147
Индекс и темп роста инфляции в финансовой математике
Инфляция проявляется в падении реальной покупательной
способности денег и общим повышением уровня цен внутри страны. Поэтому ее
необходимо учитывать при проведении среднесрочных и особенно долгосрочных
финансовых операций. Интенсивность инфляции измеряется числовыми показателями,
характеризующими среднее изменение уровня цен для некоторого фиксированного
набора (корзины) товаров и услуг за определенный период времени.
Пусть выбран определенный набор товаров и услуг, и пусть за
фиксированный период времени Т его стоимость изменилась от суммы Х0
до суммы ХT.
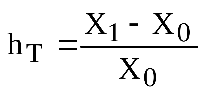
Определение. Индексом инфляции (индексом цен)
за период Т называется величина
(28)
а темпом инфляции за этот период называется
величина
(29)
Индекс инфляции НT показывает, во сколько
раз выросли цены за рассматриваемый период. Темп инфляции hT
часто измеряется в процентах, при этом он показывает, на сколько
процентов выросли цены за рассматриваемый период. Из определений индекса и
темпа инфляции следует связь между этими показателями:
НТ=1+hТ (30)
Предположим, что период времени Т делится на части
Т1, Т2,...,Тn, и известны индексы инфляции
H1, H2,..., Hn, измеренные за эти частичные
периоды. Тогда индекс инфляции НT на всем интервале времени Т равен
произведению индексов инфляции на каждом из частичных интервалов
Тk:
НТ=Н1·Н2·...·Нn (31)
Это важное соотношение иногда удобно использовать в другой
форме. Пусть hk - темп инфляции на частичном интервале времени
Tk, тогда Нk = 1+hk, и формулу (31) можно
записать так:
HT=(1+h1) (1 +
h2)…(1+hk) (32)
В частности, если h1 = h2 =... =
hn = h , то HT = (1+h)n.
Пример. Найдем индекс и темп инфляции за год, если
среднемесячный темп инфляции hмес. равен 3%:
Hгод = (1+hмес)12 =
(1+0,03)12= 1,426;
hмес =Нгод -1 = 1,426-1= 0,426 =
42,6%,
Инфляционная корректировка отчетности в процессе оценки стоимости предприятия бизнеса
Целью инфляционной корректировки документации являются приведение
ретроспективной информации за прошедшие периоды к сопоставимому виду; учет
инфляционного изменения цен при составлении прогнозов денежных потоков и
ставок дисконта.
Простейшим способом корректировки является переоценка всех статей баланса по
изменению курса рубля относительно курса более стабильной валюты, например
американского доллара.
Пример. Оборудование было приобретено в 2013 г. за 1 млн руб. ( курс
рубля по отношению к доллару на дату приобретения 35 : 1).
На дату оценки курс рубля к доллару составлял 36 :1, следовательно,
скорректированная стоимость покупки оборудования в 2014 г. составляла:
36:35 • 1 000000 = 1 028600 руб., или 28572,2 долл.
Этот способ имеет свои достоинства и недостатки. Главное достоинство -
простота и возможность работы без большого объема дополнительной
информации. С другой стороны, корректировка по курсу валюты дает
неточные результаты в силу того, что курсовые соотношения рубля и доллара
не совпадают с их реальной покупательной способностью.
Более точной является переоценка статей актива и пассива баланса по
колебаниям уровней товарных цен. Она может быть ориентирована как на товарную
массу в целом, так и на каждый конкретный товар или товарную группу.
Распространенным методом освобождения финансовой отчетности от инфляции
являетсяметод учета изменения общего уровня цен.
Использование данного метода позволяет абстрагироваться от
материально-вещественной структуры активов предприятия и делать упор на
общей оценке всего имущества с учетом покупательной способности
денежной единицы и ее колебаний во времени, отражающих изменение среднего
уровня цен. Этот метод заключается в том, что различные статьи финансовых
отчетов рассчитываются в денежных единицах одинаковой покупательной силы (в
рублях базового или текущего периода на отчетную дату). Для пересчетов
используется либо индекс динамики валового национального продукта, либо индекс
потребительских или оптовых цен. Универсальная формула пересчета статей баланса
и финансовых отчетов в денежные единицы одинаковой покупательной силы имеет
следующий вид:
=
Где: Вп - реальная величина статьи,
скорректированной по уровню инфляции, руб.;
В6 - номинальная величина статьи по данным
бухгалтерского учета и отчетности, руб.;
ii- индекс инфляции на момент или за период
анализа;
i0 - индекс инфляции в базовом периоде или на
начальную дату отслеживания величины статьи баланса.
