Дисконтирование и его использование
-
Клиент 1 марта 2003 года учел вексель в банке на сумму
60000 руб., срок оплаты которого 1 июня 2003 года, и получил за него
57000руб. Определить учетную ставку банка.
-
Какую прибыль получит банк в результате учета 20 апреля
трех векселей по 30000 руб. каждый, если срок оплаты первого векселя 10
сентября, второго 30 сентября, а третьего 5 октября, а учетная ставка банка
10% годовых?
-
Клиент учел 1 апреля вексель на сумму 50000 руб. срок
оплаты которого 1 июля того же года и получил за него 40000 руб. Определить
доход и учетную ставку банка.
-
Переводной вексель (тратта) выдан на сумму 100000 руб. с
уплатой 15.10. Владелец векселя учел его в банке раньше 10.09. по учетной
ставке 20%. Определить получаемую при учете сумму и дисконт.
-
Переводной вексель (тратта) выдан на сумму 200000 руб. с
уплатой 10.03. Владелец векселя учел его в банке 05.02. по учетной савке 15%.
На сумму долга начисляются проценты по сложной номинальной ставке процентов12%
годовых. Определить наращенную сумму долга и сумму, получаемую при
учете.
-
Переводной вексель (тратта) выдан на сумму 300000 руб. с
уплатой 20.03. Владелец векселя учел его раньше в банке 10.02. по учетной
савке 20%. На сумму долга начисляются проценты по простой учетной ставке 18%
годовых. Определить наращенную сумму долга и сумму, получаемую при учете.
-
По контракту кредитор из суммы кредита, выданного на 200
дней, сразу удерживает дисконт в размере 20% от указанной суммы. Определить
цену кредита в виде простой годовой учетной ставки и годовой ставке простых
процентов.
-
Кредитор предоставил ссуду в размере 4,5 млн. руб. с
условием погашения долга через 100 дней в размере 5 млн. руб. Определить
доходность операции для кредитора в виде простой и учетной ставок
процентов.
-
Клиент должен по платежному обязательству уплатить через
100 дней 4 млн. руб. с процентами, начисляемыми по ставке простых процентов
20% годовых. За 40 дней до срока его погашения платежное обязательство было
учтено по учетной ставке 15%. Определить сумму, полученную при учете.
-
Какую сумму необходимо проставить в векселе, если
фактически выданная сумма составляет 2млн. руб. со сроком погашения 2 года.
Расчет по векселю проводят по годовой учетной савке 10%.
Дисконтирование и ее сущность
-
Банк учитывает вексель на сумму 100000 руб. до срока его
оплаты по сложной учетной ставки 16% годовых. Определить доход банка и сумму
полученную предъявителем векселя. Какую простую учетную ставку должен
установить банк, что бы его доход не изменился?
-
Банк учитывает вексель по простой учетной ставке 8%
годовых. Определить величину сложной и номинальной учетных ставок, не
изменяющие доход банка.
-
Клиент имеет вексель на сумму 15000 руб. и намеревается его
учесть в банке 1 марта по сложной учетной ставке 12%. Какую сумму получит
клиент если срок погашения векселя а) 1 июня этого же года, б) 1июля
следующего года. Определить величину простой учетной ставки, не изменяющий
доход банка.
-
Кредитор дает деньги в долг, получая вексель по которому
через два года будет выплачена 5000 руб. Какую сумму следует дать под этот
вексель сегодня, если за взятие в долг деньги выплачиваются проценты по
номинальной ставке сложных процентов 12% с ежемесячным начислением
процентов?
-
Какую сумму следует проставить в векселе, если фактически
выданная сумму составляет 20000 руб., срок погашения 2 года. Провести расчет
исхода из 12% годовых для случаев использования простой учетной ставки и
номинальной учетной ставки с ежеквартальным начислением процентов.
-
Долговое обязательство на сумму 50000 руб., срок оплаты
которого наступает через 5 лет, продано с дисконтом по сложной учетной ставки
15% годовых. Определить величину полученной за долг суммы и величину дисконта
и провести сравнение для случаев использования той же величины простой учетной
ставки и номинальной сложной учетной ставки с ежеквартальным начислением
процентов.
