RefMag.ru - Оценка. Помощь в решении задач, тестов, практикумов, курсовых, аттеста­ционных

RefMag.ru - Помощь в решении в учебе

Заказать:
- заказать решение тестов и задач
- заказать помощь по курсовой
- заказать помощь по диплому
- заказать помощь по реферату

Репетитор оценщика

Готовые работы заочников

Тесты:

Задачи:

Примеры работ по оценке

Примеры курсовых работ
Примеры аттест­ационных работ
Учебные дисциплины
Литература
Заказ работ:




Оказываю помощь по решению задач, тестов, консультации по самостоятельному выполнению контрольных, курсовых и дипломных. Сергей.
admin@refmag.ru, , ,

Примеры: | контрольные | курсовые | дипломные | отзывы |

Пример работы

Капитализация в оценке стоимости

Похожие работы:

Капитализация в финансовой математике

Капитализация слово капитализация имеет несколько значений. в этой главе оно будет

обозначать процесс

определения

настоящей

стоимости

серии

периодических платежей, которые продолжаются

неограниченно долго.

Таким образом, капитализировать

доход (или

расход) при

данной

норме процента означает найти настоящую стоимость вечной

ренты,

которая будет обеспечивать необходимые платежи. Например,

доход 1

млн рб, полагающийся в конце каждого месяца, капитализированный при 3 процентах, m = 12, равен 400 млн рб, так как эта сумма является настоящей стоимостью вечной ренты, которая будет обеспечивать 1 млн рб в конце каждого месяца, если инвестирована приj12 = 3 процента.

В современной экономической теории капитализация является крайне важным инструментом оценивания различных активов и обязательств, одним из наиболее важных применений является определение капитализированной стоимости инвестиций активов, обычно называемой капитализированной стоимостью. Капитализированная стоимость активов определяется как первоначальная стоимость плюс настоящая стоимость неограниченного числа возобновлений. Настоящая стоимость неограниченного числа возобновлений является текущей стоимостью вечной ренты, которая будет обеспечивать необходимые возобновляемые платежи. Отсюда, еслиC является первоначальной стоимостью иK является капитализированной стоимостью, тогда

106

 

K = C + A ,

(6)

где A

является настоящей стоимостью вечной ренты, необходимой

для возобновляемых платежей,

и определяется равенством (1).

Если

норма

процента такова, что

рента является простой рентой,

R

рассматривается как возобновляемая стоимость и мы имеем

 

 

K = C + R/i .

(7)

Если однако рента является общей рентой, W принимается в качестве возобновляемой стоимости иR , используемое в (7), вычисляется по формуле(2).

ПРИМЕР 1 Промышленная компания первоначально заплатила за сверла 20 млн рб, после чего в конце каждого месяца компания платит по 10 млн рб за возобновление сверлиз-заих износа и поломок. Если деньги стоят 4,5 % эффективно, найти капитализированную стоимость сверл.

РЕШЕНИЕ Платежи по 1 млн рб в конце каждого месяца образуют общую ренту. ЕслиR является платежом эквивалентной простой вечной ренты, тогда

R = 1/s112 4,5% = 1 12,24553306 = 12,245533 млн рб.

K = C + R/i = 2 + 12,245533 / 0,045 = 274,122950 млн рб.

Если первоначальная стоимость C является той же самой, что и стоимость замены, вычисление можно немного упростить путем рассмотрения первоначальной стоимости, как первого платежа полагающейся вечной ренты. Следующий пример иллюстрирует эту возможность.

ПРИМЕР 2 Найти капитализированную стоимость машины, которая стоит 50 млн рб и подлежит замене по той же самой стоимости в конце каждого десятилетнего периода. Деньги стоят 4% эффективно.

РЕШЕНИЕ Представим платежи на временной диаграмме

0

10

20

30

40 ...

 

 

 

 

 

 

 

 

 

 

 

 

 

 

 

 

 

 

 

 

50

50

50

50

50 ...

K

 

 

 

 

 

 

 

 

107

Эта общая полагающаяся рента с платежами по 50 млн рб может быть заменена простой рентой с платежами R , где

R = W/ аm p i = 50/а10 4% = 50 0,12329094 = 6,164547 .

Тогда, поскольку K является настоящей стоимостью этой ренты

K = R/i = 6,164547 / 0,04 = 154,11367 млн рб .

В теории капитализации часто встречается термин периодическая инвестиционная стоимость. Периодическая инвестиционная стоимость

активов

определяется

как периодический

процент

на

капитализированную стоимость.

Например, если капитализированная

стоимость активов при j4 = 4% равна 100 млн рб, то поквартальная

инвестиционная стоимость равна 1 млн рб. Таким образом,

если

обозначить периодическую инвестиционную стоимость символом

H ,

тогда

 

H = Ki = Ci + R ,

(8)

где K ,C ,R иi имеют тот же смысл, что и ранее.

 

Периодическая инвестиционная стоимость имеет более простую

интерпретацию. Если

K

является

капитализированной стоимостью

активов, тогда K будет сохранять стоимость актива

неограниченно.

С

другой

стороны,

K , инвестированная теперь при нормеi , будет давать

Ki , как выплаты процентов, неограниченно. Отсюда если

K

используется

для

сохранения

стоимости

с

определенного актива,

выплаты процентов

Ki

являются

 

потерянными

как доход и логически

могут рассматриваться как

периодическая инвестиционная

стоимость

собственно активов. Такое

же заключение может быть получено путем

анализа

формулы

H = Ci + R . Слагаемое

Ci

представляет потери

процентов

из-за

того, что собственник использовал деньги

на

приобретение активов,

а не на инвестирование при норме i . Кроме того,

если

W

является стоимостью

 

замены

активов

в

конце

их

использования, то

R

=

W s

 

i

, помещаемое

в сберегательный

m p

фонд в конце каждого периода начисления процентов, будет накапливать основную сумму, которая в противном случае была бы потеряна, когда активы достигнут конца своего использования. Таким образом, Ci теряются как процент и выплатаR, необходимая для сохранения первоначального капитала нетронутым, содержит реальную

108

Капитализация земельной ренты при проведении оценки стоимости земли

Капитализация земельной ренты – способ прямого использования доходного метода для оценки стоимости земли. Он выражается зависимостью:

.

