RefMag.ru - Оценка. Помощь в решении задач, тестов, практикумов, курсовых, аттеста­ционных

RefMag.ru - Помощь в решении в учебе

Заказать:
- заказать решение тестов и задач
- заказать помощь по курсовой
- заказать помощь по диплому
- заказать помощь по реферату

Репетитор оценщика

Готовые работы заочников

Тесты:

Задачи:

Примеры работ по оценке

Примеры курсовых работ
Примеры аттест­ационных работ
Учебные дисциплины
Литература
Заказ работ:




Оказываю помощь по решению задач, тестов, консультации по самостоятельному выполнению контрольных, курсовых и дипломных. Сергей.
admin@refmag.ru, , ,

Примеры: | контрольные | курсовые | дипломные | отзывы |

Пример работы

Согласование в оценке стоимости

Похожие работы:

Весовые коэффициенты, отражающие долю каждого подхода в определении итоговой стоимости объекта оценки

Критерии

Затратный подход

Сравнительный подход

Доходный подход

1. Достоверность информации

2. Полнота информации

3. Способность учитывать действительные намерения покупателя и продавца

Окончание табл. 19

4. Способность учитывать конъюнктуру рынка

5. Способность учитывать местоположение

6. Допущения, принятые в расчетах

7. Сумма баллов (01+02+03+04+05+06)

8. Удельные весовые показатели, % (07/600)

Итоговая стоимость объекта (табл. 20) оценки определяется по формуле

, (24)

где V – рыночная стоимость объекта оценки, руб.;

V1, V2, V3 – стоимость объекта, определенная с использованием затратного, сравнительного и доходного подходов соответственно, руб.;

Q1, Q2, Q3 – средневзвешенное значение достоверности затратного, сравнительного и доходного подходов соответственно.

Таблица 20

Итоговый расчет весов, присвоенных результату подхода оценки недвижимости

 

А

Б

В

Г

Вес

 подхода

Вес критерия

0,248

0,554

0,072

0,126

Затратный

0,142

0,077

0,126

0,110

0,248•0,142+0,554•0,077+

+0,072•0,126+0,126•0,110=0,10

Доходный

0,429

0,487

0,458

0,344

0,248•0,429+0,554•0,487+

+0,072•0,458+0,126•0,344=0,45

Сравни-тельный

0,429

0,435

0,416

0,546

0,248•0,429+0,554•0,435+

+0,072•0,416+0,126•0,546=0,45

На основе полученных удельных весов рассчитаем итоговую величину рыночной стоимости объекта недвижимости, полученную на основе трех подходов к оценке.

Таблица 7.10.

Критерий согласования оценки недвижимости - возможность отразить действительные намерения потенциального инвестора

Затрат-ный

Доход-ный

Сравни-тельный

Расчет

веса подходов по критерию А

Затратный

1,00

0,33

0,33

(1•0,33•0,33)1/3= =0,478

0,478/3,362=

=0,142

Доходный

3,00

1,00

1,00

(3•1•1)1/3 =1,442

1,442/3,362=

=0,429

Сравнитель-ный

3,00

1,00

1,00

(3•1•1)1/3 =1,442

1,442/3,362=

=0,429

сумма

3,362

1,000

Таблица 7.6.

Критерий согласования оценки недвижимости - способность параметров используемых методов учитывать конъюнктурные колебания рынка

Затрат-ный

Доход-ный

Сравни-тельный

Расчет

веса подходов по критерию В

Затратный

1,00

0,33

0,25

(1•0,33•0,25)1/3= =0,435

0,304/3,927=

=0,126

Доходный

3,00

1,00

1,00

(3•1•1)1/3=1,442

1,442/3,927=

=0,416

Сравнитель-ный

4,00

1,00

1,00

(4•1•1)1/3=1,587

1,587/3,927=

=0,458

сумма

3,927

1,000

Таблица 7.8.

Критерий согласования оценки недвижимости - способность учитывать специфические особенности объекта, влияющие на его стоимость

Затрат-ный

Доход-ный

Сравни-тельный

Расчет

веса подходов по критерию Г

Затратный

1,00

0,13

0,50

(1•0,13•0,5)1/3= =0,402

0,402/3,927=

=0,110

Доходный

8,00

1,00

1,00

(8•1•1)1/3=2

2,000/3,927=

=0,546

Сравнитель-ный

2,00

1,00

1,00

(2•1•1)1/3= =1,260

1,260/3,927=

=0,344

сумма

3,662

1,000

Результаты расчетов заносятся в итоговую таблицу 7.9, из таблицы 7.4 из последнего столбца выписываем вес критериев. Затем из итоговых столбцов таблиц 7.5-7.8 заполняем веса подходов в рамках соответствующих подходов. Затем производится расчет итоговых весов результата каждого подхода, которые равны сумме произведений весов каждого подхода по критерию и веса данного критерия. Результаты расчетов весов подходов представлены в таблице 7.9.

Таблица 7.9.

Критерий согласования оценки недвижимости - тип, качество, обширность, данных, на основе которых проводится анализ

Затрат-ный

Доход-ный

Сравни-тельный

Расчет

веса подходов по критерию Б

Затратный

1,00

0,20

0,14

(1•0,20•0,14)1/3= =0,304

0,304/3,927=

=0,077

Доходный

5,00

1,00

1,00

(5•1•1)1/3=1,710

1,701/3,927=

=0,435

Сравнитель-ный

7,00

1,00

1,00

(7•1•1)1/3=1,913

1,913/3,927=

=0,487

сумма

3,927

1,000

Таблица 7.7.

Результаты оценки, полученные при применении различных подходов к оценке стоимости предприятия бизнеса

В рамках настоящего отчета был использован:

  • Затратный подход.

Обоснование выбора подходов и отказа от использования сравнительного и доходного приведено в разделе 4.2. настоящего Отчета.

В результате использования затратного подхода было получено следующее значение:

Таблица № 1

Наименование подхода

Значение рыночной стоимости по подходу, тыс. рублей

Раздел Отчета

Затратный подход

2 650 000

9

Доходный подход

0

4

Рыночная стоимость Объекта оценки

2 650 000

11

В результате проведенного анализа и выполненных расчетов, с учетом сделанных допущений и ограничивающих условий, Оценщик пришел к заключению, чторыночная стоимость 100% доли уставного капитала ООО «Зй»по состоянию на 02.06.2014 года составляет (округленно):

Сведение (согласование) стоимостных показателей в итоговую оценку стоимости объекта недвижимости

Заключительным этапом оценки является согласование результатов, полученных доходным, затратным и сравнительным подходами, и приведение стоимостных показателей к единой рыночной стоимости объекта.

С = Сз.п.·К1 + Сс.п.·К2 + Сд.п.·К3

К1 + К2 + К3 = 1 – экспериментальные весовые коэффициенты.

При определении весовых коэффициентов учитывается значимость и применимость каждого подхода в конкретной ситуации.

Основные элементы сравнения:

  • соответствие целям оценки;

  • достоверность используемой для анализа информации;

  • соответствие оцениваемому типу и характеру использования недвижимости.

Затратный подход имеет наименьший вес и принимается 10 %, т.к. дисбаланс спроса и предложения на рынке таких объектов приводит к превышению рыночных арендных ставок и цен продаж над стоимостью воспроизводства.

Удельный вес сравнительного подхода будет наибольшим, составит 75%. Анализ проводился на основе достоверной информации о достаточном количестве сопоставимых объектов.

Оцениваемый объект относится к доходной недвижимости, однако использованные в расчете прогнозы и данные о доходах могут быть неточными. Поэтому удельный вес доходного подхода – 15 %.

Рыночная стоимость оцениваемого объекта равна:

С = 0,1·15519840+ 0,75*3376740+ 0,15·12276520= 5926017(руб.)

Заключение

В данной работе был оценен объект недвижимости: площадью здания 280 м2 (здание находится в хорошем состоянии) и площадью земельного участка 900 м2 (из них 20 % покрыто асфальтобетонном). Здание представляет собой одноэтажную необорудованную пристройку.

Объект находится в районе средней отдаленности, на главной дороге, по адресу 630091, г. Новосибирск, ул. Державина д.26. Объект используется как помещение быстрого питания, что является ЛНЭИ этого объекта.

Оценка проводилась для нахождения рыночной цены недвижимости, для обмена. Для этого использовались три подхода: затратный, сравнительный и доходный.

Стоимость объекта: полученная затратным подходам, равна 15519840рублей; полученная сравнительным подходам, равна 3376740 рублей; полученная доходным подходам, равна 12276520рублей.

Итоговая рыночная стоимость объекта недвижимости равна 5926017 рублей.

Эта цена объекта может быть использована для покупки доли имущества.

Список литературы

  1. Оценка недвижимости: Учеб. / Под ред. А.Г. Грязновой, М.А. Федотовой.- М.: Финансы и статистика, 2002. – 496 с.

  2. Мжельская И.В. Оценка доходной недвижимости: Учеб. пособие / И.В. Мжельская – Новосибирск: Изд-во СГУПСа, 2002 – 133 c.

  3. Оценка рыночной стоимости недвижимости: Учеб. и практ. пособие / Под ред. В.Н. Зарубина, В.М. Рутгайзера.- М.: Дело, 1998. – 384 с.

  4. ВСН 53-86. Правила оценки физического износа жилых зданий / Гос. ком. по гражд. стр-ву и архитектуре при Госстрое СССР.–М., 1988.–70 с.

  5. Щербакова Н.А. Экономика недвижимости: Учеб. пособие / Н.А. Щербакова. – Ростов н/Д: Феникс, 2002. – 320 с.

6. Журнал «Недвижимость», г. Новосибирск, №20 за 2006 год

Приложения

Приложение 1

Общие сведения об оцениваемом объекте

Вариант

Цель оценки

Место-

положение

Транспортная доступность

1

Вынужденная продажа в ограниченный период времени

с/о

Втр

2

Продажа доли имущества

Отд.

Гл.

3

Обмен

Цен.

Втр

4

Продажа

Отд.

Втр

5

Покупка

Цен.

Гл.

6

Обмен доли имущества

Отд.

Втр

7

Обеспечение кредита

Цен.

Втр

8

Покупка доли имущества

с/о

Гл.

9

Вынужденная продажа в ограниченный период времени

Цен.

Втр

10

Обеспечение кредита доли имущества

Цен.

Гл.

11

Покупка

Отд.

Втр

12

Обмен доли имущества

Цен.

Гл.

13

Продажа доли имущества

Отд.

Втр

14

Продажа

с/о

Гл.

15

Обмен

с/о

Гл.

16

Обеспечение кредита

Цен.

Втр

17

Обмен доли имущества

Отд.

Гл.

18

Обеспечение кредита доли имущества

с/о

Втр

19

Покупка

Цен.

Гл.

20

Продажа

Отд.

Втр

21

Вынужденная продажа в ограниченный период времени

с/о

Втр

22

Покупка доли имущества

Цен.

Гл.

23

Покупка

с/о

Втр

24

Продажа доли имущества

с/о

Гл.

25

Продажа

Отд.

Втр

26

Обеспечение кредита

Цен.

Гл.

27

Обмен

с/о

Втр

28

Обеспечение кредита доли имущества

Цен.

Гл.

29

Покупка

Отд.

Гл.

30

Продажа

с/о

Втр

31

Вынужденная продажа в ограниченный период времени

Цен.

Втр

32

Покупка доли имущества

с/о

Гл.

Условные обозначения:

Цен. – объект расположен в центре города;

с/о – объект расположен в районе средней отдаленности;

Отд. – объект расположен в отдаленном районе;

Гл. – объект находится на главной улице города;

Втр – объект находится на второстепенной улице города.

Приложение 2

Характеристика объекта оценки

Вариант

Характеристика здания

Площадь,

м2

Конструкт.

особенности здания (тип)*

Наличие а/б

покрытия

(от площади

участка)

Несущая способность грунтов

1

Пристройка

85

3

До 10 %

Низ.

2

Отдельное

120

2

До 20 %

Выс.

3

Пристройка

120

1

До 50 %

Сред.

4

Пристройка

165

1

До 10 %

Сред.

5

Отдельное

172

2

До 10 %

Низ.

6

Пристройка

185

3

До 30 %

Низ.

7

Отдельное

256

2

До 10 %

Выс.

8

Пристройка

280

3

До 20 %

Низ.

9

Пристройка

270

1

До 10 %

Сред.

10

Отдельное

305

3

До 30 %

Выс.

11

Отдельное

315

2

До 10 %

Сред.

12

Пристройка

323

1

До 50 %

Низ.

13

Пристройка

335

2

До 10 %

Выс.

14

Отдельное

346

3

До 20 %

Выс.

15

Отдельное

356

3

До 10 %

Сред.

16

Пристройка

360

2

До 10 %

Сред.

17

Отдельное

365

1

До 30 %

Низ.

18

Пристройка

370

1

До 10 %

Выс.

19

Отдельное

375

2

До 40 %

Сред.

20

Пристройка

384

3

До 10 %

Выс.

21

Пристройка

268

3

До 10 %

Сред.

22

Отдельное

390

2

До 50 %

Низ.

23

Отдельное

400

2

До 10 %

Выс.

24

Пристройка

406

1

До 20 %

Сред.

25

Пристройка

412

3

До 30 %

Выс.

26

Отдельное

426

2

До 50 %

Низ.

27

Отдельное

429

3

До 10 %

Выс.

28

Пристройка

435

2

До 40 %

Сред.

29

Пристройка

440

1

До 10 %

Низ.

30

Отдельное

458

2

До 20 %

Выс.

31

Отдельное

470

3

До 30 %

Сред.

32

Пристройка

620

2

До 10 %

Выс.

Условные обозначения:

Конструктивные особенности здания (условное деление)

1 тип – помещения здания составляют 15 – 35 м2 с коридором;

2 тип – одно помещение площадью 40 – 65 м2 от общей площади здания, остальные помещения здания меньшей площади;

3 тип – здание состоит из 1 – 3 помещений.