-
Вексель выдан на 10000 руб. с уплатой 20 октября. Владелец
векселя погасил его в банке 20 августа того же года по сложной учетной ставки
20%. Определить полученную сумму клиентом и дисконт банка. Определить
доходность операции по простой и сложной ставки процента. Определить
показатели операции, если срок погашения векселя 20 октября следующего года,
а учет проводится по простой ставки 20 %.
-
Вексель на 20000 руб. со сроком погошения 20 ноября был
учтен по простой ставке 18%. Определить полученную сумму клиентом и дисконт
банка. Определить доходность операций по простой и сложной ставке, если
провести учет по сложной учетной ставке 18%. Провести такие же расчеты при
условии погашения векселя через год 20 ноября.
-
В подписном обязательстве указано уплатить 30000 руб. через
60 дней с процентами по ставке 24% в год. За 25 дней до срока его погашения
документ был продан банку по годовой учетной ставки 30%. Определить
номинальную и фактическую стоимость документа, цену продажи с дисконтом
банка, доходность операции клиента и банка.
-
Вексель на сумму 30 т. руб. со сроком погашения через 60
дней и начислением процентов по ставке 24 % годовых был продан банку за 25
дней до его погашения по сложной учетной ставке 30%. Определить номинальную и
фактическую стоимость векселя, цену его продажи с дисконтом и доходность
операции клиента и банка.
Дисконтирование и финансовая математика
При дисконтировании решается задача, обратная вычислению
наращенной суммы, т.е. по заданной заранее наращенной сумме S
определить, какую сумму P надо инвестировать, чтобы через
время t при постоянной ставке простого процента i
получить сумму S. Из формулы (2) следует, что с
умма P называется современным или приведенным значением
будущей суммы S. Операция вычисления современной стоимости
будущей суммы денег называется математическим дисконтированием, а
величина
-
дисконтирующим множителем.
Разность D = S - P
называют дисконтом суммы.
Пример. Заемщик получил кредит на 6 месяцев под 20 %
годовых с условием вернуть 300 тыс. руб. Какую сумму получил заемщик в момент
заключения договора?
Решение. Принимая год равным 360 дням, а
6 месяцев - 180 дням, получим
S = 300 /( 1 + 0,20 ? 180/360 ) = 272,73 тыс.
руб.;
Пример. Какую сумму инвестор должен внести сегодня под
простые проценты по ставке 50 % годовых, чтобы накопить 100 тыс. руб.: а) за
полгода; б) за два года.
Решение. Имеем ( в рублях) :
а) S = 100 000 / (1 + 0,5 ? 0,5) = 80 000;
б) S = 100 000 / (1 + 0,5 ? 2) = 50 000.
Второй вид дисконтирования называется банковским
учетом. Суть его в следующем. Банк приобретает вексель у вкладчика до
наступления срока платежа по цене, которая меньше суммы, указанной на векселе,
т.е. учитывает вексель сдисконтом (скидкой).
При учете векселя применяется банковский учет. Для этого
банк вводит учетную ставку d . Размер дисконта D =
S? n ? d, где d - годовая
учетная ставка, n - срок от момента учета до даты
погашения векселя в годах. Сумма, которую получит вкладчик при учете векселя,
равна
P = S – S ? n ? d = S ( 1 - n
? d).
Учет производится по банковскому правилу, т. е. К =
360 (число дней ссуды точное). Соотношение между учетной ставкой банка d
и процентной ставкой i за один период следующее:
( 7)
Пример. Тратта (переводной вексель) выдан на сумму 100
тыс. руб. с уплатой 18 ноября. Владелец векселя учел его в банке 24 сентября
по учетной ставке 20%. Определите сумму, полученную при учете.
Решение. Срок от момента учета до даты погашения равен
55 дням. Тогда искомая сумма равна:
P = S (1 - n ? d ) = 100 000 ( 1 -
55/360 ? 0,2 ) = 96 944,4 руб.
Дисконт составит 100 000 - 96 944,4 = 3 055,6 руб.
Задачи
2.1. Вексель, выданный на сумму 15 000 руб. с уплатой
через 100 дней, с условием начисления простых процентов по ставке 10 % годовых,
был учтен в банке за 50 дней до наступления срока по простой учетной ставке
15%. Определите полученную владельцем сумму при учете векселя и величину
дисконта, полученную банком.