Инфляционной корректировке по индексамi :
iQ должны подвергаться лишь так называемые не
денежные статьи: основные средства (в том числе нематериальные активы),
производственные запасы, незавершенное производство, готовая продукция,
малоценные и быстроизнашивающиеся предметы, обязательства, которые должны
быть погашены поставкой определенных товаров и (или) оказанием определенных
услуг. Напротив, денежные статьи (денежные средства, дебиторская и кредиторская
задолженность, кредиты, займы, депозиты, финансовые вложения) независимо от
изменения общего уровня цен инфляционной корректировке не подлежат. В
данном случае речь не идет о нормализующих корректировках отчетности в
процессе оценки.
На практике пересчет по индексу изменения общего уровня цен
осуществляется в несколько этапов. На первом - составляют финансовую
отчетность в учетных ценах, т.е. с использованием первоначальных оценок. На
втором - проводят классификацию всех статей отчетности на денежные и неденежные.
На третьем - денежные статьи пересчитываются по текущим ценам с помощью общих
индексов цен, взятых по годам приобретения активов (возникновения
обязательств). Баланс по активу и пассиву достигается регулированием статьи
«Нераспределенная прибыль». На четвертом этапе составляют переоцененную
отчетность и рассчитывают прибыль (убыток) от изменения покупательной
способности денежной единицы в отчетном периоде. Сам показатель изменения
покупательной способности денежной единицы определяют с помощью общего индекса
цен путем пересчета денежных активов и обязательств на начало и конец года
и последующего их сравнения.
Оценка не денежных активов (обязательств) в денежных единицах одинаковой
покупательной силы осуществляется следующим образом. Все активы
группируются по годам их приобретения (возникновения). Для каждого года
стоимостная оценка группы объектов пересчитывается с использованием
индексов цен текущего года и года приобретения объектов, а затем результаты
суммируются. Механизм пересчета не денежных статей баланса можно выразить
формулой
=
где Ру - оценка всех активов в денежных единицах
одинаковой покупательной способности, руб.;
Р iп - цена приобретения i-ro актива,
руб.;
i ?- общий текущий индекс цен;
i ip- общий индекс цен в год приобретения i-ro
объекта.
Пример. Определение скорректированной величины основных средств.
Оборудование было приобретено в 1975 г. за 50000 руб.; индекс цен в год
приобретения - 116,3; текущий индекс цен - 339,6. Скорректированная
стоимость оборудования в сопоставимых ценах составит в текущем году:
50 000-339,6: 116,3 = 146 002 руб..
Метод корректировки финансовых отчетов по изменению общего уровня цен
повышает реалистичность анализа, позволяет достаточно точно установить
размеры дополнительной прибыли или убытка, возникающих у предприятия в
связи с изменением покупательной способности денег. Однако данный метод не
учитывает разную степень изменения стоимости отдельных активов.
Таким образом, анализируя внешние условия функционирования фирмы
(предприятия), оценщик ставит своей целью:
-
описание инвестиционного климата в стране и отрасли на период,
приближенный к дате оценки и на прогнозируемый период;
-
проводит внешние маркетинговые исследования, объясняющие условия
сбыта продукции и динамики спроса на нее;
-
на основе анализа внешней информации оценщик определяет степень (величину)
систематического и отраслевого рисков, которые учитываются при расчете
ставок дисконта, рыночных мультипликаторов, коэффициента капитализации и
определении итоговой величины стоимости предприятия.
Инфляция в финансовой математике
За три месяца стоимость условной потребительской корзины изменилась от
(620+ав) рублей до (680+ ав) рублей. Определите: а) индекс потребительских цен
за три месяца;
б) среднемесячный индекс потребительских цен; в) темп инфляции за три месяца;
г) среднемесячный темп инфляции.
5. Замена и консолидация платежей.