Приложение 3

Вариант

Фундамент

Износ фундамента

Стены

Износ стен

1

Ленточный крупноблочный

Ширина трещин до 1,5 мм

Кирпичные

Трещины в кладке шириной до 2 мм

2

Ленточный крупноблочный

Ширина трещин до 0,5 мм

Кирпичные с облицовкой керамическими плитками

Трещины в кладке шириной до 2 мм

3

Ленточный бутовый

Ширина трещин до 1,8 мм

Кирпичные

Трещины в кладке шириной до 1,5 мм

4

Ленточный крупноблочный

Ширина раскрытия трещин до 0,5 мм

Несущие панели

Повреждения на площади до 2 %

5

Бетонный

Ширина раскрытия трещин до 0,2 мм

Кирпичные с облицовкой керамическими блоками

Ширина трещин до 0,5 мм

6

Ленточный бутовый

Ширина трещин до 2 мм

Мелкие блоки

Повреждения на площади до 4 %

7

Ленточный крупноблочный

Ширина трещин до 4 мм

Мелкие блоки

Повреждения на площади до 10 %

8

Бетонный

Осадка с прогибом стен до 0,003 от длины стены

Несущие панели

Повреждения на площади до 15 %

9

Железобетонный

Ширина раскрытия трещин до 1 мм

Кирпичные с облицовкой керамическими блоками

Ширина трещин до 1 мм

10

Ленточный бутовый

Ширина трещин до 1,5 мм

Кирпичные

Трещины в кладке шириной до 2 мм

11

Бетонный

Ширина трещин до 1,5 мм

Крупноразмер-ные блоки

12

Ленточный крупноблочный

Ширина трещин до 1,5 мм

Несущие панели

Повреждения на площади до 18 %

13

Железобетонный

Ширина трещин до 1,5 мм

Кирпичные с облицовкой керамическими плитками

Трещины в швах шириной 1,8 мм

14

Ленточный бутовый

Ширина трещин до 3 мм

Кирпичные

Ширина трещин 2 мм

15

Железобетонный

Осадка с прогибом стен до 0,01 от длины стены

Крупноразмерные блоки

Ширина трещин до 1 мм

16

Ленточный крупноблочный

Ширина трещин до 1,8 мм

Кирпичные

Глубина разрушения швов 3,5 см

17

Ленточный крупноблочный

Ширина раскрытия трещин до 1 мм

Несущие панели

Повреждения на площади до 6 %

18

Бетонный

Осадка с прогибом стен до 0,005 от длины стены

Мелкие блоки

Ширина трещин до 4 мм

19

Ленточный бутовый

Ширина трещин до 1,5 мм

Кирпичные

Глубина разрушения швов 1,5 см

20

Ленточный крупноблочный

Ширина трещин до 1,8 мм

Кирпичные с облицовкой керамическими плитками

Трещины в швах шириной 1,5 мм

21

Железобетонный

Ширина раскрытия трещин до 1 мм

Несущие панели

Повреждения на площади до 6 %

22

Бетонный

Ширина раскрытия трещин до 1,5 мм

Мелкие блоки

Ширина трещин до 4 мм

23

Ленточный бутовый

Ширина раскрытия трещин до 1,2 мм

Несущие панели

Повреждения на площади до 10 %

24

Железобетонный

Осадка с прогибом стен до 0,01 от длины стены

Крупноразмерные блоки

Ширина трещин 1 мм

25

Ленточный крупноблочный

Ширина трещин до 1,5 мм

Кирпичные

Глубина разрушения швов 2 см

26

Железобетонный

Ширина трещин до 1,5 мм

Мелкие блоки

Повреждения на площади до 5 %

27

Ленточный бутовый

Ширина трещин до 1,5 мм

Кирпичные с облицовкой керамическими блоками

Ширина трещин до 1 мм

28

Ленточный крупноблочный

Ширина трещин до 1,5 мм

Кирпичные

Глубина разрушения швов 3 см

29

Бетонный

Ширина трещин до 1,5 мм

Кирпичные

Глубина разрушения швов 3,5 см

30

Ленточный бутовый

Ширина трещин до 1,5 мм

Несущие панели

Повреждения на площади до 12 %

31

Ленточный крупноблочный

Ширина трещин до 1,8 мм

Несущие панели

Повреждения на площади до 10 %

32

Железобетонный

Ширина раскрытия трещин до 0,8 мм

Крупноразмерные блоки

Ширина трещин 2 мм

Приложение 4

Цены продаж сопоставимых объектов административного, торгового назначения и общественного питания, тыс.р.

Вариант

Аналоги оцениваемого объекта

А1

А2

А3

А4

А5

А6

А7

А8

А9

1

720

540

1015

320

635

668

1340

330

580

2

1115

665

1620

525

1025

1070

2135

485

950

3

1380

825

2012

642

1277

1345

2658

605

1155

4

1950

1170

2820

892

1780

1870

3717

850

1616

5

2215

1350

3240

1020

2035

2135

4261

977

1836

6

2485

1489

3660

1200

2310

2405

4780

1090

2085

7

3035

1850

4455

1450

2838

2975

5900

1385

2552

8

3450

2065

5092

1670

3256

3933

6730

1515

2860

9

3935

2382

5635

1780

3645

3830

7520

1695

3203

10

4250

2575

6147

1910

3815

4095

8080

1930

3410

11

4950

3020

7148

2350

4445

4670

9295

2250

4130

12

5245

3268

7650

2552

4830

5025

10090

2450

4490

13

5670

3475

8050

2550

5235

5205

10625

2584

4680

14

6390

3725

9230

3028

5720

6190

11950

2895

5338

15

6485

4078

9655

2995

6175

6492

12720

2844

5601

16

7130

4376

10060

3430

6606

6675

13525

3025

5975

17

7560

4385

10920

3660

7012

7075

14340

3120

6332

18

7845

4550

11335

3790

7280

7625

14604

3481

6553

19

8005

5070

11957

3986

7372

8045

15676

3630

6634

20

8280

5265

12390

4165

7951

8010

15932

3510

7208

21

9180

5295

13240

4080

8489

8915

17375

3956

7690

22

9625

5945

13462

4685

8562

8968

17792

3875

8085

23

10110

6291

13560

4695

8599

8995

17823

4055

8136

24

10435

6481

13689

4705

8642

9385

17965

4086

8563

25

10680

6754

13723

4729

8732

9395

18560

4112

8005

26

10700

6785

13845

4756

8880

9645

18593

4232

8698

27

10720

6801

13896

4760

8895

9743

19190

4562

8823

28

10756

6859

14087

4806

8913

9820

19698

4698

8945

29

10836

6951

15040

4981

8958

9863

19780

4789

9142

30

10860

6958

15055

4588

8990

10141

19960

4957

9230

31

10900

6973

15064

4780

9151

10163

20120

4538

9336

32

10950

6999

15093

4900

10230

10654

20595

5630

9560

Приложение 4

Цены продаж сопоставимых объектов производственного и складского назначения, тыс.р.

Вариант

Аналоги оцениваемого объекта

А1

А2

А3

А4

А5

А6

А7

А8

А9

1

465

288

680

215

425

445

900

225

390

2

745

446

1075

340

690

715

1425

325

645

3

922

551

1340

430

850

897

1773

405

775

4

1305

784

1882

595

1185

1245

2480

570

1085

5

1480

910

2165

680

1355

1425

2845

655

1226

6

1658

995

2455

820

1545

1602

3185

726

1400

7

2025

1245

2980

985

1906

1996

3955

943

1715

8

2300

1379

3415

1137

2200

2280

4516

1010

1905

9

2645

1609

3758

1190

2455

2584

5042

1130

2135

10

2860

1749

4135

1280

2542

2760

5426

1325

2288

11

3335

2056

4830

1600

2695

3151

6196

1542

2794

12

3495

2222

5098

1745

3225

3515

6727

1673

3045

13

3830

2371

5370

1700

3545

3730

7080

1780

3155

14

4320

2480

6210

2075

3815

4188

7966

1980

3652

15

4325

2790

6500

1995

4184

4400

8550

1896

3809

16

4830

2997

6705

2365

4487

4450

9099

2015

40568

17

5136

2925

7366

2535

4767

4715

9650

2411

4315

18

5320

3035

7646

2620

4956

5180

9736

2520

4465

19

5336

3470

8065

2755

4912

5460

10542

2340

4425

20

5520

3610

8370

2880

5410

5335

10625

2756

4920

21

6328

3530

8945

2720

5780

6065

11709

2582

5255

22

6544

4095

8990

3262

6120

6415

11860

2703

5530

23

6890

4360

9390

3495

6415

6705

12905

2825

5340

24

7125

4495

10210

3060

6100

6937

13325

3505

6060

25

7500

4685

10060

3200

7055

7294

13955

3026

6339

26

7689

4786

10135

3315

7122

7350

14025

3120

6450

27

7893

4832

10259

3378

7236

7489

14163

3265

6523

28

7996

4950

10350

3480

7456

7490

14280

3300

6589

29

8230

5123

10455

3590

7590

7562

15300

3354

6610

30

8450

5260

10532

3675

7650

7620

15150

3428

6645

31

8923

5300

10580

3890

7741

7700

15320

3498

6695

32

8961

5520

10645

3900

7893

7850

15460

3560

6740

Приложение 5

Стоимость оборудования, входящего в состав объектов-аналогов, тыс.р.

Вариант

Аналоги оцениваемого объекта

А1

А2

А3

А4

А5

А6

А7

А8

А9

1

5

12

10

Нет

Нет

Нет

15

25

8

2

10

5

Нет

Нет

9

Нет

11

Нет

35

3

2

Нет

Нет

5

6

7

3

Нет

11

4

16

12

4

Нет

Нет

Нет

Нет

6

15

5

9

28

18

Нет

Нет

Нет

12

9

6

6

Нет

Нет

40

55

20

Нет

Нет

Нет

28

7

Нет

30

27

50

42

38

60

55

35

8

Нет

Нет

60

75

82

56

90

Нет

Нет

9

70

65

Нет

Нет

84

92

85

Нет

Нет

10

100

95

110

Нет

Нет

90

115

112

Нет

11

115

126

134

118

Нет

Нет

Нет

130

125

12

Нет

125

Нет

130

Нет

133

Нет

140

145

13

150

165

Нет

Нет

154

168

Нет

162

105

14

180

Нет

175

160

Нет

183

Нет

173

190

15

Нет

190

195

Нет

202

218

230

Нет

225

16

230

240

Нет

242

251

Нет

248

Нет

255

17

250

Нет

256

280

275

Нет

268

275

270

18

255

Нет

267

285

290

280

Нет

300

271

19

Нет

270

285

290

Нет

300

275

Нет

Нет

20

Нет

300

315

340

325

Нет

Нет

335

345

21

350

Нет

360

Нет

355

370

380

Нет

375

22

380

400

Нет

325

440

450

Нет

Нет

420

23

450

500

Нет

355

480

475

515

Нет

Нет

24

500

525

550

440

Нет

530

580

600

570

25

600

550

Нет

480

700

620

680

645

650

26

640

570

565

Нет

715

625

690

610

655

27

690

580

570

Нет

735

635

Нет

Нет

684

28

700

595

585

560

715

654

695

625

Нет

29

710

605

590

600

755

666

705

632

674

30

730

615

600

655

763

684

Нет

634

660

31

745

630

605

705

780

689

725

Нет

705

32

750

635

610

725

795

694

754

658

715

Размещено на Allbest.ru

Согласнование - определение итоговой величины стоимости недвижимости, полученной методами разных подходов

Различные методы могут быть использованы в процессе оценки, но решение вопроса об относительной значимости показателей стоимости, полученных на базе различных методов, должно определяться обоснованным суждением оценщика, которое оформляется путем взвешивания стоимостей, определенных использованием двух и более методов.

На заключительном этапе, при согласовании результатов стоимости объекта оценки, полученных на базе трех подходов к оценке, необходимо осуществить:

- проверку полученных данных о величине стоимости;

- анализ допущений и ограничивающих условий, обусловленных полнотой и достоверностью использованной информации;

- выведение итоговой величины стоимости.

Решение вопроса, каким стоимостным оценкам придать больший вес и как каждый метод взвешивать по отношению к другим, является ключевым на заключительном этапе процесса оценки.

При субъективном взвешивании цель такая же, как и при методе математического взвешивания, цель – выйти на единую оценочную стоимость, но при этом подходе не используется процентное взвешивание. Оценочное заключение базируется на анализе преимуществ и недостатков каждого метода, а также на анализе количества и качества данных в обосновании каждого метода. Во главе угла стоят профессиональный опыт и суждения оценщика.

Для определения удельного веса результатов, полученных в рамках каждого подхода к оценке недвижимости, необходимо учитывать следующие факторы:

- Степень соответствия каждого из примененных подходов: задаче оценки; цели оценки; функциональному назначению объекта оценки; оцениваемым правам.

- Степень достоверности и достаточности исходных данных, используемых в каждом из подходов.

- Предпочтительность каждого из подходов с точки зрения характеристик рынка и местоположения объектов оценки.

- Надежность расчетов и процедур анализа, проведенных в используемых подходах.

- Удельный вес экспертных оценок и суждений в каждом из приведенных подходов.

Учет всех этих факторов дает возможность произвести взвешивание и, в конечном счете, вывести итоговое заключение (таблица 6 ).

Для определения удельного веса результатов, полученных в рамках каждого подхода к оценке недвижимости, на практике часто используется метод анализа иерархий (МАИ). Метод анализа иерархии - систематическая процедура для иерархического представления элементов определяющих суть любой проблемы. Он состоит в расчленении (декомпозиции) задачи на более простые составные части и дальнейшей обработке последовательных суждений оценщика по парным сравнениям.

Для целей оценки используются следующие критерии согласования:

А. Возможность отразить действительные намерения потенциального инвестора и продавца;

Б. Тип, качество, обширность, данных, на основе которых проводится анализ;

В. Способность параметров используемых методов учитывать конъюнктурные колебания;

Г. Способность учитывать специфические особенности объекта, влияющие на его стоимость.

Таблица 6. Пример согласования результатов

№ п/п

Критерий согласования

Доходный

Сравни-тельный

Затратный

1

Степень соответствия

1.1

задаче оценки

30

40

30

1.2

цели оценки

30

40

30

1.3

функциональному

назначению объекта оценки

30

30

40

1.4

оцениваемым правам

30

35

35

2

Степень достоверности и достаточности исходных данных, используемых в каждом из подходов

50

30

20

3

Степень предпочтительности каждого из подходов с точки зрения характеристик рынка и местоположения объектов оценки

20

50

30

4

Надежность расчетов и процедур

анализа, проведенных в используемых подходах

50

30

20

5

Удельный вес экспертных оценок и суждений в каждом из приведенных подходов

50

30

20

Средний ранг, баллы

36,25

35,625

28,125

Коэффициент весомости каждого из подходов, отн.ед

0,36

0,36

0,28

Рыночная стоимость, полученная в рамках каждого из подходов, руб.