Однако в Российской Федерации пока еще мало распространена практика сдачи в аренду частных землевладений. У нас арендуются главным образом свободные земли из государственных и муниципальных запасов, когда величина арендной платы регламентируется нормативной ценой земли, не адекватной ее рыночной стоимости. Поэтому на практике применение метода капитализации земельной ренты сопряжено с существенными трудностями получения достоверной информации для измерения потока будущих доходов и операционных расходов землевладельца, определения ставки их дисконтирования в текущую стоимость и коэффициента капитализации для земли.

Метод капитализации земельной ренты удобен, когда земля сдается в аренду отдельно от зданий и сооружений. В случае сдачи сельскохозяйственных угодий и участков под коммерческое использование, арендуемых на условиях, когда арендатор несет ответственность за уплату поимущественного налога и за все другие расходы, этот метод является самым удачным. Если договор аренды заключен недавно или если он достаточно точно отражает текущую ситуацию на рынке аренды, сумму чистой арендной платы можно непосредствен­но капитализировать в номинальную стоимость земельной собственности.

Таблица 15

Прогнозируемая цена продажи участков (160 х 620 000), руб.

99 200 000

Затраты на освоение, руб.

-43 400 000

Общие накладные расходы (25% от 3 200 000), руб.

-24 800 000

Чистый доход без учета затрат по владению и прибыли, руб.

31 000 000

Затраты по владению и прибыль (40% от 31 000 000), руб.

-12 400 000

Номинальная стоимость неосвоенной земли, руб.

18 600 000

Допустим, например, что участок земли в деловой части города был недавно сдан в аренду на вышеупомянутых условиях за 186 000 руб. в год сроком на 10 лет. Если принять ставку капитализации равной 12%, номинальная сто­имость упомянутого участка земли составит:

186 000/0,12 = 1550 тыс. руб.

Конечно, ставку капитализации необходимо определить из анализа рынка. Договоры аренды, которые устарели и больше не отражают текущего состоя­ния рынка, следует исключить. Кроме того, как и при использовании методов «извлечения» и переноса, рассчитанные таким образом стоимости земельных участков нельзя использовать непосредственно, а только в качестве ориенти­ров при установлении стоимости единицы сравнения или базового участка для анализируемых страт.

КАПИТАЛИЗАЦИЯ ПОСТОЯННОГО ДОХОДА при оценке бизнеса предприятия

Бизнес можно оценить с помощью капитализации постоянного дохода, получаемого за ограниченный период времени.

Существуют три метода возврата инвестированного капитала:

метод Инвуда,

метод Ринга

метод Хоскольда.

Когда метод капитализации нельзя применять:

когда отсутствует информация о рыночных сделках;

если объект еще не построен, а значит, не вышел на режим стабильных доходов;

когда объект подвергается серьезным разрушениям в результате стихийного бедствия, т.е. требует серьезной реконструкции.

Метод капитализации арендной платы при оценке земли

22.1.Стоимость земли данным методом определяется как отношение арендной платы за минусом издержек, связанных с владением земельным участком, к коэффициенту капитализации.

Пример:

Рыночная ставка арендной платы за пашню= 1000 руб./га Ставка земельного налога= 200 руб./гаКоэффициент капитализации= 0,1Рыночная стоимость пашни= (1000-200) : 0,1 = 8000 руб./га22.2. Если расчеты по арендной плате происходят в натуральной продукции, то величина арендной платы может быть определена как стоимость этой продукции, пересчитанная в рыночных ценах.

22.3. При расчете рыночной стоимости необходимо использовать только данные о рыночных ставках арендной платы за землю. В качестве последних целесообразно использовать ставки, формируемые на вторичном рынке.

  1. Метод капитализации дохода

    Вопросы для обсуждения

    1. Сущность метода капитализации дохода.

    2. Модель неопределенно длительного роста доходов в геометрической прогрессии или модель Гордона как мультипликативная модель во времени.

    3. Модель неопределенно длительного роста доходов в геометрической прогрессии, эквивалентная рекурсивной модели.

    4. Модель неопределенно длительного роста доходов в арифметической прогрессии.

    5. Модель капитализации неопределенно длительного постоянного дохода – IRV-связь.

    6. Этапы оценки стоимости бизнеса методом капитализации доходов.

    7. Выбор величины дохода (прибыли), подлежащего капитализации.

    8. Расчет ставки капитализации.

    9. Определение предварительной величины стоимости. Внесение итоговых поправок.

    10. Метод дисконтирования дивидендов.

    Решение задач по теме «Доходный подход к оценке стоимости бизнеса. Часть 2. Метод капитализации дохода», предложенных преподавателем.

    Метод капитализации дохода при оценке стоимости бизнеса

    Метод капитализации дохода – это оценка имущества на основе капитализации дохода за первый прогнозный год при предположении, что величина дохода будет такой же и в последующие прогнозные годы.

    Капитализация дохода - это процесс, определяющий взаимосвязь будущего дохода и текущей стоимости оцениваемого объекта.

    В оценке бизнеса метод капитализации дохода применяется редко из-за значительных колебаний величин прибылей или денежных потоков по годам, характерных для большинства оцениваемых предприятий.

    Метод капитализации доходов при оценке бизнеса предприятия

метод заключается в расчете текущей стоимости будущих доходов, полученных от использования объекта с помощью коэффициента

капитализации:

ОРС CF1 r g

ОРС – обоснованная рыночная стоимость; CF – денежный поток;

R – ставка дисконта; g - темп роста;

(R – g) – коэффициент капитализации.

Метод капитализации земельной ренты при оценке земли

16.1. Метод капитализации земельной ренты заключается в капитализации земельной ренты или чистого дохода, при­носимого землей (незастроенным земельным участком). Величина ренты может рассчитываться как доход от сдачи в аренду земельного участка или как доход от его хозяйственного использования.

Пример:

  1. Земельная рента = 1 000 € Коэффициент капитализации= 0,1Рыночная стоимость земельного участка= 1 000 € : 0,1 = 10 000 €17. Согласование результатов оценки стоимости земли

17.1. При оценке рыночной стоимости согласование является заключительным этапом, в процессе ко­торого из значений стоимостей, полученных разными методами, осуществляется выбор итогового значения стоимости. Согласование означает процесс получения единого результата на основе общих требований.