Платежи в (6+а) тыс. руб., (4+а) тыс. руб., и (10+а) тыс.руб. должны быть
погашены соответственно через 90, 165, и 270 дней. Кредитор и должник
согласились заменить три платежа одним через 120 дней. Найдите величину
консолидированного платежа, если используется простая процентная ставка 25%
годовых и в расчет принимается простая процентная ставка.
Методы учета инфляции в финансовых расчетах в финансовой математике

Владельцы денег не могут мириться с их обесцениванием в результате инфляции и
предпринимают различные попытки компенсации потерь от снижения их покупательной
способности.
Наиболее распространенным методом является индексация ставки процентов, по
которой производится наращение, поскольку:
-
если уровень инфляции равен ставке начисляемых процентов (? =
i), то реального роста денежных сумм не будет, т.к. наращение будет
полностью поглощаться инфляцией;
-
если уровень инфляции выше уровня процентной ставки (? >
i),то происходит "проедание" капитала, и реальная наращенная сумма
будет меньше первоначальной денежной суммы;
-
если уровень инфляции ниже процентной ставки (? <
i), то это будет соответствовать росту реальной денежной суммы.
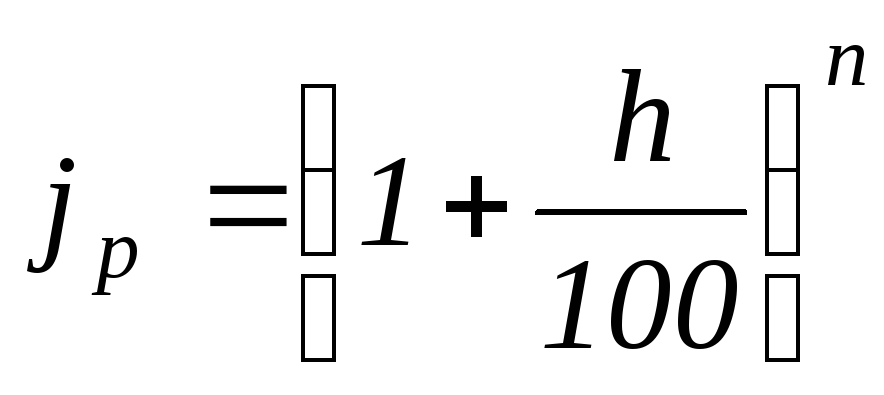
В связи с этим вводится понятие номинальная ставка процента,
т.е. ставки с поправкой на инфляцию ( i? ).
Общая формула для определения простой ставки процентов, компенсирующей
ожидаемую инфляцию, имеет следующий вид:
i? = [(1 + n i) •
J? - 1] : n
где i – простая ставка процентов, характеризующая требуемую реальную
доходность финансовой операции (нетто-ставка);
i? – процентная ставка с поправкой на инфляцию.
Пример. Банк выдал клиенту кредит на один год в размере 20
тыс. руб. по ставке 6% годовых. Уровень инфляции за год составил 18%. Определить
с учетом инфляции реальную ставку процентов по кредиту, погашаемую сумму и сумму
процентов за кредит.
Решение:
Номинальная наращенная сумма
FV = PV(1 + n i) = 20'000 (1 + 0,06) =
21'200,00 руб.
Номинальные начисленные проценты
I = FV - PV = 21'200 - 20'000 = 1'200,00 руб.
Реальная наращенная сумма
FV? = FV / (1 + ? ) =
21'200 / 1,18 = 17'966,10 руб.
Реальные проценты
I? =
FV? - PV = 17'966,10 - 20'000 = -2'033,90
руб.
Таким образом, получен убыток от данной финансовой операции в размере
2'033,90 руб.
Ставка по кредиту с учетом инфляции должна быть равна
i? = [(1 + n i) •
I? - 1] : n = (1,06 • 1,18 - 1) / 1 = 0,2508
Наращенная сумма
FV = PV(1 + n i) = 20'000 (1 + 0,2508) =
25'016,00 руб.
Доход банка
I = FV - PV = 25'016 - 20'000 = 5'016,00 руб.
Реальный доход банка
I? =
FV? - PV = 25'016 / 1,18 - 20'000 = 1'200,00
руб.
Реальная доходность финансовой операции
i = I? / PV = 1'200 /
20'000 = 0,06
Таким образом, чтобы обеспечить доходность в размере 6% годовых, ставка по
кредиту с учетом инфляции должна соответствовать 25,1% годовым.