1 600 000

1 620 000

1 500 000

Согласованная рыночная стоимость, руб.

= 1 600 000 ? 0,36 + 1620 000 ?0,36 +

+ 1500 000 ? 0,28= 1 579 200

Контрольные вопросы для самопроверки

1. Какие факторы обусловливают различие в результатах оценки полученных разными методами?

2. Что должен сделать оценщик, если полученные результаты стоимости, полученные разными методами существенно различаются?

3. По каким критериям проводится согласование результатов и выведение итоговой стоимости?

4. Назовите преимущества и недостатки экспертных методов согласования результатов?

5. Назовите преимущества и недостатки математических методов согласования результатов?

6. Сформулируйте наиболее вероятные причины неадекватности оценки при использовании методов доходного подхода?

7. Сформулируйте наиболее вероятные причины неадекватности оценки при использовании методов сравнительного подхода?

8. Сформулируйте наиболее вероятные причины неадекватности оценки при использовании методов затратного подхода?

Согласование полученных результатов оценки недвижимости

Заключительным шагом в процессе оценки является согласование стоимостных показателей, полученных с помощью каждого из трех методов, для определения итоговой величины стоимости оцениваемого объекта.

Целью сведения результатов всех используемых методов является определение преимуществ и недостатков каждого из них применительно к объекту оценки и, тем самым, выработка единой стоимостной оценки.

При этом, нельзя просто усреднять показатели. Согласование данных начинается с самого начала оценки в процессе постановки проблемы, предварительного обследования и выполнения программы по сбору данных. Согласование заканчивается сведением одного, двух или трех стоимостных показателей, полученных на основе подходов по затратам, сравнимым продажам и доходу, к единственной итоговой величине стоимости оцениваемого имущества. Для большей достоверности проводится проверка всех данных и методов оценки. Основой при сведении всех данных должен быть причинно-следственный анализ.

Затратный метод хорошо работает для только что построенных объектов или объектов, не законченных строительством. Этот метод незаменим для объектов не приносящих доход (например, правительственные объекты, сооружения). Малое значение этому методу придаётся при оценке доходных объектов, так как приводит к значительному искажению стоимости объекта.

Результатам, полученным по методу прямого сравнительного анализа продаж, придается наибольший вес при хорошо развитом рынке недвижимости.

Доходный метод считается наиболее надёжным для приносящей доход недвижимости, особенно, если не требуется значительная реконструкция и ремонт.

Окончательная оценка должна быть округлена, что показывает степень точности. Этим оценщик показывает, с какой степенью точности он уверен в результате своего труда. Причем, на практике, чем дороже объект, тем точнее нужно указывать сумму.

Согласование результатов в оценке недвижимости

В результате расчетов рыночной стоимости гаража по трем методам получены следующие результаты:

Метод оценки

Стоимость, руб

Затратный метод

1196000

Метод сравнительного анализа продаж

1157000

Доходный метод

1127000

Рыночную стоимость объекта оценки устанавливаем как средневзвешенную сумму результатов, полученных различными методами оценки.

Наиболее реальную картину о стоимости объекта дает метод аналогичных продаж. Основополагающим фактором при купле-продаже недвижимости является соотношение уровня спроса и предложения. Несмотря на отсутствие информации по абсолютно аналогичным объектам, усредненные данные о сопоставимых продажах отражают объективный уровень цен. Вес результата, полученного методом сопоставимых продаж примем на уровне 0,5.

Реальную картину о рыночной стоимости объекта оценки дает затратный метод, его вес определяется равным 0,3. Этот метод позволяет учесть сложившийся на момент оценки уровень рыночных цен на возведение аналогичных объектов, причем скорректированный на фактическое состояние объекта.

Наименее достоверную картину о рыночной стоимости объекта оценки дает доходный метод. Связано это с тем, что сдача в аренду торговых комплексов и помещений имеет ограниченный характер. Минусом этого метода является и прогнозный характер расчетов. Для целей настоящей оценки вес результата, полученного доходным методом, определяется равным 0,2.

Значимость каждого метода в текущих условиях на рынке недвижимости устанавливается следующим образом:

1. Затратный метод 0,3.

2. Метод сравнительного анализа продаж – 0,5;

3. Доходный метод - 0,2;

Следовательно, рыночная стоимость здания магазина определится следующим образом:

С= 1196000*0,3 + 1157000*0,5 + 1127000*0,2 = 1162700 рублей.

Библиографический список:

  1. Федеральный закон «Об оценочной деятельности в Российской Федерации» от 29.07.98 №135-ФЗ

  2. Генри С. Харрисон. Оценка недвижимости Учеб. пособие, М.: Российское Общество Оценщиков, 1994 г. -230 с.

  3. Оценка рыночной стоимости недвижимости. М.: Российское Общество Оценщиков: Метод. разработка. ч.1, 1995 г.-92 с.

  4. Оценка рыночной стоимости недвижимости. Учебное и практическое пособие. – М.: Дело, 1998. – 384с.

  5. Попов Г.В. Основы оценки недвижимости, М.: РОО, 1995.

  6. Правила оценки физического износа жилых зданий ВСН 53-86 (р), М.: Госгражданстрой, 1990.

  7. Тарасевич Е.И. Методы оценки недвижимости. Спб.: ТОО «Технобалт», 1995.

  8. Фридман Дж., Ордуэй Н. Анализ и оценка приносящей доход недвижимости/ Пер. с англ. М.: Дело, 1995.

  9. Экспертиза правового положения объектов недвижимости :-M.: Российское Общество Оценщиков: Метод. разработка, 1994 г. -8б с.

Разработали: канд. экон. наук Федорова Т.А.,

Рылеев А.В.

Рассмотрено на заседании кафедры ФиМ

Протокол № ______ от "___" _______________

Заведующий кафедрой, канд. экон. наук,

профессор

__________Е.А. Федорова

Нормоконтролер,

ответственный по стандартизации на кафедре ФиМ

"____" _______________

Тир. ______ экз. Зак. ________

Согласование результатов и составление отчета в оценке предприятия

об оценке. ................................................................................................................128

5.1. Согласование результатов оценки,

полученных каждым из трех подходов. ...............................................................130

5.2. Учет степени контроля.....................................................................................135

5.3. Скидка за низкую ликвидность.......................................................................140

5.4. Последовательность применения

скидок и премий .....................................................................................................141

5.5. Содержание отчета об оценке ........................................................................142

Вопросы ...................................................................................................................145

Литература...............................................................................................................145

Задачи ......................................................................................................................145

Тест...........................................................................................................................147

Приложение ............................................................................................................149

Глоссарий ................................................................................................................150

Список рекомендуемой литературы......................................................................156

Ответы к тестам и задачам .....................................................................................15

Введение

В основе управления бизнесом лежит разработка стратегии, ее адаптация е специфике компании и реализация. С понятием стратегии тесно связано понятие модели бизнеса (бизнес-модели) – этим термином обозначается способ получения прибыли от деятельности компаний.

Бурное развитие рыночной экономики в России к традиционным рынкам сырья, товаров, рабочей силы добавило еще один – рынок предприятий.

Любой инвестор имеет выбор: развивать бизнес с нуля или купить существующую компанию (долю в ней).

По данным Информационного агентства «Слияния и поглощения в России» (www.mergers.ru), в 2005 году на отечественном рынке было совершено 1295 сделок по слияниям и поглощениям совокупной стоимостью около 60 миллиардов долларов (почти 8% от ВВП России). И это лишь самые крупные сделки, случаев продажи небольших предприятий было в десятки раз больше.

Такое стремительное развитие инвестиционного рынка предъявляет новые требования к специалистам, занятым в финансовой сфере.

Для любого инвестора, намеревающегося приобрести бизнес, важно проведение квалифицированного анализа и достоверной оценки. Сначала следует выбирать и анализировать внешнее окружение существующего или потенциального объекта, затем – сам объект.

Игнорирование элементов человеческого фактора, производственного процесса и технологий вызывает различного рода ошибки и провалы.

Деятельность компаний в этой области ориентирована либо на инновации, либо на эффективность. Поэтому инновации и эффективность находятся на равных в одной цепочке. Без инноваций не будет эффективности.

Оценка стоимости предприятия актуальнейшее направление финансового менеджмента, и со временем ее значимость будет только возрастать. Но и сводить финансовый менеджмент только к инвестиционным решениям не совсем правомерно, так как финансовый менеджмент направлен, прежде всего, на управление денежным потоком и оборотными средствами. Иными словами, финансовый менеджмент – это специфическая система управления денежными потоками (непрерывный во времени оборот денег), движением финансовых ресурсов и соответствующей организацией финансовых отношений.

Согласование результатов оценки

Согласование результатов и составление отчета об оценке

Изучив данную тему, студент должен:

знать:

  • методологию согласования результатов оценки при использовании нескольких подходов к оценке;

  • основные скидки и премии, используемые в оценке бизнеса;

  • методологию учета степени контроля при оценке пакетов акций;

  • требования законодательства к содержанию отчета об оценке;

  • основные разделы отчета об оценке и их содержание;

уметь:

  • обобщить результаты оценки, полученные тремя подходами;

  • определить размер премии за контроль (скидки за неконтрольный характер) при оценке пакетов акций;

  • составить отчет об оценке бизнеса;

приобрести навыки:

– согласования результатов оценки и составления отчета об оценке.

При изучении темы 5 необходимо акцентировать внимание на следующих понятиях: степень контроля, премия за контроль; отчет об оценке бизнеса.

План семинарских занятий: использование метода анализа иерархий для согласования результатов оценки. Определение поправки на степень контроля при оценке пакета акций. Определение поправки на низкую ликвидность. Основные разделы отчета об оценке бизнеса, их содержание. Составление отчета об оценке бизнеса. Решение задач.

Итак, мы получили значения стоимости бизнеса оцениваемой компании, определенные в рамках доходного, затратного и сравнительного подходов.

Теперь перед оценщиком стоят три задачи:

– несколько значений стоимости, полученных разными подходами, «свести» в одно;

– применить необходимые поправки (на степень контроля, на степень ликвидности) и получить итоговое значение рыночной стоимости;

– составить отчет об оценке.

Согласование результатов оценки

Подход к оценке

Результат подхода, руб.

Вес метода

Взвешенный результат, руб.

Затратный подход

2 650 000

0,1

2 650 000

Доходный подход

0

0

0

Рыночная стоимость 100% доли УК

2 650 000

2 650 000

7. Итоговое заключение

С учетом вышеизложенного, рыночная стоимость 100% доли официально зарегистрированного и полностью оплаченного Уставного капитала ООО «» по состоянию на 02 июня 2014 года составляет

2 650 000 рублей

(Два миллиона шестьсот пятьдесят тысяч) рублей.

Директор ООО «Фон

Эксперт Оценщик И.И.Каюмов

ПЕРЕЧЕНЬ ИСПОЛЬЗУЕМОЙ ЛИТЕРАТУРЫ

  1. «Руководство по оценке стоимости бизнеса» Фишмен Джей, Пратт Шэннон, Гриффит Клиффорд, Уилсон Кейт; Пер. с англ. Л.И. Лопатников. – М.: ЗАО «КВИНТО-КОНСАЛТИНГ», 2000 г.

  2. Федеральный закон «Об оценочной деятельности в Российской Федерации», № 135-ФЗ, от 29.07.98 г.

  3. Гражданский кодекс Российской Федерации. Полный текст, «ГНОМ-ПРЕСС», Москва, 1997 г.

  4. Стандарты оценки, обязательных к применению субъектами оценочной деятельности, утвержденными постановлением правительства РФ от 06.07.01 № 519.

  5. «Введение в теорию оценки недвижимости», B.C. Болдырев, А.С. Галушка, А.Е. Федоров, Москва, 1998 г.

  6. «Оценка рыночной стоимости недвижимости», под редакцией проф. В.М. Рутгайзера, Москва, Дело, 1998 г.

  7. «Организация и методы оценки предприятия (бизнеса)», под редакцией проф. В.И. Кошкина, «ИКФ «ЭКМОС», 2002г.;

  8. «Оценка недвижимости», под редакцией проф. А.Г. Грязновой, «Финансы и статистика», 2002 г.;

  9. «Оценка недвижимости», Л.Н. Тэпман, «Юнити», 2002 г.;

  10. «Финансовый анализ: управление капиталом, выбор инвестиций, анализ отчетности», В.В. Ковалев, «Финансы и статистика», 1999 г.;

  11. «Как читать баланс», В.В. Ковалев, В.В. Патров, «Финансы и статистика», 1998 г.;

  12. «Оценка недвижимости и бизнеса», М.А. Федотова, «ЭКМОС», 2000 г.;

  13. «Оценка рыночной стоимости машин и оборудования», под редакцией проф. В. Рутгайзера, «Дело», 1998 г.;

  14. «Оценка бизнеса», В.З. Черняк, «Финансы и статистика», 1996 г.;

  15. «Оценка бизнеса: стандарты и методы, информационная база, оценка стоимости, имущества и финансового состояния предприятия», В. Есипов, «Питер», 2001 г.;

  16. «Оценка стоимости предприятия (бизнеса)», под редакцией Н.А. Абдуллаева, Н.А. Колайко, «ЭКМОС», 2000 г.;

  17. «Оценка предприятий: имущественный подход», В.В. Григорьев, «Дело», 1998 г.;

  18. «Финансы предприятий», А.Д. Шеремет, «Инфра-М», 1997 г.;

  19. «Финансовый анализ», В.Г. Артеменко, «ДИС», 1997 г.;

  20. «Анализ хозяйственной деятельности предприятия», Г.В. Савицкая, «Новое знание», 1999 г.;

  21. «Сколько стоит фирма?», Ф. Модильяни, «Дело», 1999 г.;

  22. «Оценка бизнеса: управление стоимостью предприятия», С.В. Валдайцев, «Юнити», 2001 г.;

  23. «Оценка бизнеса», под редакцией проф. А.Г. Грязновой, «Финансы и статистика», 1999 г.;

  24. «Анализ и оценка приносящей доход недвижимости», Д. Фридман, «Дело», 1997 г.;

  25. «Практические аспекты применения доходного подхода к оценке российских предприятий», Г.В. Булычев, 1999 г.;

  26. «Стоимость компаний: оценка и управление», Т. Коупленд, «Олимп-бизнес», 2000 г.;

  27. «Основы корпоративных финансов», С. Росс, М, 2000 г.;

  28. «Управление инвестициями», Ф. Фбоцци, «Инфра-М», 2000 г.;

  29. Журналы «Вопросы оценки» Российского общества оценщиков.