17.2. При выведении итогового значения стоимости учитываются цель и на­значение оценки, применимость того или иного использованного метода оценки для данной цели и данного типа объекта оценки, а также досто­верность и надежность информации, использованной при применении того или иного метода.

17.3. Итоговая величина стоимости в зависимости от цели оценки указыва­ется в виде конкретной величины и/или диапазона величин, находящих­ся между наименьшим и наибольшим значениями.

17.4. Диапазон величин как результат оценки возможен в тех случаях, когда из-за недостатка ис­ходных данных, существенных колебаний цен на рынке недвижимости или ограниченного времени оценки рассчитать конкретную величину не представляется возможным.

17.5. Согласно требованиям Методических рекомендаций по определению рыночной стоимости земельных участков Минимущества России, итоговая величина рыночной стоимости земельного участка должна быть выражена в рублях в виде единой величины, если в договоре об оценке не предусмотрено иное (например, в договоре об оценке может быть установлено, что итоговая величина стоимости земельного участка выражается в виде диапазона величин).

  1. Метод капитализации прибыли при оценке стоимости предприятия бизнеса

    Экономическое содержание метода

    Метод капитализации прибыли является одним из вариантов доходного подхода к оценке бизнеса действующего предприятия. Как и другие вариан­ты доходного подхода, он основан на базовой посылке, в соответствии с ко­торой стоимость доли собственности в предприятии равна текущей стоимо­сти будущих доходов, которые принесет эта собственность. Сущность дан­ного метода выражается формулой

    _ Чистая прибыль

    Оцененная стоимость = -------------

    Ставка капитализации

    Метод капитализации прибыли в наибольшей степени подходит для си­туаций, в которых ожидается, что предприятие в течение длительного срока будет получать примерно одинаковые величины прибыли (или темпы ее ро­ста будут постоянными).

    В отличие от оценки недвижимости в оценке бизнеса данный метод при­меняется довольно редко из-за значительных колебаний величин прибылей или денежных потоков по годам, характерных для большинства оценивае­мых предприятий.

    Основные этапы применения метода

    Практическое применение метода капитализации прибыли предусмат­ривает следующие основные этапы:

      1. Анализ финансовой отчетности, ее нормализация и трансформация (при необходимости).

      2. Выбор величины прибыли, которая будет капитализирована.

      3. Расчет адекватной ставки капитализации.

      4. Определение предварительной величины стоимости.

      5. Проведение поправок на наличие нефункционирующих активов (если таковые имеются).

      6. Проведение поправок на контрольный или неконтрольный характер оцениваемой доли, а также на недостаток ликвидности (если они необхо­димы).

      Анализ финансовой отчетности

      Основными документами для анализа финансовой отчетности предпри­ятия в целях оценки являются балансовый отчет и отчет о финансовых ре­зультатах и их использовании. Для целей оценки действующего предприя­тия желательно наличие этих документов за последние три года. Оценщику также необходимо указать в отчете, прошли ли указанные финансовые отче­ты аудиторскую проверку.

      При анализе финансовых отчетов предприятия оценщик должен в обяза­тельном порядке провести их нормализацию, т.е. сделать поправки на раз­личные чрезвычайные и единовременные статьи как баланса, так и отчета о финансовых результатах и их использовании, которые не носили регулярно­го характера в прошлой деятельности предприятия и вряд ли будут повто­ряться, в будущем.

      Примерами чрезвычайных и единовременных статей могут быть следу­ющие:

      • доходы или убытки от продажи активов, особенно в тех случаях, когда компания не может постоянно продавать такие активы;

      • доходы или убытки от продажи части предприятия;

      • поступления по различным видам страхования;

      • поступления от удовлетворения судебных исков;

      • последствия забастовок или длительных перерывов в работе;

      • последствия аномальных колебаний цен.

      Кроме того, оценщик может провести трансформацию бухгалтерской отчетности, под которой понимается перевод ее на общепринятые стандар­ты бухгалтерского учета (западные). Данная операция при оценке не являет­ся обязательной, но желательна.

      После проведения трансформации баланс предприятия приобретает при­мерно такой вид.

      Активы:

        1. Текущие активы (оборотные средства):

      • денежные средства

      • дебиторская задолженность (векселя и счета к получению)

      • товарно-материальные запасы (сырье и материалы, незавершенное производство, готовая продукция)

        Всего текущих активов

        1. Основные средства и внеоборотные активы:

        • здания, сооружения, машины и оборудование (по исторической стоимости) минус начисленная амортизация

        • здания, сооружения, машины и оборудование (по остаточной стоимости)

        • долгосрочные финансовые вложения

        • нематериальные активы

        Всего основных средств Итого активов

        Обязательства и собственный капитал:

          1. Текущие обязательства:

        • кредиторская задолженность (счета к оплате)

        • векселя к оплате

        • расчеты с прочими кредиторами

          Всего текущих обязательств

          1. Долгосрочные обязательства

          Всего долгосрочных обязательств

          1. Собственный капитал:

          • внесенный (оплаченный)

          • нераспределенная прибыль

          Всего собственного капитала

          Итого обязательств и собственного капитала

          Отчет о финансовых результатах и их использовании после проведения трансформации выглядит примерно так:

          1. чистая выручка от реализации

          2. минус себестоимость реализованной продукции в части переменных затрат

          3. равняется валовая прибыль

          4. минус операционные расходы:

          • общепроизводственные (постоянные затраты)

          • износ (амортизация)

          1. равняется прибыль до выплаты процентов и налогов

          2. минус проценты по долгосрочным кредитам

          3. равняется прибыль до налогообложения

          4. минус налог на прибыль

          5. равняется чистая прибыль.

          Кроме того, оценщик может построить отчет о движении денежных средств (ДДС) по следующей схеме:

            1. ДДС от операционной деятельности:

              1. Чистая прибыль

              2. Износ, амортизация (+)

              3. Увеличение (-) или уменьшение (+) дебиторской задолженности

              4. Увеличение (-) или уменьшение (+) товарно-материальных запасов

              5. Увеличение (+) или уменьшение (-) кредиторской задолженности

              6. Итого чистое ДДС от операционной деятельности

            2. ДДС от инвестиционной деятельности

              1. Прирост (-) основных средств

              2. Прирост (-) капитального строительства

              3. Прибыль (+) от продажи основных средств и капитальных вложений

              4. Итого чистое ДДС от инвестиционной деятельности

            3. ДДС от финансовой деятельности

              1. Увеличение (-) или уменьшение (+) долгосрочных финансовых вложений в денежной форме

              2. Увеличение (-) или уменьшение (+) краткосрочных финансовых вложений в денежной форме

              3. Итого чистый ДДС от финансовой деятельности

          Итого ДДС = 1,6+2,4+3,3.