2.2. Владелец векселя в 100 тыс. руб. со сроком
погашения 5 мес. учитывает его в банке спустя два месяца. Банк учитывает
вексель за 94 тыс. руб. Определите дисконт D, d3
- учетную ставку банка за 3 месяца, годовую учетную ставку d и
учетную стоимость векселя за месяц до погашения. Ответ: D = 2 тыс. руб.;
d3 = 0,06; d = 0,24 ; P = 98 тыс. руб.
2.3. Вексель выписан 10 января 1998 года с датой
погашения 10 октября 1998 года. Проценты по векселю начисляются по ставке 12 %
в год. Определите учетную (выкупную) стоимость векселя, если вексель учтен в
банке 10 мая 1998 года по учетной ставке 10 %. Ответ: 104,422 тыс. руб.
2.4. Выведите соотношение (7).
Дисконтирование по сложной учетной ставке в финансовой математике
В практике учетных операций иногда применяют сложную учетную
ставку. В этих случаях процесс дисконтирования происходит с замедлением, так как
каждый раз учетная ставка применяется к сумме, уже дисконтированной на
предыдущем шаге по времени. По аналогии с наращением по сложным процентам
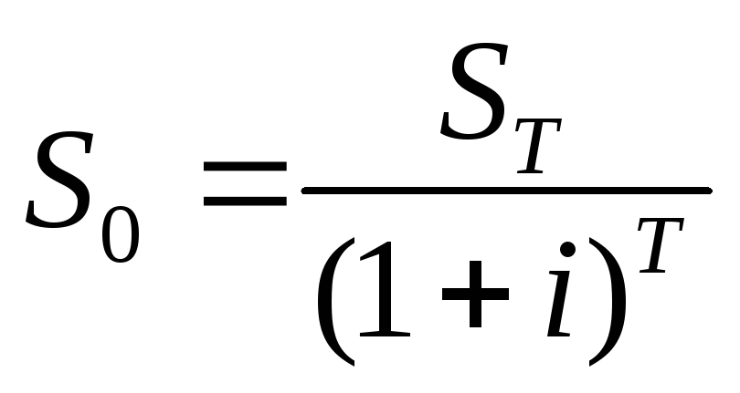
ST=S0·(1+i)Т
дисконтирование по сложной годовой учетной ставке d
осуществляется по формуле
S0=ST·(1-d)Т (44)
Дисконтный множитель этом равен (1 - d)T.
Сравним дисконтирование по сложной учетной ставке d с
дисконтированием по такой же простой учетной ставке. Возьмем для иллюстрации d =
40% и вычислим для различных значений срока операции Т дисконтные множители для
сложной ставки kсл(T) = (1-d)T и для простой ставки
kпр(T) = (1-d T). Результаты приведены ниже в таблице.
|
Т |
0 |
0,5 |
1 |
1,5 |
2 |
2,5 |
3 |
|
kпр(T) |
1 |
0,8 |
0,6 |
0,4 |
0,2 |
0 |
-0,2 |
|
kсл(T) |
1 |
0,7746 |
0,6 |
0,4648 |
0,36 |
0,2789 |
0,216 |
Видно, что значение множителя kпр(T) равномерно
убывает с ростом T, обращается в ноль при Т = 2,5 года и является
отрицательным при T> 2,5 (то есть, при Т > 2,5 кредитная операция
не имеет смысла). Множитель kсл (T) тоже убывает с ростом Т, но
остается положительным при всех T>0.
По аналогии с номинальной и эффективной ставкой процентов
вводятся понятия номинальной и эффективной учетных ставок.
Определение. Годовая учетная ставка f называется
номинальной, если дисконтирование производится m раз в год по ставке
f/m. Приведенная сумма S0 при этом вычисляется по формуле
S0 = ST·(1-
f/m)mТ (45)
где Т срок ссуды. Дисконтный множитель равен
(1-f/m)mT.
Определение. Эффективная учетная ставка - это
годовая учетная ставка, дающая тот же результат, что и m -кратное
дисконтирование по ставке f/m.
Обозначим эффективную учетную ставку через d. По определению
дисконтные множители по двум видам ставок (эффективной и номинальной) должны
совпадать:
(1-d) =(1- f/m)m
Отсюда получаем формулу для расчета эффективной учетной
ставки по заданной номинальной:
d=1-(1-f/m)m (46)
Ключевые параметры процесса дисконтирования в финансовой математике
Период времени
Процентная ставка \ Ставка дисконтирования
Ожидаемая величина будущих денежных потоков
Текущая стоимость будущих денежных потоков
Если известны любые три из перечисленных выше параметров,
может быть определен неизвестный четвертый.
