависимость между площадью и стоимость 1 кв.м

Выберем степенное уравнение регрессии аналогичное линейному:

;

Выберем логарифмическое уравнение регрессии

;

Выберем экспоненциальное уравнение регрессии

;

Выберем полиномиальное (второго уровня) уравнение регрессии

;

На основании уравнений рассчитаем новые значения стоимости 1 кв.м.

Таблица 35

Статистические показатели моделей оценки стоимости недвижимости

Статистические показатели

Значение

Среднее арифметическое (), тыс.руб.

50,996

Мо (Мода), тыс.руб.

Все значения

Ме (Медиана), тыс.руб.

50,924

R (размах варьирования), тыс.руб.

6,816

Дисперсия (s2)

5,554

Стандартное отклонение (s)

2,357

Первый доверительный интервал ()

48,639 – 53,353

Количество элементов выборки в первом доверительном интервале

6

Второй доверительный интервал()

46,282 – 55,710

Количество элементов выборки во втором доверительном интервале

8

Третий доверительный интервал()

43,925 – 58,067

Количество элементов выборки в третьем доверительном интервале

8

Коэффициент вариации (?), %

4,6

По результатам анализа табл. 33 выборку можно признать однородной.

Выберем линейное уравнение регрессии и найдем коэффициенты. Для этого введем значения в КнигуMicrosoftExcel, в меню СЕРВИС выберем функцию АНАЛИЗ ДАННЫХ, из предлагаемых наименований выберем РЕГРЕССИЯ, после чего появится окно, в которое следует внести значения(цены) и(площади объекта оценки). После внесения данных появится таблица 34 (см. с. 102).

Из табл.34 возьмем коэффициенты уравнения. В итоге линейное изменение цены в зависимости от площади можно описать следующим уравнением:

;

Дополнительную информацию по стандартным функциям Microsoft Excelможно получить в справке по каждой функции.

Вид уравнения также можно определить по графику, который строится по заданным и известным значениям с помощью точечных диаграмм в редакторе MicrosoftExcel.

Рис.3. Линейная зависимость между площадью и стоимость 1 кв.м

Выберем степенное уравнение регрессии аналогичное линейному:

;

Выберем логарифмическое уравнение регрессии

;

Выберем экспоненциальное уравнение регрессии

;

Выберем полиномиальное (второго уровня) уравнение регрессии

;

На основании уравнений рассчитаем новые значения стоимости 1 кв.м.

Таблица 35

Список литературы и источников на тему "Регрессионная статистика в оценке стоимости"

  1. Другие практикумы
  2. Практикум микроэкономика, умц
  3. Практикум по дисциплине Математические методы в оценке
  4. Практикум Основы менеджмента, умц
  5. Практикум Философия, умц
  6. Практикум Бюджетная модель компании, умц
  7. Практикум Инновационный менеджмент
  8. Выбор стратегий на различных уровнях управления и разработка стратегического плана
  9. Практикум. Методы исследования в менеджменте

Другие похожие работы





© 2002 - 2026 RefMag.ru