          При проведении корректировки финансовых отчетов оценщику следует особое внимание уделять следующим статьям финансовых отчетов:

          • "Дебиторская задолженность";

          • "Товарно-материальные запасы";

          • "Начисленная амортизация";

          • "Остаточная стоимость основных средств";

          • "Кредиторская задолженность".

          Дебиторская задолженность корректируется на потенциально безнадеж­ные долги. Корректировка проводится путем сравнения ретроспективного процента потерь по безнадежным долгам в стоимости продаж в кредит с долей сегодняшних продаж в кредит, начисляемой как убытки по безнадеж­ным долгам. В результате можно сделать вывод о недостаточности или чрез­мерности сегодняшних начислений.

          При корректировке стоимости товарно-материальных запасов оценщи­ку следует придерживаться принципа оценки по наименьшей стоимости из первоначальной (т.е. стоимости приобретения) или рыночной. Согласно этому принципу, если рыночная стоимость запасов оказывается ниже себестои­мости, их учетная стоимость должна быть соответствующим образом снижена.

          При анализе износа и амортизации оценщик должен определить, приме­няется ли обычный (равномерный) метод начисления износа или ускорен­ная амортизация.

          При анализе финансовой отчетности оценщику следует исходить из пред­посылки о добросовестном отношении оцениваемого предприятия к своим обязательствам. В связи с этим кредиторская задолженность обычно не кор­ректируется.

          Выбор величины прибыли, которая будет капитализирована

          Данный этап фактически подразумевает выбор периода текущей произ­водственной деятельности, результаты которой будут капитализированы. Оценщик может выбирать между несколькими вариантами:

          • прибыль последнего отчетного года;

          • прибыль первого прогнозного года;

          • средняя величина прибыли за несколько последних отчетных лет (3-5 лет).

          В качестве капитализируемой величины может выступать либо чистая прибыль после уплаты налогов, либо прибыль до уплаты налогов, либо ве­личина денежного потока.

          В большинстве случаев на практике в качестве капитализируемой вели­чины выбирается прибыль последнего отчетного года.

          Расчет ставки капитализации

          Ставка капитализации для предприятия обычно выводится из ставки дисконта путем вычета ожидаемых среднегодовых темпов роста прибыли или денежного потока (в зависимости от того, какая величина капитализи­руется). Соответственно для одного и того же предприятия ставка капитали­зации обычно ниже, чем ставка дисконта.

          С математической точки зрения ставка капитализации - это делитель, который применяется для преобразования величины прибыли или денежно­го потока за один период времени в показатель стоимости.

          Итак, чтобы определить адекватную ставку капитализации, нужно сна­чала рассчитать соответствующую ставку дисконта, используя следующие возможные методики. Существуют различные методики определения став­ки дисконта, наиболее распространенными из которых являются:

          • модель оценки капитальных активов;

          • метод кумулятивного построения;

          • модель средневзвешенной стоимости капитала.

          Кумулятивный подход

          Кумулятивный подход имеет определенное сходство с САРМ (модель оценки капитальных активов). В обоих случаях за базу расчетов берется став­ка дохода по безрисковым ценным бумагам, к которой прибавляется допол­нительный доход, связанный с риском инвестирования в данный вид цен­ных бумаг. Затем вносятся поправки (в сторону увеличения или уменьше­ния) на действие количественных и качественных факторов риска, связан­ных со спецификой данной компании.

          Приведенные ниже данные позволяют получить представление о зави­симости между величиной ставок дохода и уровнем риска, связанного с теми или иными инвестициями. С их помощью может быть проиллюстрирована концепция кумулятивного роста ставок дохода при переходе от менее риско­ванных (безрисковых) к более рискованным инвестициям (табл. 4.6).

          Расчет стоимости собственного капитала согласно кумулятивному подходу проводится в два этапа:

          • определение соответствующей безрисковой ставки дохода;

          • оценка величины соответствующей премии за риск инвестирования в данную компанию.

          При известной ставке дисконта ставка капитализации определяется в общем виде по следующей формуле:

          R=d-g.

          гдеR - ставка капитализации; d - ставка дисконта;

          g - долгосрочные темпы роста прибыли или денежного потока.

          Последние этапы применения метода капитализации прибыли представ­ляют собой несложные операции.

          Предварительная величина стоимости рассчитывается по приводившей­ся формуле

          Для проведения поправок на нефункционирующие активы требуется оценка их рыночной стоимости в соответствии с принятыми методами для конкретного вида активов (недвижимость, машины и оборудование и т.д.).

          Что касается поправок на контрольный или неконтрольный характер оцениваемой доли, а также на недостаток ликвидности, то порядок их при­менения подробно рассматривается ниже.

          Выводы

          Метод дисконтированного денежного потока - весьма сложный, трудо­емкий и многоэтапный метод оценки предприятия. Применение этого мето­да требует от оценщика высокого уровня знаний и профессиональных навы­ков.. И это логично. Ведь метод ДДП во всем мире признан как наиболее теоретически обоснованный метод оценки рыночной стоимости действую­щего предприятия. В странах с развитой рыночной экономикой при оценке крупных и средних предприятий этот метод применяется в 80-90% случаев. Главное достоинство метода ДДП состоит в том, что он единственный из известных методов оценки, который основан на прогнозах будущего разви­тия рынка, а это в наибольшей степени отвечает интересам инвестиционно­го процесса. Последнее относится и к методу капитализации прибыли, хотя он применяется в оценке бизнеса значительно реже, в основном для оценки мелких предприятий.

        • Метод капитализации чистого операционного дохода при оценке земли

        23.1. Метод капитализации чистого операционного дохода, приходящегося на землю, заключается в определении дохода от использования сельскохозяйственных угодий и его последующей капитализации. В данном случае чистый операционный доход рассматривается в качестве земельной ренты.