Согласование результатов оценки машин и оборудования

В результате определения остаточной (с учетом износа) рыночной стоимости (с НДС) тремя подходами были получены следующие результаты:

Таблица 4 – Стоимость объекта оценки, полученная тремя подходами

Наименование подхода

Полученная стоимость (с НДС), руб.

Сравнительный подход

132 311

Затратный подход

285 265

Доходный подход

-

Для согласования промежуточных результатов и выведения итоговой величины рыночной стоимости использовался метод рангов. Ранжирование проводилось по семи основным критериям качества результатов оценки, которые примерно равноценны по своей значимости:

1) соответствие оцененной с помощью данного подхода стоимости цели оценки;

2) преобладание исходных данных из надежных источников;

3) преобладание строгих формализованных процедур над интуитивными оценками и допущениями;

4) степень приближенности результата к действительно рыночной стоимости на момент оценки;

5) использование дублирующих сведений из разных источников для подтверждения результатов отчета;

6) способность метода учитывать специфические особенности объекта, влияющие на его стоимость;

7) способность учитывать конъюнктуру рынка.

Результаты ранжирования приведены в таблице 5.

В ней экспертно по критериям каждому результату присвоили стандартный ранг, порядок расчета которого такой: если два результата равноценны и делят между собой соответствующие места, то их ранг равен среднему значению этих мест.

Стандартные ранги переводят в коэффициенты весомости по формуле:

(10)

Где:

– сумма стандартных рангов по всем критериям и подходам (42);

– суммарный ранг у результата, полученногоi-м подходом.

Таблица 5 – Ранжирование результатов оценки стоимости

Критерий качества

Результат, полученный сравнительным подходом

Результат, полученный затратным подходом

Результат, полученный доходным подходом

Итого

1. Соответствие оцененной с помощью данного подхода стоимости цели оценки

2

2

-

4

2. Преобладание исходных данных из надежных источников

1

2

-

3

3. Преобладание строгих формализованных процедур над интуитивными оценками и допущениями

1

1

-

2

4. Степень приближенности результата к действительно рыночной стоимости на момент оценки

1

2

-

3

5. Использование дублирующих сведений из разных источников для подтверждения результатов отчета

1

2

-

3

6. Способность метода учитывать специфические особенности объекта, влияющие на его стоимость

1

2

-

3

7. Способность учитывать конъюнктуру рынка

2

1

-

3

Суммарный ранг

9

12

-

21

Коэффициент весомости

0,43

0,57

0

1,00

Результаты сравнительного, затратного и доходного подходов получили коэффициенты весомости: 0,43; 0,57; 0,00 соответственно, рассчитанные по формуле (10).

Средневзвешенная итоговая величина рыночной стоимости поломоечной машины RA55K40:

Таблица 6 - Итоговая рыночная стоимость объекта оценки

Наименование подхода

Стоимость, руб.

Весовой коэффициент, %

Взвешенное значение, руб.

Сравнительный

132 311

43 %

56 894

Затратный

285 265

57 %

162 601

Доходный

-

0 %

-

Итог рыночной стоимости объекта оценки (без НДС), руб.

100%

219 495

Итог рыночной стоимости объекта оценки (с НДС при ставке 18%), руб.

118%

179 986

СПИСОК ИСПОЛЬЗОВАННЫХ ИСТОЧНИКОВ

Материалы, предоставленные заказчиком

  1. Описание поломоечной машины RA55K40.

Нормативно-правовые документы

  1. Российская Федерация. Законы.Федеральный закон от 29.07.1998 №135-ФЗ «Об оценочной деятельности в Российской Федерации» (в ред. 21.07.2014).

  2. Российская Федерация. Законы.Федеральный закон от 27.07.2006 №157-ФЗ «О внесении изменений в Федеральный закон «Об оценочной деятельности в Российской Федерации» (в ред. от 02.07.2013).

  3. Постановление Правительства РФ от 01.01.2002 № 1 «О классификации основных средств, включаемых в амортизационные группы» (ред. от 10.12.2010).

  4. Постановление Правительства РФ от 30.11.2001 №830 «О Таможенном тарифе Российской Федерации и Товарной номенклатуре, применяемой при осуществлении внешнеэкономической деятельности» (ред. от 08.12.2010).

  5. Федеральный стандарт оценки N 1 «Общие понятия оценки, подходы к оценке и требования к проведению оценки (ФСО N 1)» утвержден приказом Минэкономразвития РФ от 20.07. 2007 N 256 (с изм. и доп. 22.10.2014).

  6. Федеральный стандарт оценки «Цель оценки и виды стоимости (ФСО N 2)» утвержден приказом Минэкономразвития РФ от 20.07. 2007 N 255 (с изм. и доп. 22.10.2014).

  7. Федеральный стандарт оценки N 3 «Требования к отчету об оценке (ФСО N 3)» утвержден приказом Минэкономразвития РФ от 20.07. 2007 N 254.

  8. СТО РОО 20-01-96 «Общие понятия и принципы оценки» п.3.3; п.3.7; п.4.2.-п.4.5; п.6.4-п.6.5; параграф 7; параграф 8 (исключая п.8.1);

  9. СТО РОО 22-01-96 «Оценка производственных средств, машин и оборудования» п.3.1; параграф 5; (исключая п.5.3.7); п.6.1;п.6.2.5; п.6.2.8.; п.6.2.9-6.2.16; п.6.3.1-6.3.3;

  10. СТО РОО 22-02-98 «Оценка машин и оборудования. Общие требования» параграф 3; 4; 6; параграф 7(кроме п.7.1);

  11. СТО РОО 22-03-98 «Оценка технологических (рабочих) машин и оборудования промышленности»; параграф 3; п.5.2.1;п.5.3.1; п.6.2.

Специальная и учебно-методическая литература по оценке

  1. Васляев М.А. Оценка бизнеса и оценочная деятельность, - конспект лекций. – М.: Приор-издат, 2011. – 224 с.

  2. Грязнова А.Г. «Оценка бизнеса», - М.: Финансы и статистика, 2011. – 512 с.

  3. Ковалев А.П. «Оценка машин, оборудования и транспортных средств», - М.: Интерреклама, 2013. – 488 с.

  4. Попеско А.И., Ступин А.В., Чесноков С.А. «Износ технологических машин и оборудования при оценке их рыночной стоимости», - Учеб. пособие – М.: РОО, 2012. – 242 с.

  5. Симионова Н.Е. Методы оценки имущества: бизнес, недвижимость, земля, машины, оборудование и транспортные средства, - Ростов-на-Дону: Феникс, 2012. – 368 с.

Интернет-ресурсы

  1. Портал «Appraiser.Ru Вестник оценщика» [сайт]. URL: http://www.appraiser.ru/

  2. Портал по оценочной деятельности [сайт]. URL: http://www.valnet.ru/

  3. Российское общество оценщиков [сайт]. URL: http://www.mrsa.ru/

  4. Консультационная группа ДЕПЕРТАМЕНТ ОЦЕНКИ [сайт]. URL: http://dpo.ru/

  5. Информационный портал для оценщиков [сайт]. URL: http://www.omegaocenka.ru

  6. Сайт компании-производителя COLUMBUS REINIGUNGSMASCHINEN G. STAEHLE GMBH & CO. KG [сайт]. URL: http://www.columbus-clean.com

  7. Сайт компании «Компания инноваций и технологий» [сайт]. URL: http://www.kiit.ru/katalog/brands/fimap/

  8. Сайт Минэкономразвития [сайт]. URL: http://www.economy.gov.ru

  9. Сайт Федеральной службы государственной статистики [сайт]. URL: http://www.gks.ru

  10. Продажа поломоечной машины RA 55 K 40 [сайт]. URL: http://www.moyker.ru/catalog/polomoechnye-mashiny/setevoy/1279/

  11. Продажа поломоечной машины RA 55 K 40 [сайт]. URL: http://www.aquasila.ru/catalog/r30/1575.html

  12. Продажа поломоечной машины RA 55 K 40 [сайт]. URL: http://stocktools.ru/item.php?id=40106

  13. Продажа поломоечной машины RA 55 K 40 [сайт]. URL: http://cleantec.ru/catalog/polomoechnye_mashiny/polomoechnye_mashiny_pitanie_220_v/polomoyki_dlya_srednikh_i_bolshikh_ploshchadey/columbus_ra_55_k_40/

40

Согласование результатов оценки объекта недвижимости

В результате расчетов рыночной стоимости гаража по трем методам получены следующие результаты:

Метод оценки

Стоимость, руб

Затратный метод

1196000

Метод сравнительного анализа продаж

1157000

Доходный метод

1127000

Рыночную стоимость объекта оценки устанавливаем как средневзвешенную сумму результатов, полученных различными методами оценки.

Наиболее реальную картину о стоимости объекта дает метод аналогичных продаж. Основополагающим фактором при купле-продаже недвижимости является соотношение уровня спроса и предложения. Несмотря на отсутствие информации по абсолютно аналогичным объектам, усредненные данные о сопоставимых продажах отражают объективный уровень цен. Вес результата, полученного методом сопоставимых продаж примем на уровне 0,5.

Реальную картину о рыночной стоимости объекта оценки дает затратный метод, его вес определяется равным 0,3. Этот метод позволяет учесть сложившийся на момент оценки уровень рыночных цен на возведение аналогичных объектов, причем скорректированный на фактическое состояние объекта.

Наименее достоверную картину о рыночной стоимости объекта оценки дает доходный метод. Связано это с тем, что сдача в аренду торговых комплексов и помещений имеет ограниченный характер. Минусом этого метода является и прогнозный характер расчетов. Для целей настоящей оценки вес результата, полученного доходным методом, определяется равным 0,2.

Значимость каждого метода в текущих условиях на рынке недвижимости устанавливается следующим образом:

1. Затратный метод 0,3.

2. Метод сравнительного анализа продаж – 0,5;

3. Доходный метод - 0,2;

Следовательно, рыночная стоимость здания магазина определится следующим образом:

С= 1196000*0,3 + 1157000*0,5 + 1127000*0,2 = 1162700 рублей.

Библиографический список:

  1. Федеральный закон «Об оценочной деятельности в Российской Федерации» от 29.07.98 №135-ФЗ

  2. Генри С. Харрисон. Оценка недвижимости Учеб. пособие, М.: Российское Общество Оценщиков, 1994 г. -230 с.

  3. Оценка рыночной стоимости недвижимости. М.: Российское Общество Оценщиков: Метод. разработка. ч.1, 1995 г.-92 с.

  4. Оценка рыночной стоимости недвижимости. Учебное и практическое пособие. – М.: Дело, 1998. – 384с.

  5. Попов Г.В. Основы оценки недвижимости, М.: РОО, 1995.

  6. Правила оценки физического износа жилых зданий ВСН 53-86 (р), М.: Госгражданстрой, 1990.

  7. Тарасевич Е.И. Методы оценки недвижимости. Спб.: ТОО «Технобалт», 1995.

  8. Фридман Дж., Ордуэй Н. Анализ и оценка приносящей доход недвижимости/ Пер. с англ. М.: Дело, 1995.

  9. Экспертиза правового положения объектов недвижимости :-M.: Российское Общество Оценщиков: Метод. разработка, 1994 г. -8б с.

Разработали: канд. экон. наук Федорова Т.А.,

Рылеев А.В.

Рассмотрено на заседании кафедры ФиМ

Протокол № ______ от "___" _______________

Заведующий кафедрой, канд. экон. наук,

профессор

__________Е.А. Федорова

Нормоконтролер,

ответственный по стандартизации на кафедре ФиМ

"____" _______________

Тир. ______ экз. Зак. ________

Согласование результатов оценки при оценке стоимости бизнеса

Таблица 2.10.

Матрица анализа иерархий Томаса Саати

Параметры

С З.П.

С С.П.

С Д.П.

Сумма оценок по строкам

Доля влияния

С З.П.

1

С З.П./ С С.П.

С З.П./ С Д.П.

? С З.П.Y.

? С З.П.Y./ ? СI.Y.

С С.П.

С С.П./ С З.П.

1

С С.П./ С Д.П.

? С С.П.Y.

? С С.П.Y./ ? СI.Y.

С Д.П.

С Д.П./ С З.П.

С Д.П./ С С.П.

1

? С Д.П.Y.

? С Д.П.Y./ ? СI.Y.

? СI.Y.

Таблица 2.11.

Результаты согласования результатов оценки.

Параметры

С З.П.

С С.П.

С Д.П.

Сумма оценок по строкам

Доля влияния, %

С З.П.

1

0,056

0,096

1,152

3,4

С С.П.

17,72

1

1,71

20,43

60,9

С Д.П.

10,37

0,59

1

11,96

35,7

33,542

100

Результат согласования

0,034 · 9485 + 0,609 · 168109 + 0,357 · 98360 = 137815 тыс.руб.

Исходя из приведенных аналитических расчетов, объект стоимостной оценки – омское предприятие строительной промышленности ООО «Бетон Плюс» имеет рыночную стоимость в размере 137815 тыс.руб.

Приложение 1

Бухгалтерский баланс

На 31 декабря 2010 г.

БУХГАЛТЕРСКИЙ БАЛАНС (Форма №1 по ОКУД согласно Приказу № 67 от 22.06.2003 г.)

Код стр.

На начало отчётного года

На конец отчётного периода

АКТИВ

I. ВНЕОБОРОТНЫЕ АКТИВЫ

Нематериальные активы

110

74

89

Основные средства

120

4 532

4 731

Незавершенное строительство

130

0

0

Доходные вложения в материальные ценности

135

0

0

Долгосрочные финансовые вложения

140

0

0

Отложенные налоговые активы

145

0

0

Прочие внеоборотные активы

150

28

24

ИТОГО по разделу I

190

4 634

4 844

II. ОБОРОТНЫЕ АКТИВЫ

Запасы, в том числе

210

31 008

39 731

сырье, материальные и другие аналогичные ценности

9 721

13 598

животные на выращивании и откорме

0

0

затраты в незавершенном производстве (издержках обращения)

0

0

готовая продукция и товары для перепродажи

19 090

25 699

товары отгруженные

0

0

расходы будущих периодов

2 197

434

прочие запасы и затраты

0

0

Налог на добавленную стоимость по приобретенным ценностям

220

22

598

Дебиторская задолженность (платежи по которой ожидаются более чем через 12 месяцев после отчетной даты)

230

0

0

в том числе покупатели и заказчики

0

0

Дебиторская задолженность (платежи по которой ожидаются в течение 12 месяцев после отчетной даты)

240

17 229

17 244

в том числе покупатели и заказчики

9 740

7 633

Краткосрочные финансовые вложения

250

15 945

15 824

Денежные средства

260

585

271

Прочие оборотные активы

270

1 024

1415

ИТОГО по разделу II

290

65 813

75 083

БАЛАНС (сумма строк 190+290)

300

70 447

79 927

ПАССИВ

Код стр.