Обычно, от Оценщика требуется определение текущей стоимости
будущих денежных потоков и/или процентной ставки \ ставки дисконтирования.

Операции наращивания и дисконтирования в финансовой математике
Стоимость определенной суммы денег это функция от времени возникновения
денежных доходов или расходов.
Тезис «время-деньги» всем хорошо известен.
Временная стоимость денег обусловлена двумя факторами:
-
Обесценение денежной наличности с течением времени в результате
инфляции.
-
Обращение капитала (денежных средств).
П
ростейшим видом финансовой сделки является однократное представление
в долг некоторой суммыPV (present value) с условием, что через какое-то время t
будет возвращена большая сумма FV (future value). Результат такой сделки
оценивается с помощью специального коэффициента, который называется
ставкой.
Этот показатель рассчитывается отношением приращения исходной суммы к базовой
величине, в качестве которой можно брать либо PV либо FV. Таким образом, ставка
рассчитывается по одной из двух формул.
Темпы прироста
. (1)
Темпы снижения
. (2)
В финансовых вычислениях первый показатель называется:
-
«процентная ставка»;
-
«процент»;
-
«рост»;
-
«ставка процента»;
-
«норма прибыли»;
-
«доходность».
Второй показатель называется:
Обе ставки взаимосвязаны:
или
. (3)
Оба показателя могут выражаться либо в долях единицы, либо в процентах.
Очевидно, что
. Степень
расхождения зависит от уровня процентных ставок, имеющих место в конкретный
момент времени. Так, если
,
,
т. е. расхождение сравнительно невелико; если
,
то
,
т. е. ставки существенно различаются по величине.
В любой простейшей финансовой сделке всегда присутствуют три величины,
из которых две заданы, а одна является искомой.
Если заданы исходная сумма PV и процентная ставка
,
то финансовая сделка характеризуетпроцесс наращивания.
Если заданы сумма, ожидаемая к получению в будущем (возвращаемая сумма) FV и
ставка дисконта
, то финансовая
сделка характеризуетпроцесс дисконтирования, т. е. приведения к
настоящему моменту времени (рис. 1).

Рис.1. Логика финансовых операций.
В качестве коэффициента дисконтирования может использоваться либо
процентная ставка (математическое дисконтирование), либо учетная
ставка (банковское дисконтирование).
Из формулы (1) следует:
,
и
,
т. е. Мы видим, что время «генерирует деньги».
Выводы:
-
На практике доходность является величиной непостоянной, зависящей, главным
образом, от степени риска. Чем рискованнее бизнес, тем выше значение
доходности. Наименее рискованны вложения в государственные ценные бумаги или
государственный банк, однако доходность операции в этом случае относительно
невелика.
-
Величина FV показывает будущую стоимость «сегодняшней» величины PV при
заданном уровне доходности.
-
Экономический смысл дисконтирования заключается во временном упорядочении
денежных потоков различных временных периодов.
-
Коэффициент дисконтирования показывает, какой ежегодный процент возврата
хочет (или может) иметь инвестор на инвестируемый им капитал. В этом случае
искомая величина PV показывает текущую, «сегодняшнюю» стоимость будущей
величины FV.
Операция дисконтирования в финансовой математике
В финансовой практике часто возникает задача, обратная задаче
наращения процентов: требуется определить, какую сумму S0 нужно
вложить при заданной ставке простых или сложных процентов i, чтобы через
определенный срок Т лет получить желаемую сумму ST. Процесс
вычисления неизвестного S0 по известному ST называется
дисконтированием или приведением. Сумма S0 называется
современным или приведенным значением для ST, а разность
D = ST - S0 называют дисконтом суммы
ST.
В зависимости от вида процентной ставки применяют два метода
дисконтирования: математическое дисконтирование и банковский учет. В первом
случае используется ставка наращения, во втором - учетная ставка.
Математическое дисконтирование представляет собой
формальное решение задачи, обратной наращению первоначальной суммы ссуды. В
случае простых процентов наращенная за Т лет сумма SТ вычисляется по
формуле:
ST=S0·(1+i T)
где i - годовая процентная ставка. Отсюда находим
(39)
Дробь 1/(1 + i·T) называют дисконтным множителем. Для
краткосрочных ссуд в формуле (39) нужно положить T = ?/ K, где ? - срок,
измеряемый в днях, К - число дней в году.