        23.2. Чистый операционный доход рассчитывается как разность между валовым доходом от выращивания наиболее распространенных (товарных) культур и издержками на их производство в расчете на единицу площади.

        23.3. Валовой доход определяется на основе показателя средней урожайности, сложившейся в типичных хозяйствах на почвах аналогичного качества при применении наиболее распространенной агротехники, то есть, на основании данных об урожайности за последние годы при среднем уровне интенсивности земледелия.

        23.4. В качестве цен используются средние цены реализации единицы продукции ведущей культуры или усредненная цена по группам однородных культур на наиболее доступных рынках сбыта, то есть в ближайших местах реализации сельскохозяйственной продукции.

        23.5. Если в оцениваемом хозяйстве товарными культурами являются несколько культур, то земельную ренту целесообразно определять как величину средневзвешенную из чистых операционных доходов, полученных от разных культур. В качестве весовых коэффициентов можно использовать долю площади, занятой каждой культурой в общей площади пашни при оптимальной структуре посевных площадей и сложившейся системе севооборота.

        23.6. Оптимальная структура посевных площадей, определяемая наиболее типичным севооборотом для данной местности, является аналогом принципа наиболее эффективного использования земли в сельском хозяйстве.

        23.7. Доход также может быть определен в среднем за несколько лет в соответствии со сменой выращиваемых культур. Например, в течение трех лет поле было занято зерновыми, а один год – паром, тогда среднегодовой доход будет определяться суммой доходов за три года, отнесенной к четырехлетнему периоду.

        23.8. Культуру можно считать основной, если в структуре товарной продукции растениеводства она занимает не менее 70 процентов.

        23.9. При определении затрат можно пользоваться имеющимися в хозяйствах данными о себестоимости продукции растениеводства (животноводства) с последующей их корректировкой на прибыль предпринимателя и возмещение основных фондов, рассчитанное на основе оценки их рыночной стоимости и экономического срока жизни.

        23.10. Ниже приведен пример расчета стоимости пашни при наличии 2-х товарных культур (пшеницы и ячменя) и пятипольном севообороте.

        Пример:

        Средняя урожайность пшеницы

        30 ц/га

        Средняя урожайность ячменя

        20 ц/га

        Средняя цена реализации пшеницы

        220 руб./ц

        Средняя цена реализации ячменя

        160 руб./ц

        Себестоимость производства пшеницы

        150 руб./ ц

        Себестоимость производства ячменя

        130 руб./ ц

        Чистый операционный доход от пшеницы =

        30?(220-150)=2100 руб./ га

        Чистый операционный доход от ячменя =

        20?(160-130)=600 руб./ га

        Пятипольный севооборот: 3 года - пшеница, 1 год - ячмень, 1 год - пар

        Средневзвешенный доход от пашни =

        (2100?3+600?1+0?1):5=1380 руб./га

        Коэффициент капитализации

        0,1

        Стоимость пашни =

        1380 : 0,1 = 13800 руб./га

        Метод прямой капитализации в доходном подходе оценки недвижимости

        Метод прямой капитализации применяется, когда денежный поток от объекта недвижимости будет носить стабильный постоянный характер. Данное условие будет выполняться, если объект расположен в удачном месте, выведен на рынок и успешно функционирует, не требует в ближайшие годы капитальных вложений.

        Последовательность определения стоимости по методу прямой капитализации:

        1. изучение условий арендных отношений;

        2. составление реконструированного отчета о доходах и расходах для определения чистого операционного дохода (ЧОД);

        3. расчет ставки капитализации;

        4. определение стоимости по доходному подходу по формуле.

        (48)

        где – стоимость, расчитанная по методу прямой капитализации;

        –величина ожидаемого чистого операционного годового дохода (ЧОД).

        –ставка (коэффициент) капитализации.

        При этом особое внимание следует уделить составлению отчета о доходах и расходах. Структура отчета о доходах и расходах:

        1. Потенциальный валовой доход PGI (potential gross income) – это доход, приносимый недвижимостью при 100%-й загрузке площадей, предназначен­ных для сдачи в аренду, до вычета эксплуатационных затрат.

        2. Действительный валовой доход EGI (effective gross income) – это потенциальный ва­ловой доход, уменьшенный на недозагрузку объекта недвижимости, недосбор платежей V&L (vacancy allowance and) и увеличенный на прочие доходы.

        3. Операционные расходы OE (operating expense) – это периодические ежегодные расходы на содержание недвижимости, непосредственно свя­занные с получением действительного валового дохода. Опера­ционные расходы состоят из постоянных и переменных расхо­дов и расходов по формированию фонда замещения.

        Постоянные операционные расходы не зависят от коэффици­ента недозагрузки площадей и включают налоги на имущество, страховые отчисления, некоторые элементы переменных расхо­дов, которые фактически являются постоянными.

        Переменные операционные расходы – это периодические ежегодные расходы, величина которых зависит от загрузки площадей. Наиболее типичны переменные расходы:

        • коммунальные;

        • на текущие ремонтные работы;

        • заработную плату обслуживающего персонала;

        • налоги на заработную плату;

        • на пожарную охрану и обеспечение безопасности;

        • на рекламу и заключение арендных договоров;

        • на консультации и юридическое обслуживание;

        • на управление.

        Отчисления в фонд замещения необходимы, поскольку владельцу приходится заменять элементы здания, узлы и обо­рудование, срок жизни которых короче, чем срок экономиче­ской жизни здания. Эти замены требуют значительных едино­временных денежных затрат. Стабилизация подобных расхо­дов осуществляется через создание фонда возмещения путем ежегодных отчислений. В качестве исходного значения могут служить нормы амортизационных отчислений в зависимости от типа здания и его конструктивных элементов.

        1. Чистый операционный годовой доход NOI (net operating income) равен действительному валовому доходу за вычетом операционных расходов за год. Это чистый доход на всю сумму физических, или финансовых, или правовых интересов.

        2. Доход на собственные средства BTCF (before-tax cash flow) равен чистому операционному годовому доходу за вычетом ежегодного обслуживания долга DS (debt service) или дохода, который приходится на заемные средства (доход на собственные средства необходим при определении инвестиционной стоимости).

