Оценка предприятия Решение задачи №1
Задача №1
Предприятие
выплатило дивиденды за прошлый год в размере 60 руб. на акцию. Ожидается
ежегодный прирост дивидендов на 8%.
Определить стоимость 1 акции (после выплаты 60 рублей дивидендов), если ставка
дисконтирования составляет 16%.
Методика
решения:
Формула оценки
рыночной стоимости обыкновенных акций:
Ро = Р' +
Р''*1/(1+ Ks)^n, где:
Р' -
дисконтированное значение прогнозируемых дивидендов на первом (конечном)
промежутке времени продолжительностью n лет,
Р'' -
дисконтированное значение последующей бесконечной серии дивидендов, приведенное
к моменту, соответствующему концу n -ого года.
Ks – ставка
дисконтирования, с помощью которого осуществляется приведение дивидендных
выплат к настоящему моменту времени.
Для расчета
первой компоненты необходимо просто продисконтировать все величины дивидендов,
спланированные к выплате в течение первых n лет:

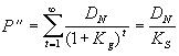
Расчет второй
компоненты для неизменных дивидендов производится по формуле дисконтирования
бесконечных дивидендов
, где:
Dt - величина
дивиденда, выплачиваемого в t-ом году,
Ks- показатель
дисконта, с помощью которого осуществляется приведение дивидендных выплат к
настоящему моменту времени.
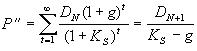
Если
предполагается рост дивидендов с темпом g, то необходимо воспользоваться
формулой Гордона и имеет следующий вид:
Решение:
Величина
дивиденда за прошлый год = 60 руб.
Величина
дивиденда в последующий год = 60*1,08 = 64,8 руб.
Р' = 60 *
1/(1+0,16)^1 = 51,7
Р'' =
64,8/(0,16-0,08) = 810
Ро = 51,7 + 810
* 1/(1+ 0,16)^1 = 51,7 + 698,2 = 750 руб.