В случае сложных процентов наращенная сумма вычисляется по
формуле:
ST=S0·(1+i)T
Отсюда находим
(40)
так что дисконтный множитель равен 1/(1+i)T.
Если начисление сложных процентов производится m раз в году
по годовой номинальной ставке j, то наращенную сумму находят по формуле:
SТ = S0·(1+
j/m)mТ
откуда получаем:
(41)
Дисконтный множитель здесь равен
1/(1+j/m)mТ.
Формулы (39)-(41) - это основные формулы математического
дисконтирования. Они связывают между собой современное S0 и будущее
SТ значения сумм.
Ретроспективный анализ и прогноз валовой выручки от
реализации при оценке стоимости бизнеса в методе дисконтированных денежных потоков
Необходим учет следующих факторов:
- номенклатура выпускаемой продукции;
- объемы производства и цены на продукцию;
- ретроспективные темпы роста предприятия;
- спрос на продукцию;
- темпы инфляции;
- имеющиеся производственные мощности;
- перспективы и возможные последствия капитальных
вложений;
- общая ситуация в экономике, определяющая перспективы
спроса;
- ситуация в конкретной отрасли с учетом существующего уровня
конкуренции;
- доля оцениваемого предприятия на рынке;
- долгосрочные темпы роста в послепрогнозый период;
- планы менеджеров данного предприятия.
Правило: прогноз валовой выручки основывается на
ретроспективных показателях и прогнозируется с учетом возможных темпов роста
предприятия и отрасли в целом.
- бизнес-план предприятия (анализ планов предприятия по
сохранению или увеличению доли на рынке);
- анализ позиций основных конкурентов.
Список литературы и источников на тему "Дисконтирование в оценке стоимости"
- Практикум по решению задач 2016 Оценка стоимости земли
- Практикум Оценка стоимости предприятия (ОСП) (Практикум по бизнесу), умц
- Практикум по бизнесу, практика для ОДД - 2009, умц
- Ответы на тесты и решение задач по дисциплине Оценка стоимости предприятия (бизнеса) , умц
- Тесты Интеллектуальная собственность как особый объект оценки , умц
- Практика оценки стоимости машин, оборудования и приборов , умц
- Ценообразование в машиностроении и приборостроении , умц
- Основы оценки стоимости машин, оборудования и транспортных средств , умц
- Практикум по НМА и ИС Практикум по НМА
- Оценка НМА и ИС. Практикум 3 (5) , умц
- Практикум 2 (4). Оценка стоимости нематериальных активов и интеллектуальной собственности , умц
- Практикум (3). Ценообразование ИС. Практикум, умц
- Практикум (1) Практикум по решению задач по дисциплине <Основы оценки стоимости нематериальных активов и интеллектуальной собственности>, умц
- Тесты по налогам и налогообложению, умц
- Тесты по микроэкономике, умц
- Тесты по бухгалтерскому учету, умц
- Тесты по аудиту , умц
- Ответы и решения на Контрольные вопросы и задачи Оценка стоимости земельных участков, умц
- Ответы на Тест по дисциплине: <Основы оценки стоимости имущества>, умц
- Ответы на Тестовое задание по дисциплине <Оценка стоимости кредитно-финансовых институтов> , умц
- Ответы на Тестовое задание по дисциплине <Основы оценки стоимости машин и оборудования>, умц
- Ответы на Тесты <Правовые основы оценочной деятельности>, умц
- Ответы на Тесты <Ценообразование в строительстве>, умц
- Ответы и решения на Контрольные вопросы и задачи по оценке недвижимости , умц
- Ответы на Контрольные вопросы <Оценка ценных бумаг>, умц
- Ответы на Тесты <Практика оценки стоимости недвижимости>, умц
- Ответы на Тесты <Основы оценки стоимости недвижимости>, умц
- Практикум оценки стоимости недвижимости
- Основы оценки стоимости недвижимости, вариант 1
- Тестовые задания по дисциплине «Основы оценки стоимости недвижимости»
- Тест по дисциплине ОСП Вариант 1
- Тест по дисциплине ОСП Вариант 2
Полный комплект решенных тестов и практикумов по оценке для курсов оценщиков умцДругие похожие работы