73
Определение реальной процентной ставки с учетом инфляции в финансовой математике
Введем показатели, характеризующие реальную доходность
кредитных операций в условиях инфляции. Пусть срок действия ссуды равен T;
S0- начальная сумма; ST – наращенная сумма денег,
измеренная по номиналу. Для операции наращения суммы по простой процентной
ставке i на интервале времени Т в качестве показателя реальной доходности
возьмем простую процентную ставку iэ, обеспечивающую рост начальной
суммы S0 за тот же срок Т до реального значения наращенной суммы С:
С = S0 •(1 + iэ·Т) . Отсюда находим:
,
(37)
где С вычисляется по формуле (33). Если реальное значение
наращенной суммы С оказывается меньше начальной суммы S0 (то есть,
операция убыточна), то показатель доходности ссудной операции i, является
отрицательным.
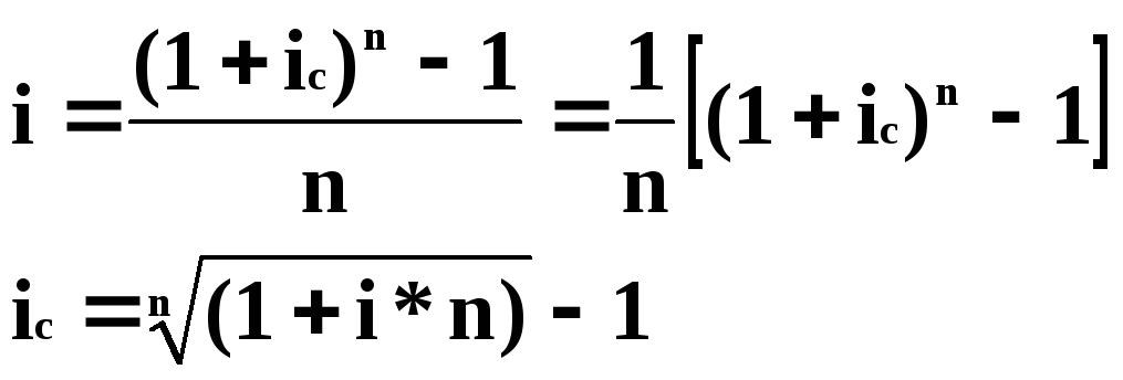
Аналогично, для операции наращения суммы по сложной
процентной ставке i в качестве показателя реальной доходности на интервале
времени Т возьмем сложную процентную ставку iэ, обеспечивающую рост
начальной суммы S0 за тот же срок T до реального значения наращенной
суммы С: С = S0 • (1+ iэ)T. В
частном случае, когда h — темп инфляции за период начисления, а срок ссуды Т
равен целому числу n периодов начисления, и для вычисления С используется
формула (36), находим явное выражение для iэ:
(38)
И в этом случае показатель реальной доходности операции может
быть отрицательным, если темп инфляции за период начисления превышает
объявленную процентную ставку.
Переменные ставки сложных процентов в финансовой математике
Если ссуда долгосрочная, то в течение срока ее действия
ставки процента могут изменяться. Пусть общий срок ссуды Т разбивается на
части T1, Т2,...Tn причем
в течение срока Т1 применяется процентная ставка
i1;
в течение срока T2 применяется процентная ставка
i2;
……………………………………………………………
в течение срока Тn применяется процентная ставка
in.
Обозначим множитель наращения за срок Тk через
Аk, а наращенную к концу срока Tk сумму через
Ak. Пусть расчет ведется по общему методу, тогда Ak =
(1+ik)Tk . По формуле (11) находим:



(13)
В краткой форме полученная формула записывается так:
(14)
Попутно мы показали, что коэффициент наращения А за весь срок
ссуды равен произведению коэффициентов наращения на составляющих его
интервалах:
A=A1A2A3…An
(15)
Этот результат носит название принципа стабильности
рынка.
Пояснения к заданиям по финансовой математике
Простые проценты.
Сущность метода начисления простых процентов по простым
процентам в том, что проценты начисляются в течение всего срока на одну и ту же
величину капитала, представляемого в кредит.
Наращенная сумма – это совокупная величина основного долга и
процентных денег за весь кредитный период или это сумма накопленного заемщиком
долга.
Сложные проценты.
