Формулы сложных процентов
6 ФУНКЦИЙ
ДЕНЕЖНОЙ ЕДИНИЦЫ. ФОРМУЛЫ СЛОЖНЫХ ПРОЦЕНТОВ
Теория изменения стоимости денег
исходит из предположения, что деньги,
являясь специфическим товаром, со временем меняют
свою стоимость и, как правило, обесцениваются. Изменение стоимости денег
происходит под влиянием ряда факторов, важнейшими из которых можно назвать
инфляцию и способность денег приносить доход при условии их разумного
инвестирования в альтернативные проекты. Основными операциями, позволяющими
сопоставить разновременные деньги, являются операции накопления (наращивания) и
дисконтирования.
ТЕРМИНЫ И ОПРЕДЕЛЕНИЯ
Накопление
– это процесс приведения текущей стоимости денег к их будущей стоимости, при
условии, что вложенная сумма удерживается на счету в течение определенного
времени, принося периодически накапливаемый процент.
Дисконтирование
– это процесс приведения денежных поступлений от инвестиций к их текущей
стоимости.
Аннуитетные
платежи (PMT) – это серия равновеликих платежей (поступлений), отстоящих
друг от друга на один и тот же промежуток времени. Выделяют обычный и авансовый аннуитеты. Если
платежи осуществляются в конце каждого периода, то аннуитет обычный, если в
начале – авансовый.
Текущая стоимость
(PV) (англ. Present value) - исходная сумма долга
или оценка современной величины денежной суммы, поступление которой ожидается в
будущем, в пересчете на более ранний момент времени.
Будущая
стоимость (FV)(англ. Future value) - сумма
долга с начисленными процентами в конце срока.
Ставка дохода или процентная
ставка (i) (англ. Rate of interest) - является относительным показателем
эффективности вложений (норма доходности), характеризующим темп прироста
стоимости за период.
Срок погашения долга (n) (англ. Number of
periods) - интервал времени, по истечении которого сумму долга и проценты нужно
вернуть. Срок измеряется числом расчетных периодов, обычно равных по длине
(например, месяц, квартал, год), в конце которых регулярно начисляются
проценты.
Частота
накоплений в год (k)- периодичность начисления процентовоказывает влияние на величину накопления.
Чем чаще начисляются проценты, тем больше накопленная сумма.
ОБОЗНАЧЕНИЯ К ФОРМУЛАМ
FV
– будущая стоимость денежной единицы;
PV
– текущая стоимость денежной единицы;
PMT – равновеликие периодические платежи;
i
– ставка дохода или процентная ставка;
n
– число периодов накопления, в годах;
k
– частота накоплений в год.
6 ФУНКЦИЙ ДЕНЕЖНОЙ ЕДИНИЦЫ
Формула сложных процентов - 1 функция
Будущая
стоимость денежной единицы (FV) –
накопленная сумма денежной единицы. Накопленная
сумма денежной единицы показывает, какую сумму будет составлять денежная
единица, вложенная сегодня, через определенный период времени при определенной
ставке дисконта (доходности).
Начисление
процентов 1 раз в год: FV = PV* [(1+i)n] или FV = PV* кол.1
Начисление
процентов чаще, чем один раз в год: FV = PV* [(1+i/k)nk]
Формула сложных процентов - 2 функция
Текущая
стоимость денежной единицы (PV) или текущая стоимость реверсии
(перепродажи) показывает, какую сумму
нужно иметь сегодня, чтобы через определенный период времени при определенной
ставке дисконта (доходности) получить сумму, равную денежной единице, то есть
какой сумме сегодня эквивалентна денежная единица, которую мы рассчитываем
получить в будущем через определенный период времени.
Начисление процентов 1 раз в год: PV = FV * [1/(1+i)n] или PV = FV * кол.4
Начисление
процентов чаще, чем один раз в год: PV = FV * [1/(1+i/k)nk]
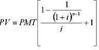
Формула сложных процентов - 3 функция
Текущая стоимость аннуитетапоказывает, какой сумме денежных средств сегодня эквивалентна
серия равномерных платежей в будущем, равных одной денежной единице, за
определенное количество периодов при определенной ставке дисконта.
Выделяют обычный и авансовый аннуитеты. Если платежи осуществляются в конце
каждого периода, то аннуитет обычный, если в начале – авансовый.
Обычный аннуитет:
Начисление процентов 1 раз в год:

Начисление
процентов чаще, чем один раз в год:

Авансовый аннуитет:

Формула сложных процентов - 4 функция
Накопление денежной единицы за период FV -
будущая
стоимость серии равновеликих периодических платежей (поступлений). Фактор
накопления единицы за период показывает, какой будет стоимость серии равных
сумм, депонированных в конце каждого периодического интервала по истечении
установленного срока.
Обычный аннуитет:

Авансовый аннуитет:

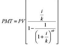
Формула сложных процентов - 5 функция
Взнос на амортизацию денежной единицы - это величина
регулярного периодического платежа в счет погашения кредита, выданного
на определенный период при процентной заданной ставке. Это величина,
обратная текущей стоимости аннуитета. Амортизация в данном случае – это
погашение (возмещение, ликвидация) долга в течение определенного времени.
Начисление процентов 1 раз в год:

Начисление процентов чаще, чем один раз в год:

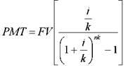
Формула сложных процентов - 6 функция
Фактор фонда возмещения - показывает
аннуитетный платеж, который необходимо депонировать под заданный процент в
конце каждого периода для того, чтобы через заданное число периодов получить
искомую сумму.
Начисление процентов 1 раз в год:

Начисление процентов чаще, чем один раз в год:

См. таблицы сложных процентов. 6 функций денежной единицы
Примеры решения задач по "Экономике недвижимости"