Годовая ставка сложных процентов, обеспечивающая реальную доходность
кредитной операции, определяется по формуле
i? = i + ? + i?
Пример. Определить номинальную ставку процентов для
финансовой операции, если уровень эффективности должен составлять 7% годовых, а
годовой уровень инфляции 22%.
Решение:
Процентная ставка с учетом инфляции
i? = i + ? + i? = 0,07 +
0,22 + 0,07 • 0,22 = 0,3054.
Таким образом, номинальная ставка составляет 30,54% при реальной ставке
7%.
Для расчета номинальной ставки можно использовать следующую модель:
|

|
|
, |
из которой можно сравнивать уровни процентной ставки и инфляции, проводить
анализ эффективности вложений и устанавливать реальный прирост вложенного
капитала.
При начислении процентов несколько раз в год
Эти модели позволяют производить учет инфляции и корректировку процентных
ставок.
На практике довольно часто довольствуются сравнением i и ? путем
вычисления реальной ставки, т.е. уменьшенной ставки доходности
на уровень инфляции:
i = (i - ?) / (1 + ?)
Пример. Определить реальную ставку при
размещении средств на год под 35% годовых, если уровень инфляции за год
составляет 30%.
Решение:
Определяем реальную ставку:
i = (0,35 - 0,2) / (1 + 0,2) = 0,125
Таким образом, реальная ставка 12,5% годовых.
Модели инфляции в финансовой математике
-
Определить средний уровень инфляции за полгода, если
инфляция по месяцам составила соответственно: 5%, 10%, 15%, 20%, 20%, а за
последний месяц дефляция составила 10%.
-
На вклад 150000 руб. начисляются проценты по номинальной
ставке сложных процентов 24% с ежемесячным начислением процентов. Средний
уровень инфляции за квартал составляет 8%. Определить фактические размеры
процентных денег в течение года с ежемесячным интервалом. Вычислить
фактическую годовую ставку процента.
-
Годовой уровень инфляции составляет 20%. Ставка банка 25%
годовых. Определите фактическую годовую ставку. Вычислите эквивалентные ставки
процентов.
-
Банк принимает вклады от населения под 20% годовых. На
этих условиях на срок 3 года был положен вклад. За первый год инфляция
составила 10%, за второй – 20%, за третий – 30%. Определить изменения
относительной величины вклада в процентах.
-
Банк выдает кредиты под 30% годовых с уплатой вперед, а
сумма кредита возвращается через год. Определить реальную ставку процента
годовых с учетом инфляции, составляющей 50% в год.
-
Плотник договорился выполнить работу в течении месяца за
400 руб. и получил 25% аванс. Уровень инфляции составил 40% за месяц.
Определить в процентах от всей суммы эффективность такой операции
плотника.
-
Клиент оплатил за пользование кредитом проценты в размере
200000 руб. в момент выдачи суммы кредита 2.000.000 руб. сроком на полгода.
Среднемесячный уровень инфляции составил 2%. Определить реальную процентную
ставку банка.
-
Вкладчик намерен внести сумму 500 тыс. руб. сроком на 8
месяцев в банк, который гарантирует выплату 240% годовых по схеме простых
процентов. Ожидаемый среднемесячный темп инфляции в этом периоде составит
10%. Определить номинальную и реальную сумму вклада на момент окончания
срока, а также реальную годовую процентную ставку.
-
Кредит в размере 50 млн. руб. выдан на 2 года. Реальная
доходность операции должна составить 20% годовых по сложной ставке ссудных
процентов. Ожидаемый уровень инфляции составит 150% в год. Определить
множитель наращения, сложную ставку процентов, учитывающую инфляцию, и
наращенную сумму.
-
Инфляция за прошедший год по месяцам составила
соответственно 7,5,6,9,10,12,6,8,7,11,9,7 %. Определить средний ежемесячный
темп инфляции, общий уровень инфляции за год. Определить на сколько процентов
возросли цены с 01.01. на 01.04. Во сколько раз возросли цены на 01.11 по
отношению к ценам на 01.02.? На сколько процентов цены на 01.06 будут ниже цен
на 01.10.?