Сущность метода начисления по сложным процентам в том, что
база для начисления процентов от одного расчетного периода к другому. Сумма
начисленных в каждом периоде процентов добавляется к капиталу предыдущего
периода, а начисление процентов в последующем периоде производится на эту, уже
наращенную величину первоначального капитала. Механизм наращения первоначальной
суммы (капитала) по сложным процентам называется капитализацией.
Дисконтирование.
Дисконтирование – приведение экономических показателей
(выручки, затрат, капитала) будущих лет к сегодняшней ценности. В качестве
ставки дисконтирования может служить ставка банковского процента, учетная
ставка, темп инфляции или другой показатель.
Учет инфляции в расчетах.
Инфляция – процесс снижения покупательной способности под
воздействием определенных факторов.
Влияние инфляции на величину экономических показателей
определяется с помощью индекса инфляции.
Финансовые ренты (аннуитеты).
Современные финансово-банковские операции часто предполагают
не отдельные или разовые платежи, а некоторую их последовательность во
времени.
Такая последовательность платежей называется потоком
платежей, а отдельные элементы этого ряда – члены потока.
Поток платежей, все члены которого положительные величины,
называется финансовой ренты или аннуитетом, независимо от назначения или
происхождения платежей.
Рента характеризуется параметрами:
-
Член ренты (R)
-
Период ренты (P)
-
Срок ренты (n)
-
Процентная ставка (i)
По моменту выплат платежей в пределах периода финансовые
ренты подразделяются на :
Планирование погашения долга.
Расходы, связанные с погашением кредита, т.е. погашением
основного долга и выплатой процентов по нему, называется расходами по
обслуживанию долга или амортизацией кредита.
Существуют различные способы погашения задолженности.
Участники кредитной сделки оговаривают их при заключении контракта. В
соответствии с контрактом составляется план погашения долга.
Эквивалентность процентных ставок.
Процентные и учетные ставки решают одинаковые задачи:
определение степени доходности при операции наращения или размеры
дисконтированных сумм при учетной операции. В связи с этим возможен выбор таких
процентных ставок, при пользовании которых финансовые последствия окажутся
равноценными.
Процентные ставки и методы их начисления в финансовой математике
Простые и сложные проценты.
Стандартным временным интервалом в финансовых операциях является один
год. Поэтому наиболее распространен вариант, когда процентная ставка
устанавливается в виде годовой ставки, подразумевающей однократное
начисление процентов по истечение года.
Известны две основные схемы дисконтированного начисления
процентов:
Схема простых процентов предполагает неизменность базы, с которой
происходит начисление.
. (4)
Схема сложных процентов предполагает, что очередной годовой доход
исчесляется не с исходной величины инвестированного капитала, а с общей суммы,
включающей также и ранее начисленные, и невостребованные инвестором
проценты.
. (5)
Очень важно помнить, что
- при 0 < n< 1 
- при n = 1 
- при n> 1 
Таким образом, в случае ежегодного начисления процентов, для лица,
предоставляющего кредит:
-
выгодной является схема простых процентов, если срок ссуды менее одного
года (проценты начисляются однократно в конце периода);
-
более выгодной является схема сложных процентов, если срок ссуды
превышает один год (проценты начисляются ежегодно);
-
обе схемы дают одинаковые результаты при продолжительности периода в
один год и однократном начислении процентов (рис. 2).
Пример 1.
Рассчитать наращенную сумму с исходной суммы 1000$ при размещении ее в банке
на условиях начисления простых и сложных процентов, если годовая ставка 20 %,
период наращивания: 90 дн., 180 дн., 1 год, 5 лет, 10 лет.
($)


Рис. 2. Простая и сложная схема наращивания капитала.
Пример2.
Компания хочет купить машину для снятия фотокопий за 10 000$. Продавец
согласен, чтобы компания выплатила деньги по истечение 2 лет, при условии, что
она заплатит за это 14 простых процентов за каждый год. Определить сумму
процентов и полную выплату.
Проценты:
,
.
Если продавец машины согласен на отсрочку платежа всего на 90 дней, тогда
.
Если продавец машины согласен на отсрочку платежа на 15 месяцев, тогда
.
Процедура начисления процентов на проценты (сложные проценты) называются
компаундингом.
Множитель
называетсякоэффициентом
аккумулирования.
Пример 3.