III. КАПИТАЛ И РЕЗЕРВЫ

Уставный капитал (85)

410

10

10

Собственные акции, выкупленные у акционеров

0

0

Добавочный капитал (87)

420

0

0

Резервный капитал, в том числе

430

0

0

резервные фонды, образованные в соответствии с законодательством

0

0

резервы, образованные в соответствии с учредительными документами

0

0

Нераспределенная прибыль (непокрытый убыток)

470

1238

1617

ИТОГО по разделу III

490

1 248

1 627

IV. ДОЛГОСРОЧНЫЕ ОБЯЗАТЕЛЬСТВА

Займы и кредиты

510

140

5901

Отложенные налоговые обязательства

515

88

0

Прочие долгосрочные обязательства

520

0

0

ИТОГО по разделу IV

590

228

5 901

V. КРАТКОСРОЧНЫЕ ОБЯЗАТЕЛЬСТВА

Займы и кредиты

610

13485

6904

Кредиторская задолженность, в том числе

620

55444

63954

поставщики и подрядчики

48722

54698

задолженность перед персоналом организации

0

255

задолженность перед государственными внебюджетными фондами

82

114

задолженность по налогам и сборам

401

1049

прочие кредиторы

6 239

7838

Задолженность участникам (учредителям) по выплате доходов

630

0

0

Доходы будущих периодов

640

0

0

Резервы предстоящих расходов

650

0

0

Прочие краткосрочные обязательства

660

42

1542

ИТОГО по разделу V

690

68 971

72 400

БАЛАНС (сумма строк 490+590+690)

700

70 447

79 928

Согласование результатов оценки сравнительным доходным и затратным подходами

полученных каждым из трех подходов

Для усреднения нескольких значений стоимости, полученных разными подходами, уместно опять воспользоваться взвешиванием, присвоив свой вес каждому из них.

В условиях неразвитого фондового рынка, непрозрачности информации о деятельности компаний и прочих атрибутах еще формирующейся рыночной экономики России, значения стоимости, полученные каждым из подходов, могут различаться значительно. Поэтому правильно оценить вес конкретного подхода крайне важно.

Пример.

В ходе проведения оценки оценщик рассчитал стоимость бизнеса «А» затратным, доходным и сравнительным подходами. Результаты следующие:

Доходный – 1 000 000 у.е.

Затратный – 200 000 у.е.

Сравнительный – 400 000 у.е.

Очевидно, что в рассматриваемом примере даже небольшое изменение веса, присваиваемого доходному подходу, значительно повлияет на итоговое значение стоимости.

Присвоение весов подходам оценщик должен подробно и убедительно обосновать в отчете.

Для согласования результатов широкое применение получил «Метод анализа иерархий» Т. Л. Саати – метод согласования результатов, полученных с использованием различных методов оценки и основанный на декомпозиции проблемы согласования результатов и ее представления в виде иерархии.

Для целей согласования результатов используются трехуровневые иерархии, имеющие следующий вид:

Верхний уровень – цель – согласованная оценка рыночной стоимости объекта оценки.

Средний уровень – критерии согласования:

– возможность отразить действительные намерения потенциального инвестора и продавца;

– тип, качество, обширность данных, на основе которых проводился анализ;

– способность учитывать специфические особенности объекта, влияющие на его стоимость (местонахождение, размер, потенциальная доходность);

– влияние принятых ограничений и суждений на точность результата в методе.

Нижний уровень – альтернативы – результаты оценки, полученные различными подходами.

После декомпозиции проблемы согласования результатов и ее представления в виде иерархии выполняется следующая последовательность действий.

Выявляются приоритеты в критериях путем их попарного сравнения. Для этого строится обратно симметричная матрица, а для попарного сравнения используется следующая шкала отношений:

Одинаковая важность – значение параметра 1;

Незначительное преимущество – значение параметра 3;

Значительное преимущество – значение параметра 5;

Явное преимущество – значение параметра 7;

Абсолютное преимущество – значение параметра 9.

2, 4, 6, 8 – промежуточные значения.

На основании определенных экспертом параметров, строятся матрицы попарных сравнений

A1

A2

An

А1

1

a12

a1n

А2

a21

1

a2n

1

Аn

an1

an2

1

где A1… An – критерии согласования;

аij – параметр превосходства i-го параметра над j-ым (то есть если аij больше 1, то i-й параметр имеет большую важность, чем j-й, если меньше 1, то наоборот).

Матрица попарных сравнений является обратно симметричной, то есть аij = 1 / аij.

Матрицы попарных сравнений строятся для каждого из выбранных критериев, эксперт (оценщик) определяет, насколько результат оценки, полученный одним подходом, по данному критерию предпочтительнее, чем результат оценки, полученный другим подходом.

Отдельная матрица составляется экспертом о приоритетах важности критериев друг перед другом.

Пример.

Оценщиком рассчитана стоимость компании А доходным, затратным и сравнительным подходом.

Доходный – 500 000 у.е.

Затратный – 400 000 у.е.

Сравнительный – 300 000 у.е.

Известно, что предприятие занимается уникальным производством, близких аналогов нет. Доходы за предыдущие периоды нестабильны. При прогнозировании будущих доходов оценщик использовал разработанные на предприятии бизнес-планы. По каждому из критериев оценщик составляет матрицу попарных сравнений:

  1. Отражение намерений покупателя (потребителя оценки)

    Д

    З

    С

    Вектор

    Д

    1

    5

    3

    0,65

    З

    1/5

    1

    3

    0,22

    С

    1/3

    1/3

    1

    0,13

  2. Качество исходных данных

    Д

    З

    С

    Вектор

    Д

    1

    1/5

    1

    0,15

    З

    5

    1

    4

    0,69

    С

    1

    1/4

    1

    0,16

  3. Способность учитывать некоторые особенности бизнеса

    Д

    З

    С

    Вектор

    Д

    1

    5

    4

    0,69

    З

    1/5

    1

    1

    0,15

    С

    1/4

    1

    1

    0,16

  4. Влияние принятых ограничений

Д

З

С

Вектор

Д

1

1/5

1

0,15

З

5

1

4

0,69

С

1

1/4

1

0,16

После составления матриц попарных сравнений задача заключается в отыскании вектора (w1, w2, w3), который бы сводил бы оценки экспертов в присваиваемые каждому подходу веса (w1+w2 + w3 = 1).

Один их способов составления вектора – нахождение собственного вектора матрицы попарных сравнений (столбец «вектор» в приведенных выше таблицах – собственный вектор матрицы).

Всякий ненулевой вектор X называется собственным вектором матрицы А, если найдется такое число ?, что выполняется равенство:

A ? O = ? ? O.

Число ? называется собственным значением матрицы A, соответствующим собственному вектору X. Мы не будем подробно останавливаться на способах отыскания собственного вектора, это удобно делать с помощью программы Ms Excel.

Теперь оценщик составляет матрицу попарных сравнений значимости критериев:

Отражение намерений

Качество данных

Учет специфики

Влияние ограничений

Вектор

Отражение намерений

1

1/3

1

1/2

0,13

Качество данных

3

1

4

3

0,51

Учет специфики

1

1/4

1

1/3

0,11

Влияние ограничений

2

1/3

3

1

0,25

Теперь из собственных векторов матриц попарных сравнений строится матрица A?:

Отражение намерений

Качество данных

Учет специфики

Влияние ограничений

Д

0,65

0,15

0,69

0,15

З

0,22

0,69

0,15

0,69

С

0,13

0,15

0,16

0,16

Полученная матрица умножается на собственный вектор матрицы попарных сравнений значимости критериев:

Вектор

0,13

0,51

0,11

025

И получается вектор w?, который содержит итоговые веса каждого из трех подходов к оценке:

Д

0,27

З

0,57

С

0,16

Теперь мы можем рассчитать согласованное значение стоимость бизнеса:

Р = 500 000 ? 0,27 + 400 000 ? 0,57 + 300 000 ? 0,16 = 411 000 у.е.

Согласование результатов оценки стоимости недвижимости - теория вопроса

Согласование – это процесс, в ходе которого для достижения окончательной оценки стоимости выносятся определенные логические суждения7. Может быть использована статистическая обработка результатов вычислений, обдумывается диапазон значений, но клиенту, как правило, выдается фиксированная величина. В соответствии с американскими стандартами механическое усреднение результатов оценки недопустимо, поэтому различные специалисты предлагают использовать математические методы при согласовании результатов оценки, в частности метод квалиметрии8и метод анализа иерархий (МАИ)9.

Фактически оба метода основываются на известном совете Рене Декарта: если перед вами стоит сложная задача, то разбейте ее на подзадачи, каждую из которых в свою очередь разбейте еще на менее сложные подзадачи и т.д. — до тех пор, пока не останутся такие простые подзадачи, которые вы уже сможете решить. Оба метода рассматривают эксперта в качестве некого «измерительного прибора» и используют так называемое правило «магического числа 7 ± 2», которое гласит, что эксперт чаще всего не способен различать более 7 градаций10.

Приоритет разработки метода квалиметрии принадлежит отечественным ученым, в то время как авторами МАИ являются американские исследователи.

При использовании квалиметрического метода в соответствии с рекомендациями Г.Г.Азгальдова согласование производится в следующей последовательности:

1. Проанализировать надежность вычислений стоимости, полученных при трех подходах, с учетом надежности исходной информации, использовавшейся при проведении расчетов в каждом из подходов, количества и характера допущений (явных и неявных), используемых оценщиком, и др. существенных факторов.

2. Выбрать тот подход, при применении которого надежность определения стоимости представляется оценщику в данной конкретной оценке наиболее высокой.

3. Присвоить этому подходу ранг R= 100%.

4. Выбрать из оставшихся подходов тот, который обеспечивает большую надежность при оценивании данного конкретного объекта.

5. Сравнивая его надежность с надежностью того подхода, который получил ранг R=100%, оценщик должен определить его ранг в процентах.

Например, в конкретных условиях может оказаться, что оценщик считает надежность доходного подхода на 30% ниже, чем сравнительного (для которого он ранее принял Rс = 100%). Тогда он назначает Rд = 100% - 30% = 70%.

6. Повторить процедуру 5 для оставшегося подхода. Например, оценщик считает, что надежность затратного подхода в данном конкретном случае на 40% ниже, чем подхода сравнительного. Тогда он должен назначить Rз = 100% - 40% = 60%.

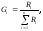
7. Пронормировать назначенные ранги и перевести их, таким образом, в коэффициенты весомости по формуле

(63)

Gз. = 60 / (100 + 70 + 60) = 60 / 230 = 0,26,

Gс = 100/230 = 0,43,

Gд = 70/230 = 0,31.

8. Провести проверку. Должно быть Gi= 1,00.

9. Вычислить итоговую взвешенную текущую стоимость.

Пусть для нашего примера имеем:

Сз = 1550000 руб.,

Сс =1240000 руб.,

Сд = 1880000 руб.

Тогда средневзвешенная стоимость будет равна:

Ссрв =1550000 х 0,26 + 1240000 х 0,43 + 1880000x0,31 = 403000 + 533200 + 582800 = 15190000 руб.

С целью повышения достоверности результатов оценки к процедуре согласования необходимо привлекать экспертную группу в составе как минимум 2-4 человек. В этом случае погрешность оценки уменьшится по сравнению с погрешностью оценки одним оценщиком. Это утверждение основывается на многовековой практике применения экспертного метода в различных сферах человеческой деятельности.

В этом случае величины R принимаются как средние (не взвешенные!) арифметические из оценок отдельных экспертов и определяются по формуле

(64)

где j= 1, ...,n (n— количество экспертов в группе).

Если оценщику позволяет время, то можно построить более сложные деревья (используя технологию построения деревьев, описываемую в пособиях по квалиметрии). Например, показать связь между надежностью определения стоимости каждым из трех подходов (затратным, сравнительным, доходным) и некоторыми характеристиками той конкретной ситуации, в которой приходится действовать оценщику.

Затем методами квалиметрии (описанными в различных пособиях по квалиметрии11) квантифицировать отдельные свойства (отдельные ветки дерева) применительно к каждому из трех анализируемых подходов. Это позволит найти обобщенное количественное выражение степени надежности определения стоимости.

Процедура согласования результатов оценки методом анализа иерархии (МАИ) производится следующим образом.

1. Структурируется проблема согласования результатов в виде иерархии.

В данной иерархии верхний уровень – цель (например, определение рыночной стоимости); промежуточный уровень – критерии согласования.

Например, для оценки результатов, полученных различными методами определения рыночной стоимости, можно применить следующие критерии:

• возможность отразить действительные намерения потенциального инвестора и продавца;

• тип, качество, обширность данных, на основе которых проводится анализ;

• способность параметров используемых методов учитывать конъюнктурные колебания;

• способность учитывать специфические особенности объекта, влияющие на его стоимость (местонахождение, размер, потенциальная доходность).

Нижний уровень – набор альтернатив (например, результаты, полученные при различных подходах к оценке).

2. Строится матрица сравнения и рассчитываются значения весов критериев. Далее строится матрица весов. Попарно сравниваются критерии по отношению к их воздействию на общую для них цель. Система парных сравнений приводит к результату, который может быть представлен в виде обратно симметричной матрицы.

Элементом матрицы а (1, j) является интенсивность проявления элемента иерархии 1 относительно элемента иерархии j, оцениваемая по шкале интенсивности от 1 до 9, где балльные оценки имеют следующий смысл:

1 – равная важность;

3 – умеренное превосходство одного над другим;

5 – существенное превосходство;

7 – значительное превосходство;

9 – очень сильное превосходство;

2, 4, 6, 8 – промежуточные значения.

Если при сравнении одного фактора 1 с другим j получено а (j, 1) = b, то при сравнении второго фактора с первым получаем а (j, 1) = 1/b.

Пусть А1...Аn - множество из n элементов, тогда W1...\Wп соотносятся следующим образом:

А1

А2

Аn

А1

1

W2/W1

W1/Wn

А2

W2/W1

1

Аn

Wn/W1

1

4. Оценка весов критериев происходит по схеме.