Налоги и инфляция в финансовой математике
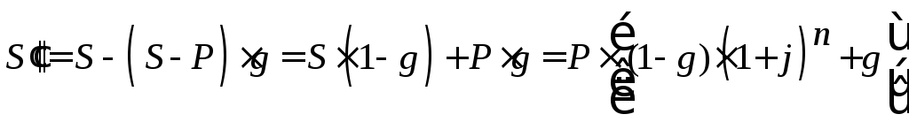
Налоги на полученные проценты.
При начислении простых процентов
. (49)
где
- реально наращенная сумма, g – ставка
налога на %.
В долгосрочных операциях при начислении налога на сложные %
возможны следующие варианты: налог начисляется на весь срок сразу или
последовательно в конце каждого года. В первом случае:
, (50)
Во втором случае налог определяется за каждый истекший год.
Сумма налогов за весь срок не зависит от метода начисления.
, (51)
Инфляция.
Изменение покупательской способности денег за некоторый
период измеряется с помощью индекса 
- индекс цен.
Под темпом инфляции понимается относительный прирост цен за
период (H), измеряется в %.

Например, если темп инфляции равен 130 % , то цены за
этот период выросли в 2,3 раза.
Среднегодовые темп роста цен
и темп
инфляции (h) находятся на основе величины
.
Поскольку инфляция является цепным процессом (цены в текущем
периоде, повышаются на
% относительно уровня, сложившегося в
предыдущий период), то индекс цен за несколько таких периодов равен
произведению цепных индексов цен:
;
(52)
Если h - постоянный ожидаемый (или прогнозируемый) темп
инфляции за период, то за n таких периодов получим:
,
(53)
Рассмотрим проблему обесценивания денег при их наращении. В
общем случае:
,
(54)
При наращении по простой ставке, имеем:
, (55)
Увеличение наращенной суммы с учетом сохранения покупательной
способности денег имеет место тогда, когда
.
При наращении по сложным процентам
, (56)
Если h/100 < rпроисходит малый рост. Ставка по простым
процентам , которая только компенсирует инфляцию определяется по уравнению:

Для сложных процентов
.
Ставку, превышающую
,
называютположительной ставкой процента .
Учет инфляции в финансовой математике
В современных условиях инфляция часто играет решающую роль, и
без ее учета конечные результаты представляют собой весьма условную величину. В
реальной жизни инфляция проявляется в падении покупательной способности денег и
общим уровнем повышения цен. Следовательно, ее необходимо учитывать при
проведении финансовых операций. Рассмотрим способы ее учета.
Темпы инфляции измеряются с помощью системы индексов
инфляции, которые характеризуют среднее изменение уровня цен для некоторого
фиксированного набора (корзины) товаров и услуг за определенный период времени.
Пусть стоимость корзины в момент времени t равна
S(t).
Индексом цен или индексом инфляции
JP за время от
t1 до
t2 называется безразмерная величина
JP = S( t1
) / S( t2 ),
атемпом инфляции за этот период называется
относительный прирост цен:
h =
=JP
- 1.
Отсюда индекс цен
JP = 1+
h.
Если срок рассмотрения инфляции включает в себя n
периодов, в каждом из которых средний темп инфляции равен
h, то
JP = (1+
h)n .
В случае, когда темп инфляции в i-ом
периоде равен hi , индекс инфляции за
n периодов вычисляется по формуле
JP = (1+
h1) (1+
h2)…(1+ hn).
Индекс инфляции
JP показывает
во сколько раз, а темп инфляции h - на сколько
процентов выросли цены за рассматриваемый период.
Индекс покупательной способности денег
JD равен обратной величине индекса цен:
JD = 1 / J P
= 1/ ( 1+ h).
Пример. Вы имеете сумму в 140 тыс. руб. Известно, что
за два предшествующих года цены выросли в два раза, т.е. индекс цен
JP = 2. В этом случае индекс покупательной
способности денег равен JD = 1/2. Значит,
реальная покупательная способность 140 тыс. руб. составит в момент
получения всего 140 ? 1/2 = 70 тыс. руб. в деньгах двухлетней давности.
Если h - годовой темп инфляции, то годовой
индекс цен равен 1 + h, поэтому наращенная сумма с учетом
инфляции
S и = P (
1+ i )n
= P
(13)
Очевидно, что если среднегодовой темп инфляции
h равен ставке процентов i, то
Sи =
P, т.е. роста реальной суммы не произойдет: наращение будет
поглощаться инфляцией. Если h > i
, то реальная сумма меньше первоначальной. Только в ситуации h
< i происходит реальный рост.
