RefMag.ru - Оценка. Помощь в решении задач, тестов, практикумов, курсовых, аттеста­ционных

RefMag.ru - Помощь в решении в учебе

Заказать:
- заказать решение тестов и задач
- заказать помощь по курсовой
- заказать помощь по диплому
- заказать помощь по реферату

Репетитор оценщика

Готовые работы заочников

Тесты:

Задачи:

Примеры работ по оценке

Примеры курсовых работ
Примеры аттест­ационных работ
Учебные дисциплины
Литература
Заказ работ:




Экспертная и репетиторская помощь по решению тестов, задач, практикумов и всех других видов работ. Сергей.
admin@refmag.ru,

, ,

Примеры выполненных работ: | контрольные | курсовые | дипломные | отзывы |




Методические материалы:

Экономика недвижимости задача №14


Экономика недвижимости задача №14

Семья планирует за 6 лет скопить на обучение ребенка, которое сейчас стоит 3 000 000 рублей и дорожает на 8% в год. При этом за оставшийся срок семья планирует 40% от требуемой суммы скопить, ежемесячно кладя деньги в банк под 12% годовых, а на оставшуюся часть взять кредит на следующие 5 лет под 15% годовых. Сравните денежные суммы, которые семья должна класть на счет в первые годы и которые должна выплачивать банку в последующем.
 
Решение:


1. Рассчитаем стоимость обучения через 6 лет с учетом удорожания на 8% в год

1 год = 3 000 000
2 год = 3 000 000 + 8% = 3 240 000
3 год = 3 240 000 + 8% = 3 499 200
4 год = 3 499 200 + 8% = 3 779 136
5 год = 3 799 136 + 8% = 4 081 467
6 год = 4 081 467 + 8% = 4 407 984

Т.о. стоимость обучения составит через 6 лет 4 407 984 руб.

Скопить семья планирует 40% от полной стоимости обучения.
Сумма накопления = 4 407 984 *0,40 = 1 763 194 руб.

Оставшаяся часть стоимости обучения = 4 407 984 - 1 763 194 = 2 644 791

Таким образом, сумма кредита составит 2 644 791 руб.

2. Рассчитаем ежегодную сумму платежей, которые семья в целях накопления должна будет класть на счет в первые годы

FV = 1 763 194
i = 12%
n = 6 лет
PMT - ?

PMT = 1 763 194 *  0,12323 = 217 278 руб.

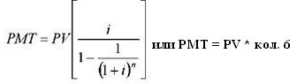
3. Рассчитаем сумму платежей по кредиту, которые семья должна будет выплачивать банку ежегодно в последующем

PV = 2 644 791
i = 15 %
n = 5 лет
PMT - ?



PMT
= PV * кол 6 (при i = 15%, n=5 лет)
PMT = 2 644 791 * 0,29832  = 788 994

Вывод: т.о. семья в целях накопления на обучение должна будет класть на счет в первые годы сумму  в размере 217 278 рублей в год; а в последующем банку должна будет выплачивать по кредиту 788 994 рублей в год



Смотреть все задачи по "Экономике недвижимости"

Другие разделы


Похожие разделы





© 2002 - 2026 RefMag.ru