А1

А2

Аn

А1

1

W2/W1

W1/Wn

X1=(1*(W1/W2)* (W1/W2))1/n

BEC(A1)=

X1/SUMMA

А2

W2/W1

1

Аn

Wn/W1

1

Xn=((Wn/W1)*…*1)1/n

BEC(An)=

Xn/SUMMA

SUMMA

? = 1

5. Оцениваются веса альтернатив по каждому критерию.

6. Определяются итоговые значения весов каждой альтернативы. Приоритеты синтезируются начиная со 2-го уровня вниз. Локальные приоритеты перемножаются на приоритет соответствующего критерия на вышестоящем уровне и суммируются по каждому элементу в соответствии с критериями, на которые воздействует элемент.

Вес критерия

Итоговое значение веса для каждой альтернативы

А1

А2

Аn

Вес (А1)

Вес (А2)

Вес (АN)

Вес альтернативы 1

Альт.1.1

Альт.1.2

Альт.1.N

Вес (Альт1)= альт.1.1.* вес (А1)+…+ альт.1.N.* вес (АN)

Вес альтернативы 2

Альт.2.1

Альт.2.2

Альт.2.N

Вес (Альт2)= альт.2.1.* вес (А1)+…+ альт.2.N.* вес (АN)

Вес альтернативы K

Альт.K.1

Альт.K.2

Альт.K.N

вес (АльтK)= альт.K.1.* вес (А1)+…+ альт.K/N.* вес (АN)

Сумма

1

7. Итоговое согласование результатов. Итоговый результат равен сумме произведений весов альтернатив на соответствующие величины альтернатив.

1Федеральный стандарт оценки. Цель оценки и виды стоимости (ФСО №2). Утвержден приказом Минэкономразвития России от 20 июля 2007 г. №255.

2Согласно данным Управляющей компании ООО «MVM» г. Пермь, ул. Толмачева, 17.

3Для II группы капитальности согласно рекомендуемым нормам амортизации по табл. 2.3 «Классификация общественных зданий, нормативные сроки службы и нормы амортизационных отчислений» (Сборщиков С.Б., Шумейко Н.М. Выполнение экономических расчетов в составе дипломного проекта. М.: Изд-во АСВ, 2003).

4Бирман Г., Шмидт С. Экономический анализ инвестиционных проектов / под ред. Л.П. Белых. М.: Банки и биржи, ЮНИТИ, 1997.

5Оценка недвижимости: учебник / под ред. А.Г. Грязновой, М.А. Федотовой. М.: Финансы и статистика, 2007.

6Федеральный стандарт оценки. Цель оценки и виды стоимости (ФСО №2). Утвержден приказом Минэкономразвития России от 20 июля 2007 г. №255.

7При подготовке этой темы автор использовал учебное пособие С.П. Коростылева [30].

8Азгальдов Г.Г. Проблема согласования оценок и ее возможное решение // Вопросы оценки. 1999. №4. С. 32-39.

9Проект «Методические рекомендации по оценочной деятельности. Оценка рыночной стоимости предприятия (бизнеса)»http://www.appraiser.ru/info/org/kom_tpp_oc/mr_business.zip

10Миллер Г. Магическое число семь плюс минус два. Инженерная психология. М.: Прогресс, 1964.

11Азгальдов Г.Г. Квалиметрия для менеджеров. М., 1996.

20

Согласование результатов оценки транспортного средства

  • Расчет рыночной стоимости Toyota Ist производился двумя подходами, которые описаны выше.

  • В результате были получены одновременно два различных результата. Для выбора конечной величины рыночной стоимости, основывающейся на факторах нескольких промежуточных значений, я использовала подход средневзвешенного значения, всоответствии, с которым результату, полученному по каждому из примененных методов, присваивается весовой коэффициент.

  • При выборе весовых коэффициентов я принимала во внимание следующие факторы:

  • Подход по затратам заключен в расчете полной восстановительной стоимости объекта за вычетом всех форм накопленного износа. Преимущество данного подхода состоит в достаточной точности и достоверности информации по затратам. Недостаток состоит в сложности.

  • Оценка методом сравнительного анализа продаж использует информацию по продажам объектов, сравнимых с оцениваемым объектом. Преимущество данного подхода состоит в его способности учитывать реакцию продавцов и покупателей на сложившуюся конъюнктуру рынка. Его недостаток состоит в том, что практически невозможно найти два полностью идентичных объекта, а различия между ними не всегда можно с достаточной точностью выделить и количественно оценить.

  • Использование метода сравнения продаж наиболее привлекательно, когда имеется достаточная и надежная рыночная информация о сопоставимых сделках.

    1. Подход к оценке

    1. Стоимость, руб.

    1. Вес, %

    1. Значение

    1. Затратный

    1. 307840

    1. 54%

    1. 166234

    1. Сравнительный

    1. 297000

    1. 46%

    1. 136620

    1. Итого

    1. 302854

  • Таким образом, стоимость оцениваемого Toyota Ist составляет 302854 руб. с учетом округлений на дату оценки ноябрь 2012.

  • Согласование результатов при оценке стоимости предприятия бизнеса

    В результате применения двух подходов к оценке рыночной стоимости были получены следующие значения

    • Затратный подход (метод чистых активов) – 2 650 000 рублей.

    • Доходный подход (метод дисконтированных денежных потоков) – не применялся.

    Как уже было отмечено, затратный подход не учитывает изменения, которые могут произойти в будущем, поскольку основан на оценке рыночной стоимости активов и пассивов, которыми располагает предприятие.

    В свою очередь, рыночная стоимость предприятия в рамках доходного подхода основывалась на составлении прогноза доходов и расходов при наилучшем и наиболее эффективном использовании собственности. Доходный подход основывается на принципе ожидания и утверждает, что типичный инвестор или покупатель приобретает бизнес в ожидании будущих доходов. Разумный инвестор никогда не заплатит за объект больше, чем размер дохода, который принесет ему данный бизнес в будущем. Доходный подход позволяет сопоставить текущие затраты инвестора с будущими доходами с учетом времени и фактора риска, характерными для предполагаемого вида деятельности. Таким образом, результат, полученный доходным подходом, в большей степени отвечает инвестиционным интересам на рынке.

    Величина рыночной стоимости в рамках затратного подхода отражает сумму затрат, необходимых на воссоздание точной копии оцениваемого предприятия, имеющего большое количество материальных активов, представленных зданиями, сооружениями, оборудованием. Затратный подход в данном случае определяет гарантированный минимум владельцу оцениваемого пакета и не учитывает в полной мере инвестиционную составляющую Объекта оценки.

    Таблица № 47

    Теория согласования результатов оценки рыночной стоимости недвижимости

    Согласование – это процесс, в ходе которого для достижения окончательной оценки стоимости выносятся определенные логические суждения23. Может быть использована статистическая обработка результатов вычислений, обдумывается диапазон значений, но клиенту, как правило, выдается фиксированная величина. В соответствии с американскими стандартами механическое усреднение результатов оценки недопустимо, поэтому различные специалисты предлагают использовать математические методы при согласовании результатов оценки, в частности метод квалиметрии24и метод анализа иерархий (МАИ)25.

    Фактически оба метода основываются на известном совете Рене Декарта: если перед вами стоит сложная задача, то разбейте ее на подзадачи, каждую из которых в свою очередь разбейте еще на менее сложные подзадачи и т.д. — до тех пор, пока не останутся такие простые подзадачи, которые вы уже сможете решить. Оба метода рассматривают эксперта в качестве некого «измерительного прибора» и используют так называемое правило «магического числа 7 ± 2», которое гласит, что эксперт чаще всего не способен различать более 7 градаций26.

    Приоритет разработки метода квалиметрии принадлежит отечественным ученым, в то время как авторами МАИ являются американские исследователи.

    При использовании квалиметрического метода в соответствии с рекомендациями Г.Г.Азгальдова согласование производится в следующей последовательности:

    1. Проанализировать надежность вычислений стоимости, полученных при трех подходах, с учетом надежности исходной информации, использовавшейся при проведении расчетов в каждом из подходов, количества и характера допущений (явных и неявных), используемых оценщиком, и др. существенных факторов.

    2. Выбрать тот подход, при применении которого надежность определения стоимости представляется оценщику в данной конкретной оценке наиболее высокой.

    3. Присвоить этому подходу ранг R= 100%.

    4. Выбрать из оставшихся подходов тот, который обеспечивает большую надежность при оценивании данного конкретного объекта.

    5. Сравнивая его надежность с надежностью того подхода, который получил ранг R=100%, оценщик должен определить его ранг в процентах.

    Например, в конкретных условиях может оказаться, что оценщик считает надежность доходного подхода на 30% ниже, чем сравнительного (для которого он ранее принял Rс = 100%). Тогда он назначает Rд = 100% - 30% = 70%.

    6. Повторить процедуру 5 для оставшегося подхода. Например, оценщик считает, что надежность затратного подхода в данном конкретном случае на 40% ниже, чем подхода сравнительного. Тогда он должен назначить Rз = 100% - 40% = 60%.

    7. Пронормировать назначенные ранги и перевести их, таким образом, в коэффициенты весомости по формуле

    (63)

    Gз. = 60 / (100 + 70 + 60) = 60 / 230 = 0,26,

    Gс = 100/230 = 0,43,

    Gд = 70/230 = 0,31.

    8. Провести проверку. Должно быть Gi= 1,00.

    9. Вычислить итоговую взвешенную текущую стоимость.

    Пусть для нашего примера имеем:

    Сз = 1550000 руб.,

    Сс =1240000 руб.,

    Сд = 1880000 руб.

    Тогда средневзвешенная стоимость будет равна:

    Ссрв =1550000 х 0,26 + 1240000 х 0,43 + 1880000x0,31 = 403000 + 533200 + 582800 = 15190000 руб.

    С целью повышения достоверности результатов оценки к процедуре согласования необходимо привлекать экспертную группу в составе как минимум 2-4 человек. В этом случае погрешность оценки уменьшится по сравнению с погрешностью оценки одним оценщиком. Это утверждение основывается на многовековой практике применения экспертного метода в различных сферах человеческой деятельности.

    В этом случае величины R принимаются как средние (не взвешенные!) арифметические из оценок отдельных экспертов и определяются по формуле

    (64)

    где j= 1, ...,n (n— количество экспертов в группе).

    Если оценщику позволяет время, то можно построить более сложные деревья (используя технологию построения деревьев, описываемую в пособиях по квалиметрии). Например, показать связь между надежностью определения стоимости каждым из трех подходов (затратным, сравнительным, доходным) и некоторыми характеристиками той конкретной ситуации, в которой приходится действовать оценщику.

    Затем методами квалиметрии (описанными в различных пособиях по квалиметрии27) квантифицировать отдельные свойства (отдельные ветки дерева) применительно к каждому из трех анализируемых подходов. Это позволит найти обобщенное количественное выражение степени надежности определения стоимости.

    Процедура согласования результатов оценки методом анализа иерархии (МАИ) производится следующим образом.

    1. Структурируется проблема согласования результатов в виде иерархии.

    В данной иерархии верхний уровень – цель (например, определение рыночной стоимости); промежуточный уровень – критерии согласования.

    Например, для оценки результатов, полученных различными методами определения рыночной стоимости, можно применить следующие критерии:

    • возможность отразить действительные намерения потенциального инвестора и продавца;

    • тип, качество, обширность данных, на основе которых проводится анализ;

    • способность параметров используемых методов учитывать конъюнктурные колебания;

    • способность учитывать специфические особенности объекта, влияющие на его стоимость (местонахождение, размер, потенциальная доходность).

    Нижний уровень – набор альтернатив (например, результаты, полученные при различных подходах к оценке).

    2. Строится матрица сравнения и рассчитываются значения весов критериев. Далее строится матрица весов. Попарно сравниваются критерии по отношению к их воздействию на общую для них цель. Система парных сравнений приводит к результату, который может быть представлен в виде обратно симметричной матрицы.

    Элементом матрицы а (1, j) является интенсивность проявления элемента иерархии 1 относительно элемента иерархии j, оцениваемая по шкале интенсивности от 1 до 9, где балльные оценки имеют следующий смысл:

    1 – равная важность;

    3 – умеренное превосходство одного над другим;

    5 – существенное превосходство;

    7 – значительное превосходство;

    9 – очень сильное превосходство;

    2, 4, 6, 8 – промежуточные значения.

    Если при сравнении одного фактора 1 с другим j получено а (j, 1) = b, то при сравнении второго фактора с первым получаем а (j, 1) = 1/b.

    Пусть А1...Аn - множество из n элементов, тогда W1...\Wп соотносятся следующим образом:

    А1

    А2

    Аn

    А1

    1

    W2/W1

    W1/Wn

    А2

    W2/W1

    1

    Аn

    Wn/W1

    1

    4. Оценка весов критериев происходит по схеме.

    А1

    А2

    Аn

    А1

    1

    W2/W1

    W1/Wn

    X1=(1*(W1/W2)* (W1/W2))1/n

    BEC(A1)=

    X1/SUMMA

    А2

    W2/W1

    1

    Аn

    Wn/W1

    1

    Xn=((Wn/W1)*…*1)1/n

    BEC(An)=

    Xn/SUMMA

    SUMMA

    ? = 1

    5. Оцениваются веса альтернатив по каждому критерию.

    6. Определяются итоговые значения весов каждой альтернативы. Приоритеты синтезируются начиная со 2-го уровня вниз. Локальные приоритеты перемножаются на приоритет соответствующего критерия на вышестоящем уровне и суммируются по каждому элементу в соответствии с критериями, на которые воздействует элемент.

    Вес критерия

    Итоговое значение веса для каждой альтернативы

    А1

    А2

    Аn

    Вес (А1)

    Вес (А2)

    Вес (АN)

    Вес альтернативы 1

    Альт.1.1

    Альт.1.2

    Альт.1.N

    Вес (Альт1)= альт.1.1.* вес (А1)+…+ альт.1.N.* вес (АN)

    Вес альтернативы 2

    Альт.2.1

    Альт.2.2

    Альт.2.N

    Вес (Альт2)= альт.2.1.* вес (А1)+…+ альт.2.N.* вес (АN)

    Вес альтернативы K

    Альт.K.1

    Альт.K.2

    Альт.K.N

    вес (АльтK)= альт.K.1.* вес (А1)+…+ альт.K/N.* вес (АN)

    Сумма

    1

    7. Итоговое согласование результатов. Итоговый результат равен сумме произведений весов альтернатив на соответствующие величины альтернатив.