        Пример определения стоимости по доходному подходу (метод прямой капитализации)

        Исходные данные: объект оценки – встроенное помещение магазина (IIгруппы капитальности), расположенного в центральной части города. Его местоположение предполагает стабильный поток средств, поэтому для определения стоимости по доходному подходу используем метод прямой капитализации. При получении задания на оценку был предоставлен договор аренды на объект недвижимости. Изучив договор аренды, оценщик пришел к выводу, что контрактная арендная ставка совпадает с рыночной, поэтому в расчет принимаем арендную ставку по контракту.

        1. Расчет потенциального валового дохода (ПВД) на основе арендной ставки по различным помещениям магазина:

        Таблица 44

        Метод прямой капитализации в оценке объектов недвижимого имущества

        Метод прямой капитализации применяется, когда денежный поток от объекта недвижимости будет носить стабильный постоянный характер. Данное условие будет выполняться, если объект расположен в удачном месте, выведен на рынок и успешно функционирует, не требует в ближайшие годы капитальных вложений.

        Последовательность определения стоимости по методу прямой капитализации:

        1. изучение условий арендных отношений;

        2. составление реконструированного отчета о доходах и расходах для определения чистого операционного дохода (ЧОД);

        3. расчет ставки капитализации;

        4. определение стоимости по доходному подходу по формуле.

        (48)

        где – стоимость, расчитанная по методу прямой капитализации;

        –величина ожидаемого чистого операционного годового дохода (ЧОД).

        –ставка (коэффициент) капитализации.

        При этом особое внимание следует уделить составлению отчета о доходах и расходах. Структура отчета о доходах и расходах:

        1. Потенциальный валовой доход PGI (potential gross income) – это доход, приносимый недвижимостью при 100%-й загрузке площадей, предназначен­ных для сдачи в аренду, до вычета эксплуатационных затрат.

        2. Действительный валовой доход EGI (effective gross income) – это потенциальный ва­ловой доход, уменьшенный на недозагрузку объекта недвижимости, недосбор платежей V&L (vacancy allowance and) и увеличенный на прочие доходы.

        3. Операционные расходы OE (operating expense) – это периодические ежегодные расходы на содержание недвижимости, непосредственно свя­занные с получением действительного валового дохода. Опера­ционные расходы состоят из постоянных и переменных расхо­дов и расходов по формированию фонда замещения.

        Постоянные операционные расходы не зависят от коэффици­ента недозагрузки площадей и включают налоги на имущество, страховые отчисления, некоторые элементы переменных расхо­дов, которые фактически являются постоянными.

        Переменные операционные расходы – это периодические ежегодные расходы, величина которых зависит от загрузки площадей. Наиболее типичны переменные расходы:

        • коммунальные;

        • на текущие ремонтные работы;

        • заработную плату обслуживающего персонала;

        • налоги на заработную плату;

        • на пожарную охрану и обеспечение безопасности;

        • на рекламу и заключение арендных договоров;

        • на консультации и юридическое обслуживание;

        • на управление.

        Отчисления в фонд замещения необходимы, поскольку владельцу приходится заменять элементы здания, узлы и обо­рудование, срок жизни которых короче, чем срок экономиче­ской жизни здания. Эти замены требуют значительных едино­временных денежных затрат. Стабилизация подобных расхо­дов осуществляется через создание фонда возмещения путем ежегодных отчислений. В качестве исходного значения могут служить нормы амортизационных отчислений в зависимости от типа здания и его конструктивных элементов.

        1. Чистый операционный годовой доход NOI (net operating income) равен действительному валовому доходу за вычетом операционных расходов за год. Это чистый доход на всю сумму физических, или финансовых, или правовых интересов.

        2. Доход на собственные средства BTCF (before-tax cash flow) равен чистому операционному годовому доходу за вычетом ежегодного обслуживания долга DS (debt service) или дохода, который приходится на заемные средства (доход на собственные средства необходим при определении инвестиционной стоимости).

        Пример определения стоимости по доходному подходу (метод прямой капитализации)

        Исходные данные: объект оценки – встроенное помещение магазина (IIгруппы капитальности), расположенного в центральной части города. Его местоположение предполагает стабильный поток средств, поэтому для определения стоимости по доходному подходу используем метод прямой капитализации. При получении задания на оценку был предоставлен договор аренды на объект недвижимости. Изучив договор аренды, оценщик пришел к выводу, что контрактная арендная ставка совпадает с рыночной, поэтому в расчет принимаем арендную ставку по контракту.

        1. Расчет потенциального валового дохода (ПВД) на основе арендной ставки по различным помещениям магазина:

        Таблица 44

        Метод капитализации при оценке бизнеса (предприятия) - область применения, сущность, достоинства и его недостатки

      • Оценка стоимости предприятия методом дисконтирования денежных доходов.

      • Выявление и расчет величин рисков.

      • Оценка стоимости предприятия методом ликвидационной стоимости.

      • Оценка стоимости предприятия методом сделок.

      • Оценка стоимости неконтрольного пакета акций методом компаний-аналогов.

      • Понятия о трансформации и нормализации бухгалтерской отчетности.

      • Виды стоимости в оценке бизнеса.

      • Факторы, влияющие на рыночную стоимость предприятия.

      • Влияние риска и стоимость капитала.

      • Список литературы:

        Основная литература:

        1. Егерев, И. А. Стоимость бизнеса [Текст] : учебное пособие / И.А. Егерев. – М. : Дело, 2003. – 480 с.

        2. Есипов, В.Е. Оценка бизнеса [Текст] : учебное пособие / В.Е. Есипов, Г.А. Маховикова, В.В. Терехова. – 2-е изд. – СПб. : Питер, 2007. – 464 с.: ил.

        3. Есипов, В.Е. Оценка бизнеса: Полное практическое руководство [Текст] : учебное пособие / В.Е. Есипов, Г.А. Маховикова, С.К. Мирзажанов. – М. : Эксмо, 2008. – 352 с.

        4. Оценка бизнеса : учебник / под ред. А.Г. Грязновой. – М. : Финансы и статистика, 2002. – 512 с. : ил.

        5. Оценка бизнеса [Текст] : учебник / под ред. А.Г. Грязновой, М.А. Федотовой. – 2-е изд., перераб. и доп. – М. : Финансы и статистика, 2007. – 736 с.

        6. Попков, В.П. Оценка бизнеса [Текст] : учебное пособие / В.П. Попков, Е.В. Евстафьева. – СПб. : Питер, 2007. – 240 с.