Пример. Постоянный темп инфляции на
уровне 10% в месяц за год приводит к росту цен в размере JP
= 1,112 = 3,14. Таким образом, годовой темп
инфляции h = JP - 1 = 2,14 или 214%.
В целях уменьшения воздействия инфляции и компенсации потерь
от снижения покупательной способности денег используется индексация процентной
ставки. При этом ставка корректируется в соответствии с темпом инфляции.
Скорректированная ставка называется брутто-ставкой.
Вычислим эту ставку, обозначив ее через r.
Если компенсируется инфляция в размере брутто-ставки
при наличии простых процентов, то величину r находим из
равенства множителей наращения:
1+ n? r = ( 1+ n ? i )
JP = ( 1+ n ? i )( 1+ h )
n ,
Отсюда
(14)
Величину брутто-ставки для наращения по сложной процентной
ставке находим из равенства (n = 1):
1+ r = ( 1+ i )( 1+ h ),
тогда
r = i + h + h?i
(15)
Формулы (14), (15) означают следующее: чтобы обеспечить
реальную доходность в i %, при темпе инфляции h нужно назначить ставку в
размере r %.
Пример. Банк выдал на 6 месяцев
кредит - 5 млн руб. Ожидаемый месячный уровень инфляции – 2 %, требуемая
реальная доходность операции равна 10 % годовых. Определите ставку процентов по
кредиту с учетом инфляции, размер наращенной суммы и величину процентного
платежа.
Решение. Индекс инфляции
JP = (1 + 0,02)6 = 1,1262. Из
(14) получим величину брутто-ставки:
r =
=0,365
(или 36,5 % ).
Размер наращенной суммы
S= P(1+ n r ) = 5 (1 + 0,5?0,365 ) = 5,9126 млн.
руб.
Величина процентного платежа ( плата за кредит )
I = 5,9126 - 5,0 = 0,9126 млн. руб.
Пример. Кредит в 1 млн. руб.
выдан на два года. Реальная доходность должна составлять 11% годовых (сложные
проценты). Расчетный уровень инфляции 16% в год. Определите ставку процента при
выдаче кредита, а также наращенную сумму.
Решение. Из формулы (15) имеем:
r = 0,11+0,16+ 0,11? 0,16 = 0,2876;
S = 1,0 ( 1 + 0,2876 )2 = 1,658 млн.
руб.
Задачи
4.1. Кредит 500 тыс. руб. выдается с 20.06.98г. по
15.09.98г. При выдаче кредита считается, что индекс цен к моменту его погашения
составит 1,3. Определите брутто-ставку и погашаемую сумму.
Ответ: R = 134% ; S R
= 658 194 руб.
4.2. Кредит в размере 5 млн руб. выдается на 3 года.
Реальная доходность операции должна составлять 3 % годовых по сложной ставке.
Расчетный уровень инфляции составляет 10% в год. Вычислите брутто-ставку и
погашаемую сумму. Ответ: R = 13,3 % ;
SкR = 7 272 098 руб.
4.3. В банк помещен вклад в сумме 100 тыс. руб. под
100 % годовых сроком на 5 лет. Ожидаемый в течение этого периода темп
инфляцииh = =50 % в год. Определите реальную сумму, которую будет иметь
клиент по истечении пяти лет: а) с учетом инфляции; б) без учета инфляции.
4.4. Какую ставку должен назначить банк, чтобы при
годовой инфляции 11% реальная доходность оказалась 6 %.
Список литературы и источников на тему "Инфляция в оценке стоимости"
- Общепрофессиональные дисциплины
- Оценка стоимости недвижимости (контрольные, тесты, практикумы, курсовые, оценка земли)
- Оценка машин и оборудования (контрольные, тесты, практикумы, курсовые)
- Оценка стоимости нематериальных активов и интеллектуальной собственности (тесты и практикумы, курсовые)
- Оценка КФИ (кредных организаций и финансовых институтов)
- Оценка ценных бумаг
- Оценка стоимости предприятия (бизнеса)
Полный комплект решенных тестов и практикумов по оценке для курсов оценщиков умцДругие похожие работы