    Формирование итоговой величины стоимости при оценке стоимости предприятия бизнеса сравнительным подходом

    Процесс формирования итоговой величины стоимости состоит из трех основных этапов:

    • выбора величины мультипликатора;

    • взвешивания промежуточных результатов;

    • внесения итоговых корректировок.

    Выбор величины мультипликатора является наиболее сложным этапом, требующим особенно тщательного обоснования, зафиксированного впослед­ствии в отчете. Поскольку одинаковых компаний не существует, диапазон величины одного и того же мультипликатора по компаниям-аналогам быва­ет достаточно широк. Аналитик отсекает экстремальные величины и рас­считывает среднее значение мультипликатора по группе аналогов. Затем проводит финансовый анализ, причем для выбора величины конкретного мультипликатора использует финансовые коэффициенты и показатели, наи­более тесно связанные с данным мультипликатором. По величине финансо­вого коэффициента определяет положение (ранг) оцениваемой компании в общем списке. Полученные результаты накладываются на ряд мультиплика­торов, и достаточно точно определяется величина, которая может быть ис­пользована для расчета стоимости оцениваемой компании.

    Пример. Диапазон мультипликатора цена/балансовая стоимость активов по 15 компаниям, взятым в качестве аналога, равен 0,92- 5,67. Среднее значение мультипликатора - 2,15. Центр диапазона равен 3,3[(5,67-0,92):2+0,92]. Следовательно, большинство компаний имеют ве­личину мультипликатора чуть ниже средней. Практика показывает, что дан­ный мультипликатор хорошо коррелирует с финансовым коэффициентом - доходом на собственный капитал. Проанализируем этот коэффициент по компаниям-аналогам. Диапазон представлен следующим образом: 4,1% - 15,6%; средняя величина - 8,32, что несколько меньше центра диапазона [(15,6 - 4,1) : 2+4,1] = 9,85. Доход на собственный капитал в оцениваемой компании составляет 12,5%. Величина мультипликатора для оцениваемой компании может быть получена либо методом трендовой прямой, либо ана­лизом соотношения трех величин:

    • средневзвешенной величины мультипликатора;

    • средневзвешенной величины финансового коэффициента;

    ¦ фактической величины финансового коэффициента оцениваемой ком­пании.

    Анализ показывает, что мультипликатор цена/балансовая стоимость ак­тива оцениваемой компании может быть несколько выше среднего аналога, расчет дает величину 3,3.

    Сравнительный подход позволяет использовать аналитику максималь­ное число всех возможных вариантов мультипликаторов, следовательно, в процессе расчета будет получено столько же вариантов стоимости. Если ана­литик в качестве итоговой величины предложит простую среднюю всех по­лученных величин, то это будет означать, что он одинаково доверяет всем мультипликаторам. Наиболее правильным приемом определения итоговой величины является метод взвешивания. Оценщик в зависимости от конкрет­ных условий, целей и объекта оценки, степени доверия к той или иной ин­формации придает каждому мультипликатору свой вес. На основе взвеши­вания получается итоговая величина стоимости, которая может быть взята за основу для проведения последующих корректировок (табл. 5.1).

    Таблица 5.1. Взвешивание предварительной величины стоимости

    Мультипликатор

    Стоимость одной акции

    Удельный вес мульти­пликатора

    Итого

    Цена/чистая прибыль

    10

    0,5

    5

    Цена/денежный поток

    16

    0,3

    4,8

    Цена/балансовая стоимость

    14

    0,2

    2,8

    Итоговая величина стоимости

    12,6


    Итоговая величина стоимости, полученная в результате применения муль­типликаторов, должна быть откорректирована в зависимости от конкретных обстоятельств, наиболее типичными являются следующие поправки.Порт­фельная скидка предоставляется при наличии не привлекательного для по­купателя характера диверсификации производства. Аналитик при определе­нии окончательного варианта стоимости должен учесть имеющиесяактивы непроизводственного назначения. Если в процессе финансового анализа выявлены либонедостаточность собственного оборотного капитала, либо экстренная потребность в капитальных вложениях, полученную величину Необходимо вычесть. Возможно применениескидки на ликвидность. В не­которых случаях вносится поправка в видепремии за предоставляемые ин­вестору элементы контроля.

    Таким образом, сравнительный подход, несмотря на достаточную слож­ность расчетов и анализа, является неотъемлемым приемом определения обоснованной рыночной стоимости. Результаты, полученные таким спосо­бом, имеют хорошую объективную основу, уровень которой зависит от воз­можности привлечения широкого круга компаний-аналогов. Следователь­но, развитие оценочных услуг будет способствовать расширению сферы ис­пользования сравнительного подхода.

    Выводы

    Сравнительный подход является одним из трех подходов, используемых в оценочной практике. Оценщик использует в качестве ориентира реально сложившиеся на рынке цены на сходные предприятия (акции). Важнейшим условием применения сравнительного подхода является наличие развитого фондового рынка.

    Сравнительный подход в зависимости от целей, объекта оценки и источ­ников информации включает три метода:

    • метод рынка капитала (компании-аналоги);

    • метод сделок;

    • метод отраслевых коэффициентов.

    Расчет стоимости капитала предприятия основан на использовании це­новых мультипликаторов:

    • цена / прибыль;

    • цена / денежный поток;

    • цена / дивиденды;

    • цена / выручка от реализации;

    • цена / балансовая стоимость.

    Вывод итоговой величины стоимости предприятия в процессе примене­ния сравнительного подхода включает три основных этапа:

    • выбор величины мультипликатора, которую целесообразно применить к оцениваемому объекту;

    • определение удельного веса стоимостей каждого из рассчитанных ти­пов мультипликаторов;

    • корректировку итоговой величины стоимости

    Метод прямого анализа характеристик.

    Суть его заключается в ана­лизе характеристик оцениваемого объекта и аналога. Этим методом рассчи­тывается, например, поправка на время продажи объекта, фактически отра­жающая изменение покупательной способности валюты, в которой осуще­ствлялись платежи за сопоставимые объекты недвижимости. Цены на недвижимость рассчитываются в долларах, поэтому для определения по­правки на время продажи необходимо знать индексы покупательной спо­собности доллара. Данную информацию можно почерпнуть во многих фи­нансово-экономических справочниках и специализированных периодичес­ких изданиях. Обычно для оценки используется информация о продаже объектов-аналогов, проданных в различные периоды времени. Для того что­бы определить вероятную цену оцениваемого объекта, необходимо ответить на вопрос, за какую сумму были бы проданы аналоги, если бы сделка состо­ялась на момент оценки нашего объекта? Следовательно, в цены аналогов необходимо ввести процентные поправки, которые с учетом индексов инф­ляции могут быть рассчитаны по следующей формуле:

    где ПВ - поправка на время продажи;

    УДЕСС - индекс покупательной способности доллара на дату совершения дсс сделки с аналогом;

    УДО - индекс покупательной способности доллара на дату оценки объекта, до

    Вероятная стоимость оцениваемого объекта может быть рассчитана как среднее арифметическое из приведенных цен аналогов.

    V=(С анал1 • П в1)+(Санал 2 • П в2)+...+(С анал n • П вn) : n,

    Где :

    • V- вероятная стоимость объекта оценки;

    • C анал цена продажи аналога;

    • ПВ - поправка на время продажи;

    • n число аналогов.

    На основе данных физического состояния зданий методом прямого ана­лиза характеристик рассчитываетсяпроцентная поправка на износ. Рас­чет производится по формуле

    ПИ=( 100-И0): ( 100-Ианал)

    Где: Пи - поправка на износ;

    И0 - износ объекта;

    Ианал - износ аналога.

    Стоимость объекта с учетом поправки на износрассчитывается по формуле

    V= Санал • Пи,

    где : V - вероятная стоимость оцениваемого объекта;

    Санал - цена продажи аналога;

    Пи - поправка на износ.

    Пример расчета процентной поправки на износ методом прямого анализа характеристик. Оценивается административное зданиес износом 15%. Име­ются следующие данные по недавно проданным объектам (табл. 6.6).

    Таблица 6.6

    Объект

    Процент износа

    Цена, долл.

    1

    20

    75 400

    2

    90

    30 680

    3

    25

    70 600

    V=75 400- [(100-15): (100- 20)] = 79 924 долл.

    V =70 600 • [(100 - 15): (100 - 25)] = 79 778 долл.

    Объект 2 вообще не используется в качестве аналога, так как его износ свыше 80%, и, следовательно, объект приобретается с иной инвестицион­ной мотивацией. Вероятная стоимость административного здания рассчи­тывается следующим образом:

    V = (80 426 + 80 685): 2 = 80 600 долл.

    Экспертные методы расчета и внесения поправок. Эти методы осно­ваны на представлениях оценщика о преимуществах или недостатках оце­ниваемого объекта по сравнению с аналогом. Эти поправки рассчитывают­ся как процентные и определяются по следующей схеме, например:

    • Объект лучше аналога на 9%, следовательно, цена аналога должна воз­расти, чтобы отразить эту разницу Пусть цена продажи аналога - 1,0, а сто­имость объекта оценки -X. Тогда:

    Х= 1,0+0,09=1,09.

    • Аналог лучше оцениваемого объекта на 9%. Цена продажи аналога Должна уменьшиться для отражения этого различия:

    1,0 = Х+ 9%•Х=Х% (1 + 0,09).

    X = 0,92.

    Метод валового рентного мультипликатора (мультипликатора валового дохода) - второй метод сравнительного (рыночного) подхода

    Валовой рентный мультипликатор - это отношение продажной цены или к потенциальному, или к действительному валовому доходу.

    Этот метод осуществляется в три этапа:

      1. Оценивается рыночный рентный доход от оцениваемой недвижимости.

      2. Определяется отношение валового дохода к продажной цене исходя из недавних рыночных сделок.

      3. Рассчитывается вероятная стоимость оцениваемого объекта посредст­вом умножения рыночного рентного дохода от оцениваемого объекта на валовой рентный мультипликатор.

      V = Др • ВРМ = Др

      гдеV - вероятная цена продажи оцениваемого объекта;

      Др - рентный доход оцениваемого объекта;

      ВРМ - валовой рентный мультипликатор;

      Санал - цена продажи аналога;

      ПВДанал - потенциальный валовой доход аналога.

      Пример. Необходимо оценить объект недвижимости с ПВД в 15 000 долл. В банке данных имеются следующие сведения о недавно проданных анало­гах (табл. 6.7).

      Таблица 6.7

      Аналог

      Цена продажи Санал

      :

      ПВД

      =

      ВРМ

      А

      80 000

      16 000

      5

      В

      95 000

      17 500

      5,43

      С

      65 000

      13 500

      4,8


      ВРМ (усредненный по аналогам) = (5 + 5,43 + 4,8): 3 = 5.

      V = 15 000 5 = 75 000 долл.

      Валовой рентный мультипликатор не корректируется на различия, су­ществующие между оцениваемыми и сопоставимыми объектами недвижи­мости, так как в основу расчета ВРМ положены фактические арендные пла­тежи и продажные цены, в которых учтены указанные различия.

      Применение затратного подхода

      Этот подход включает несколько этапов:

      1.Определяется стоимость земельного участка, на котором находятся здания, сооружения.

      2.Оценивается восстановительная стоимость или стоимость замещения здания и сооружения на действительную дату оценки.

      Под восстановительной стоимостью подразумевается стоимость строительства в текущих ценах на действительную дату оценки точной ко­пии оцениваемого объекта из тех же строительных материалов, при соблю­дении тех же строительных стандартов, по такому же проекту, что и оцени­ваемый объект.В случае, если расчет восстановительной стоимости не пред­ставляется возможным или целесообразным, производится определение стоимости замещения.

      Под стоимостью замещения подразумевается стоимость строитель­ства в текущих ценах на действительную дату оценки объекта с полезнос­тью, равной полезности оцениваемого объекта, однако с использованием новых материалов в соответствии с текущими стандартами, дизайном, пла­нировкой.

      Рассчитывается ли стоимость воспроизводства или замещения, должно быть отражено в отчете, причем выбор следует ясно обосновать для пре­дупреждения неправильного понимания.

      Определение полной стоимости строительства включает расчет:

      • прямых издержек (стоимости материалов, амортизационных отчисле­ний, стоимости временных зданий, сооружений, инженерных сетей, комму­нальных услуг, заработной платы строительных рабочих, стоимости мероприятий по технике безопасности и т.п.);

      • косвенных издержек на оплату профессиональных услуг архитекторов, инженеров по проектированию, бухгалтеров и юристов за консультирование, накладных расходов застройщиков, оплату лицензий, процентов по строи­тельным ссудам, маркетинговых расходов на продажу или на перепродажу собственности, рекламных выплат в течение строительства, расходов на из­менение права собственности. Использование издержек замещения вместо издержек воспроизводства в процессе оценки позволяет удалить некоторые «устаревшие» элементы;

      • предпринимательского дохода.

      Предпринимательский доход представляет собой сумму, которую инве­стор планирует получить сверх затрат на осуществление проекта с учетом риска и доходности по сопоставимым объектам. С учетом мировой практи­ки расчета предпринимательский доход определяется в 15% затрат на стро­ительство.

      Стоимость

      Предпринимательский

      Полная стоимость

      строительства

      +

      доход

      =

      строительства


      3.Рассчитываются все виды износа зданий и сооружений с учетом их физического, функционального, технологического и экономического уста­ревания.

      Физическое устаревание - потеря стоимости собственности, связанная с использованием, изнашиванием, разрушением, увеличением стоимости обслуживания и прочими физическими факторами, приводящими к сокра­щению жизни и полезности объекта.

      Функциональное устаревание - потеря стоимости собственности, связанная с невозможностью выполнять те функции, для которых она предназначалась. Функциональное устаревание является результатом внут­ренних свойств объекта собственности и связано с такими факторами, как конструкционные недостатки, избыточные операционные издержки, и про­является в устаревшей архитектуре здания, удобствах планировки, инже­нерном обеспечении и т.д. Иначе говоря, объект перестает соответствовать современным стандартам с точки зрения его функциональной полезности.

      Формой функционального устаревания являетсятехнологическое уста­ревание, под которым понимается потеря стоимости, вызванная изменения­ми в технологии, в результате которых актив становится менее продуктив­ным, более дорогим в эксплуатации.

      Экономическое устаревание характеризуется потерей стоимости акти­ва, вызванной внешними факторами, например изменениями, понизивши­ми спрос, или возросшей конкуренцией.

      4.Определяется остаточная стоимость зданий и сооружений как разность между стоимостью воспроизводства (стоимостью восстановления или стоимостью замещения) и совокупным износом.