        7. Симионова, Н.Е. Оценка бизнеса [Текст] : теория и практика : учебное пособие / Н.Е. Симионова, Р.Ю. Симионов. – Ростов н/Д. : Феникс, 2007. – 576 с.

        8. Симионова, Н.Е. Оценка бизнеса [Текст] : учебное пособие / Н.Е. Симионова, Р.Ю. Симионов. – Ростов н/Д. : Феникс, 2007. – 576 с.

        9. Симионова, Н.Е. Оценка стоимости предприятия (бизнеса) [Текст] : учебное пособие / Н.Е. Симионова, Р.Ю. Симионов. – М. : МарТ, 2004. – 464 с.

        10. Сычева, Г.И. Оценка стоимости предприятия (бизнеса) [Текст] : учебное пособие / Г.И. Сычев, Е.Б. Колбачев, В.А. Сычев. – Ростов н/Д. : Феникс, 2003. – 384 с.

        11. Федотова, М.А. Оценка недвижимости и бизнеса [Текст] : учебник / М.А. Федотова, Э.А. Уткин. – М. : ЭКМОС, 2002. – 352 с.

        12. Шведова, Н.Ю. Оценка бизнеса [Текст] : учебное пособие / Н.Ю. Шведова. – СПб. : СПбГИЭУ, 2008. – 119 с.

        Дополнительная литература:

        1. Андреев, Г. Практикум по оценке [Текст] : пособие / Г. Андреев. – М., 2002.

        2. Есипова, В.Е. Тесты и задачи по оценочной деятельности [Текст] : учебное пособие / В.Е. Есипова, Г.А. Маховикова, В.В. Терехова. – СПб. : Питер, 2002.

        3. Смирницкий, Е.К. Экономические показатели бизнеса [Текст] : методическое пособие / Е.К. Смирницкий. – М. : Экзамен, 2002. – 512 с.

        4. Соловьев, М.М. Оценочная деятельность (Оценка недвижимости) [Текст] : учебное пособие / М.М. Соловьев. – М. : ГУ ВШЭ, 2002. – 224 с.

        Оценка объекта недвижимости методом капитализации дохода

        Этот метод основан на том, что оценщик измеряет текущую стоимость будущих выгод от владения недвижимым имуществом. Потоки дохода в период владения и выручка от последующей перепродажи недвижимости (реверсия) капитализируются (конвертируются) в текущую стоимость.

        Анализ доходов

        Предполагается, что данный объект оценки будет сдан в аренду на условиях рыночной арендной платы сроком на 5 лет. Для аналогичных объектов на рынке установилась месячная арендная плата в 30-50 руб. за квадратный метр площади. Для расчетов принимаем среднюю величину в 40 руб. за 1 кв.м. в месяц. В связи с инфляцией принимаем, что арендная плате будет увеличиваться на 10% в год в течение второго и третьего года и на 5% в течение четвертого и пятого годов.

        Текущую стоимость потока доходов можно определить как сумму доходов каждого года, приведенных к текущему моменту:

        ТС= П1+П2+П3+П4+П5

        Приведение доходов к текущему моменту производится по следующей формуле:

        Пi = (Сарi – Сзсi) * ТСЕi,

        где Capi - арендная плата в году i;

        Сзсi - затраты содержания в году i.

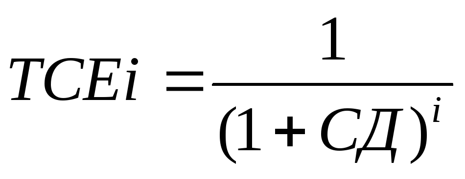
        TCEi - текущая стоимость единицы для года i, рассчитывается по следующей формуле:

        где СД - ставка дисконтирования за год;

        i - количество лет.

        Величина ставки дисконтирования СД отражает возможность альтернативного вложения капитала. В наших условиях это ставка по депозитам высоконадежного банковского вклада - 25-30%. Принимаем СД равной 30%, что соответствует максимально возможной стоимости гаража.

        Вторым источником дохода является продажа этого гаража по истечении 5 лет (реверсия). Для определения возможной стоимости реверсии, воспользуемся следующей формулой:

        Доход от аренды берется по шестому году.

        Ставка возвратной капитализации в данном случае показывает, во сколько раз стоимость имущества превышает приносимый годовой доход. Для торговых помещений, представленных на рынке, эта ставка равна 5-10%.

        После получения стоимости реверсии ее необходимо так же, как и доходы от аренды, привести к текущему моменту. Для этого воспользуемся следующей формулой:

        ТСрев = Срев*ТСЕ5,

        где Срев - стоимость реверсии,

        ТСЕ5 - текущая стоимость единицы для пятого года.

        Анализ расходов

        Затраты на содержание гаража составляют 50300 рублей, в том числе налог на имущество – 24000 рублей, то есть в размере 2% от остаточной восстановительной стоимости объекта. Принимаем, что затраты на содержание магазина будут расти, как и арендная плата: на 10% в течение второго и третьего годов и на 5% в течение четвертого и пятого годов.

        Необходимо отметить, что для использования здания магазина как недвижимости, приносящей доход, ни ремонта, ни реконструкции производить не требуется.

        Исходя из принятых выше условий, проведем анализ потока дохода за 5 лет аренды. Этот анализ целесообразно представить в табличной форме.(табл.7)

        Общая стоимость объекта определяется как сумма текущей стоимости потока доходов от аренды и дохода от продажи гаража (реверсии).

        Таким образом, стоимость здания магазина, как объекта приносящего доход, составляет 1126871 рубль или округленно 1127000 рублей.

        Оценка ожидаемого годового чистого операционного дохода от недвижимости

        Потенциальный валовой доход (ПВД) – потенциальный доход, получаемый собственником объекта недвижимости при 100%-ном использовании объекта без учета потерь и расходов.

        ПВД определяется по следующей формуле для объекта недвижимости:

        ПВД = S • Сар, (4.2)

        где S – площадь, сдаваемая в аренду, м2;

        Сар – рыночная арендная ставка за 1 м2 в год.