Вклад 3000$ помещены в банк под 5 % годовых на 3 года. Какая сумма будет
накоплена через 3 года (сложные %)?
.
Пример 4.
Предприниматель желает инвестировать значительную сумму денег в акции
некоторой корпорации. Корпорация выплачивает ежегодно дивиденды на одну акцию в
сумме 3 %. Ожидается, что в течение ближайших 3 лет дивиденды будут
увеличиваться ежегодно на 20 %. Рассчитать величину дивидендов для каждого
года.
,
,
.
В практических расчетах при реализации схемы сложных процентов для
быстрой оценки эффективности предлагаемой процентной ставки пользуются
приблизительным расчетом времени, необходимого для удвоения
инвестированной суммы. Это правило называется «правило 72-х» и
заключается в следующем: если r-процентная ставка, выраженная в процентах, то
k = 72/r представляет собой число периодов, за которое исходная сумма
приблизительно удваивается. Если базовым периодом, т. е. периодом наращивания
является год, то в расчете используется годовая ставка, если квартал, то
необходимо использовать квартальную ставку.
Это правило хорошо срабатывает для небольших значений r (до 20 %).

Проценты в финансовой математике
Всякий собственник, имеющий квартиру или гараж, которые он
не использует, может сдать их в наем, получая за это определенную плату. Точно
также человек, имеющий деньги, которые он не использует, может их дать взаймы
другому лицу (или, используя более общий термин, - инвестировать) за
определенное вознаграждение. Доход от инвестированного капитала или, в более
узком смысле, вознаграждение за использование денег, называется процентными
деньгами или краткопроцентами. Сумма денег,
данных взаймы, называетсяосновной иликапиталом.
Обычно заем дается на определенное время -период.
Сумма процентных и основных денег, полагающаяся в конце периода,
называетсяитогом. В общем случае отношение процента за
период к основной сумме (капиталу) называетсянормой процента.
Эта норма чаще всего выражается в форме процентов, при расчетах
используются эквивалентные десятичные (реже - натуральные) дроби. При заключении
конкретных сделок для обозначения нормы процентов обычно используется другое
название -процентная ставка.
ПРИМЕР Иванов взял в
сберегательном банке ссуду 10000 рб. Если банк начисляет 250 рб процентных денег
за использование этой суммы в течение 6 месяцев, какой будет норма процента за
этот период ?
РЕШЕНИЕ Обозначим норму процента
за шести месячный период черезi. Тогдаi
= 250/10000 = 0.025 = 2.5%.
Проценты за дробное число лет
В различных сделках срок не всегда есть целое число лет, он
может быть равен и дробному числу лет. Пусть t = a+ b, где
t – период сделки в годах,
a – целая часть t.
b – дробная часть t.
В таких случаях проценты могут начисляться двумя
способами:
Заметим, что если общий срок менее года, наращенная сумма
вычисляемая по смешанному методу больше, чем наращенная сумма вычисляемая по
формуле сложных процентов, т.к.
для b<1.
Задача № 7.1.
Клиент банка вносит депозит $3000 на 3,5 года под 40%
годовых. Определить величину депозита в конце периода используя два метода: по
формуле сложных процентов и на основе смешанного метода.
Решение. По формуле сложных процентов
=9740.
На основе смешанного метода:
.
Ответ: $9740 и $9879,4.
Задача № 7.2.
Размер депозита 10 млн.руб. Номинальная годовая ставка
50%. Проценты начисляются по полугодиям. Найти наращенную сумму по смешанному
методу, если срок депозита 27 месяцев.
Решение. Используя смешанный метод,
находим:

Ответ: наращенная сумма 25939941 руб.
Расчет процентной ставки в финансовой математике:
- при наращении по сложной годовой ставке %,
- при наращении по номинальной ставке % m
раз в году,
- при наращении по постоянной силе роста.
Ставка дохода на собственный капитал в оценке недвижимости
Ставка дохода на собственный капитал –
расчитывается как отношение ежегодных денежных поступлений после вычета расходов
по обслуживанию кредита и до уплаты налогов к размеру собственного капитала
инвестора в объекте недвижимости.
С учетом других факторов, позволяет проводить оценку
привлекательность инвестиций в объекты недвижимости за счет собственных
средств.
|
R Before
Tax Cash Flow |
|
E |
Value of Equity |
|
|