        Действительный валовой доход (ДВД) – это доход от объекта недвижимости, который будет в действительности получен собственником объекта недвижимости, т.е. потенциальный валовой доход за вычетом потерь от недоиспользования площадей и при сборе арендной платы:

        ДВД = ПВД – Потери . (4.3)

        или

        ДВД = ПВД ?(1 – Кндз)?(1 – Кн ар), (4.4)

        где Кндз - коэффициент потерь от недозагрузки объекта (например, часть площадей, которая не будет сдана в аренду);

        Кн ар - коэффициент потерь от недосбора арендных платежей по объекту.

        Чистый операционный доход (сокращенно NOI или ЧОД) – годовой действительный валовой доход за минусом годовых операционных расходов (ОР).

        ЧОД = ДВД – ОР. (4.5)

        Операционные расходы – это действительные расходы собственника, необходимые для обеспечения нормального функционирования объекта недвижимости и воспроизводства действительного валового дохода от объекта недвижимости.

        Операционные расходы принято делить на:

        • условно-постоянные;

        • условно-переменные, или эксплуатационные;

        • расходы на замещение, или резервы.

        Таблица 4.1. Пример расчета чистого операционного дохода

        Показатели

        Определение величины

        показателя

        1.

        Базовая площадь помещений, кв. м

        450

        2.

        Площадь помещений, сдаваемая в аренду (S), кв. м

        410

        3.

        Рыночная арендная плата (Сар), включая НДС, руб./кв.м. в год

        7000

        4.

        Потенциальный валовой доход, руб. в год

        ПВД = S • Сар,

        ПВД = 410•7000 =

        =2 870 000

        5.

        Коэффициент потерь от недозагрузки арендных площадей и неуплаты арендной платы, (Кп ), % от ПВД

        7,5

        6.

        Действительный валовой доход, руб. в год

        ДВД=ПВД?(1–Кп)

        ДВД=2870000?(1–0,075)= =2 654 750

        7.

        Операционные расходы, руб. в год

        929 230

        7.1.

        Условно-постоянные расходы, руб. в год

        236 530

        7.1.1.

        налог на имущество, руб. в год

        56 000

        7.1.2.

        налог на землю, руб. в год

        15 530

        7.1.3.

        страховые взносы, руб. в год

        45 000

        7.1.4.

        заработная плата обслуживающего персонала, руб. в год

        120 000

        7.2.

        Условно-переменные расходы, руб. в год

        580 700

        7.2.1.

        коммунальные расходы, руб. в год

        56 000

        7.2.2.

        расходы на содержание территории, руб. в год

        16 000

        7.2.3.

        на текущие ремонтные работы, руб. в год

        48 000

        7.2.3.

        заработная плата обслуживающего персонала, руб. в год

        200 000

        7.2.4.

        расходы на управление, руб. в год

        132 700

        7.2.5.

        прочие расходы, руб. в год

        128 000

        7.3.

        Расходы на замещение, руб. в год

        112 000

        8.

        Чистый операционный доход, руб. в год

        ЧОД=ДВД – ОР

        ЧОД=2 654 750–929 230=

        = 1 725 520

        Оценка стоимости недвижимости методом капитализации

        Базовая формула расчета стоимости в данном методе имеет следующий вид:

        (4.1.)

        где V – стоимость объекта недвижимости (от англ. Value - стоимость);

        R – ставка капитализации (от англ. Rate – ставка, иногда используют понятие «коэффициент капитализации», которое является синонимом);

        NOI – чистый операционный доход (от англ. Net Operational Incomе, также используется русская аббревиатура ЧОД).

        Алгоритм метода капитализации:

        1) определение ожидаемого годового (или среднегодового) чистого операционного дохода объекта недвижимости при его наиболее эффективном использовании;

        2) определение ставки капитализации;

        3) определение стоимости объекта недвижимости.

        Преимущества метода капитализации при оценке бизнеса предприятия:

        простота расчетов;

        метод прямой капитализации в конечном счете непосредственно отражает рыночную конъюнктуру. Это связано с тем, что при его применении, как правило, берется достаточно большое количество сделок с недвижимостью и проводится их анализ с точки зрения дохода и стоимости.

        Расчет коэффициента капитализации для оценки недвижимости доходным подходом

        Аналог, местоположение

        Цена предложения, V, руб.

        Предполагаемый чистый операционный доход, NOI, руб./год

        Коэффициент капитализации, R

        1.

        2.

        3.

        Среднеарифметическое значение коэффициента капитализации, R

        5. Расчет рыночной стоимости объекта недвижимости. Определение рыночной стоимости объекта недвижимости методом капитализации дохода осуществляется по следующей формуле:

        (20)

        где NOI – чистый операционный доход от квартиры, руб./год;

        V – рыночная стоимость квартиры, руб.;

        R– коэффициент капитализации.

        Результаты расчета сводятся в табл. 16.

        Таблица 16

        Расчет нормы возврата в составе ставки капитализации при оценке недвижимости

        Норма возврата фактически переводит темп прироста стоимости за n лет в годовое измерение.

        Существуют три способа расчета нормы возврата капитала (r1):

        • прямолинейный возврат капитала (метод Ринга);

        • возврат капитала по фонду возмещения и ставке дохода на инвестиции (метод Инвуда), его иногда называют аннуитетным методом;

        • возврат капитала по фонду возмещения и безрисковой ставке процента (метод Хоскольда).

        Условия применения метода капитализации :

        когда имеется достаточное количество данных для оценки дохода,

        для стационарных ДП в прошлом, настоящем и будущем,

        ДП д.б. положительны, устойчивы, иметь тенденцию к росту в прошлом, настоящем и будущем.

        Применяется для оценки устойчивого бизнеса в области производства и услуг, имеющих постоянный спрос и если не ожидается потрясений в будущем.

        Список литературы и источников на тему "Капитализация в оценке стоимости"

        1. ТЕСТЫ экономико-правовые
        2. ОЦЕНКА НЕДВИЖИМОСТИ
        3. ОЦЕНКА ЗЕМЛИ
        4. ОЦЕНКА Машин и оборудования
        5. ОЦЕНКА НМА и ИС
        6. ОЦЕНКА ПРЕДПРИЯТИЯ
        7. ОЦЕНКА Ценных бумаг
        8. ОЦЕНКА Финансовых институтов

         Полный комплект решенных тестов и практикумов по оценке для курсов оценщиков умц
         Полный комплект контрольных по оценке для НИУД

        Другие похожие работы





        © 2002 - 2026 RefMag.ru