      5.Рассчитывается полная стоимость объекта недвижимости посредством прибавления к остаточной стоимости зданий и сооружений стоимости земельного участка.

      Первый этап. Оценка стоимости земельного участка

      Земля в гражданский оборот была возвращена Указом Президента № 1767 «О регулировании земельных отношений и развитии аграрной ре­формы в России» от 27 октября 1993 г. Сделки с землей регулируются Граж­данским кодексом РФ, Положением о порядке ведения государственного зе­мельного кадастра, Положением о проведении конкурсов и аукционов по продаже земельных участков и других операций с землей, Указом Прези­дента РФ от 23 апреля 1993 г. № 480 «О дополнительных мерах по наделе­нию граждан земельными участками», Основными положениями Государ­ственной программы приватизации государственных и муниципальных пред­приятий в РФ с 1 июля 1994 г., утвержденными Указом Президента РФ с 22 июля 1994 г. № 1535, постановлением Правительства РФ от 1 февраля

          1. г. № 96 «О порядке осуществления прав собственников земельных долей и имущественных прав», Указом Президента РФ № 198 от 14 февраля

          2. г. «О праве собственности граждан и юридических лиц на земельные участки под объектами недвижимости в сельской местности», а также указом Президента РФ № 337 от 7 марта 1996 г. «О реализации конституционных прав граждан на землю».

        Различаются нормативная и рыночная стоимости земельного участка.

        Оценщик имеет дело прежде всего не с нормативной ценой земли, а с ры- ночной, складывающейся не в последнюю очередь под влиянием спроса и предложения. При оценке рыночной стоимости земельного участка необходимо определить состав оцениваемых прав на него. Частная собственность признаете лишь для участков со следующими условиями использования:

        • индивидуальное (жилищное) строительство;

        • крестьянское (фермерское) хозяйство;

        • личное подсобное, садоводческое или дачное хозяйство;

        • приватизированные участки под предприятиями.

        В Указе Президента РФ «О праве собственности граждан и юридических лиц на земельные участки под объектами недвижимости в сельской ме- стности» от 14 февраля 1996 г. № 198 признается право граждан и юриди- ческих лиц, получивших в собственность здания, сооружения или иную недвижимость в сельских населенных пунктах и на землях сельскохозяйственного назначения, приобретать в собственность земельные участки, на которых расположены указанные объекты недвижимости, за плату или бесплатно. Этот Указ практически дает возможность создания на значительной части территории страны единого объекта недвижимости —имущественного комплекса. Но на сегодняшний день в большинстве случаев объектов оценки является не абсолютное (полное) право собственности на земельный участок, а лишь право пользования долгосрочной арендой. Соответственно рыночным выражением этого оцениваемого права является уже н рыночная (продажная) стоимость земельного участка, а рыночная стоимости права долгосрочной аренды.

        Для оценки же рыночной стоимости земельного участка необходим иметь следующую информацию:

        • титул собственности и регистрационные данные по земельному участку

        • физические характеристики участка (топография, инженерно-геоло- гические, гидрогеологические характеристики участка, экологические па- раметры и т.д.);

        • данные о взаимосвязи участка с окружением;

        • экономические факторы, характеризующие участок (например, харак­тер экономического развития района и т.д.).

        Оценка рыночной стоимости участков осуществляется следующими основными методами:

        • методом техники остатка для земли;

        • методом средневзвешенного коэффициента капитализации;

        • методом сравнения продаж;

        • методом разбиения;

        • методом капитализации;

        • методом валового рентного мультипликатора.

        Метод техники остатка для земли

        При применении метода техники остатка для земли должны быть изве­стны:

        • стоимость зданий и сооружений;

        • чистый операционный доход, приносимый землей, зданиями и сооружениями;

        • коэффициенты капитализации для земли, зданий и сооружений.

        Расчеты этим методом выполняются в несколько этапов:

        1. Распределяется ЧОД между землей, зданиями и сооружениями. Для определения дохода, относимого к зданиям и сооружениям, необходимо стои­мость зданий и сооружений умножить на коэффициент капитализации для зданий и сооружений.

        IЗД = VЗД • RЗД

        где VЗд - текущая стоимость зданий и сооружений;

        Iзд - чистый операционный доход, приходящийся на здания и сооружения;

        RЗД - коэффициент капитализации для зданий и сооружений.

        Коэффициент капитализации для зданий и сооружений можно взять из таблицы шести функций сложного процента (графа «Взнос на амортиза­цию денежной единицы») или рассчитать по формуле

        R ЗД= R ВОЗМ+ RЗЕМ

        где : R ВОЗМ - коэффициент возврата (возмещения) капитала;

        RЗЕМ - коэффициент капитализации для земли. Капитализация в этом случае прово­дится только по ставке дохода на инвестиции без учета возмещения капитала, так как счита­ется, что земля не изнашивается.

        2.Определяется остаток чистого операционного дохода, относимый к земле. Для этого из общего чистого операционного дохода вычитается доход, относимый к зданиям и сооружениям.

        Iзем = I - IЗД

        где Iзем - чистый операционный доход, относимый к земле;

        I - общий чистый операционный доход;

        Iзд - чистый операционный доход, относимый к зданиям и сооружениям.

        3.Рассчитывается остаточная стоимость земли путем капитализации ос­таточного чистого операционного дохода от земли.

        где Vзем - остаточная стоимость земли;

        Iзем - остаточный чистый операционный доход от земли;

        Rзем - коэффициент капитализации для земли.

        Пример. Рыночная стоимость построенных сооружений равна 450 000 долл. Продолжительность их экономической жизни - 50 лет, соответствующая им ставка дохода на инвестиции - 12%. В первый год эксплуатации данный имущественный комплекс (земельный участок и построенные на нем сооружения) принес чистый операционный доход в 65 000 долл. Расчет возмещения инвестиций в здания ведется по аннуитет­ному методу

        Решение.

            1. 450 000 долл. • 0,120417 (графа 6, из таблицы сложного процента, 50 лет, 12%) = 54,187 долл. - чистый операционный доход, приносимый сооружениями.

            2. 65 000 долл. - 54,187 долл. = 10,813 долл. - чистый операционный доход, приносимый землей.

            3. 10,813 : 0,12 = 90,108 долл. - стоимость земельного участка.

          Техника остатка для земли может быть использована при определении

          варианта наилучшего и наиболее эффективного использования. При приме­нении метода техники остатка для земли возможно получение отрицатель­ной величины остаточного дохода, приписываемого земле. Это может сиг­нализировать о том, что здание является избыточным улучшением для дан­ного участка.

          Метод средневзвешенного коэффициента капитализации. Здесь ис­пользуется «долевой» подход к оценке. Расчеты этим методом также выпол­няются в несколько этапов:

                1. Приблизительно рассчитываются пропорции, в которых стоимость не­движимости делится на стоимость земельного участка и стоимость зданий и сооружений. Традиционно для этого используются данные о норматив­ных ценах земли и ценах на строительные работы.

                2. Определяется средневзвешенный, общий коэффициент капитализа­ции - коэффициент, используемый для капитализации всего чистого опера­ционного дохода. Он рассчитывается исходя из структуры стоимости объекта, т.е. распределения на стоимость земли и стоимость зданий и сооружений, по формуле

            Rср =Rзд• Дзд +Rзем •Дзем ,

            где Rср - средневзвешенный (общий) коэффициент капитализации;

            RЗД- коэффициент капитализации для зданий, сооружений;

            ДЗд ,Дзем _ процентная доля зданий, сооружений и земельного участка в общей стоимости;

            Rзем - коэффициент капитализации для земли.

            В случаях, когда ожидается прирост или снижение стоимости объекта, коэффициент капитализации текущего дохода (общий коэффициент капитализации) должен быть подвергнут корректировке. В случае прироста стоимости, как отмечалось выше, фактор фонда возмещения, соответству­ющий периоду владения объектом, следует умножить на процентный при­рост стоимости за этот период, а полученный результат вычесть из требуе­мой ставки конечной отдачи.

            Текущая отдача

            =

            Требуемая

            Фактор

            X

            Прогнозируемое

            (общий

            конечная

            фонда

            повышение

            коэффициент

            отдача

            возмещения

            стоимости

            капитализации)

            собственного капитала за период владения


            Прирост стоимости определяется в два этапа:

            • Рассчитывается средневзвешенный фактор роста.

            Доля зданий и сооружений х Фактор сложного процента (фактор роста) +

            + Доля земли в общей стоимости х Фактор сложного процента =

            = Средневзвешенный фактор роста

            Фактор сложного процента берется из таблицы шести функций сложно­го процента. Например, если предполагается, что стоимость земли растет с учетом индекса инфляции на 10% в год в течение следующих 8 лет, то фак­тор находим в колонке фактора сложного процента за 8 лет при 10%. В слу­чае со зданиями и сооружениями из индекса инфляции (10% в год) нужно вычесть процент износа, например 2%, и получим 8% реального роста в год. Таким образом, для зданий и сооружений фактор роста найдем в той же графе, но уже 8 лет и 8%.

            • Рассчитывается прирост стоимости вычитанием единицы из средне­взвешенного фактора роста.

            В случае жеснижения стоимости часть первоначально инвестирован­ного капитала должна быть возвращена за счет текущего потока доходов.

            Текущая отдача

            =

            Требуемая

            +

            Фактор

            X

            Прогнозируемое

            (общий

            конечная

            фонда

            снижение

            коэффициент

            отдача

            возмещения

            стоимости

            капитализации)

            собственного капитала за период владения


            3.Определяется стоимость всего недвижимого имущества методом ка­питализации дохода.

            где I- общий чистый операционный доход;

            Rcp - средневзвешенный (общий) коэффициент капитализации;

            V- стоимость всего недвижимого имущества.

            4. И наконец, стоимость земельного участка рассчитывается с помощью долевого коэффициента:

            Vзем = V • Д ЗЕМ

            Метод сравнения продаж и метод валового рентного мультиплика­тора. Содержание этих двух методов ранее уже было описано в данной гла­ве в разделе, посвященном технологии применения рыночного подхода в недвижимости.

            Метод капитализации. Стоимость земельного участка определяется капитализацией доходов. Общий коэффициент капитализации рассчитыва­ется отношением чистого операционного дохода аналога к его продажной цене по формуле

            Где: R-общий коэффициент капитализации;

            I анал- чистый операционный доход аналога;

            Vанал – продажная цена аналога.

            Вероятная стоимость объекта оценки определяется по формуле:

            гдеV - вероятная стоимость объекта оценки;

            I- чистый операционный доход объекта;

            R - коэффициент капитализации, рассчитанный на базе рыночных данных по сопоставимым аналогам.

            Метод разбиения земельного участка при определении стоимости.

            Этот метод используется в тех случаях, когда необходимо определить сто­имость земельного участка, пригодного для разбиения на отдельные инди­видуальные участки. В процессе применения метода можно выделить следующие этапы:

                    1. Определяются количество и размеры индивидуальных участков. Здесь должны учитываться юридические ограничения, физические требования, касающиеся размеров, топографии, качества почв.

                    2. Рассчитывается стоимость освоенных участков с помощью метода сопоставимых продаж.

                    3. Рассчитываются издержки освоения и издержки, связанные с продажей, инженерные расходы по расчистке, разметке, окончательной подготовке земли, расходы на строительство дорог, подземных инженерных коммуникаций, оплата налогов, комиссионных за продажу и рекламу, а также рассчитывается разумная предпринимательская прибыль.

                    4. Составляется график освоения и предполагаемых продаж.

                    5. Определяются величины выручки от продажи индивидуальных участков.

                    6. Определяется чистая выручка от продажи путем вычитания издержек освоения, издержек по продаже и предпринимательской прибыли из предполагаемой выручки от продажи участков.

                    7. Определяется ставка дисконта.

                    8. Дисконтируется чистая выручка от продажи земельных участков для расчета стоимости земельного участка, разбитого на отдельные участки.

              Второй этап. Оценка стоимости зданий и сооружений

              Прежде чем перейти к оценке стоимости зданий и сооружений, оцен­щик должен не только ознакомиться с технической документацией, но и осуществить осмотр зданий и сооружений. Это позволит ему составить под­робное описание объекта оценки, где будут даны характеристики внешних и внутренних конструкций, инженерных систем.

              Оценка восстановительной стоимости или стоимости замещения осу­ществляется:

              • методом сравнительной единицы;

              • методом поэлементного расчета (разбивки на компоненты);

              • индексным способом оценки.

              Метод сравнительной единицы. Этот метод включает несколько этапов:

                1. На основе данных об издержках строительства аналогичных объектов разрабатываются нормативы затрат на строительные работы (на 1 м2, на 1 м3 здания). В качестве типичного сооружения лучше использовать недавно построенный объект, для которого известна контрактная цена. Если оценщику не удается найти недавно построенный сопоставимый объект, то он может воспользоваться разработками Центрального научно-исследова­тельского института экономики и управления, Коинвеста и др., где даны удельные показатели стоимости потребительской единицы строительной продукции по характерным типам зданий и сооружений в базисном, текущем и прогнозном уровнях цен.

                2. Норматив удельных затрат умножается на общую площадь или объем оцениваемого здания.

                3. Вносятся поправки на особенности оцениваемого объекта.

                Метод поэлементного расчета стоимости зданий и сооружений(его называют также методом разбивки на компоненты). Оценщик осуществля­ет расчеты в следующей последовательности:

                    1. Разбивка здания на отдельные элементы (фундамент, стены, каркас, крышу и т.д.).

                    2. Расчет расходов, требуемых для установки конкретного элемента в строящемся здании на дату оценки. Для этого определяется сумма прямых и косвенных издержек, необходимых для строительства единичного объема.

                  Пример. Единичная стоимость 1 м2 кирпичной стены состоит из сто­имости кирпича, раствора, заработной платы рабочих и т.д. Умножая стои­мость единицы на площадь, получаем суммарные затраты на установку все­го элемента. Прибыль предпринимателя при этом учитывается либо в еди­ничной стоимости, либо подсчитывается отдельно.

                  3. Суммирование поэлементных затрат.

                  Индексный способ оценки осуществляется посредством умножения балансовой стоимости объекта на соответствующий индекс для переоцен­ки основных фондов, утвержденный Правительством РФ.

                  Третий этап. Определение износа зданий и сооружений

                  После определения полной стоимости восстановления или замещения из полученной величины вычитается износ для расчета остаточной стоимо­сти объекта. Понятие «износ», используемое оценщиками, и понятие «из­нос», используемое бухгалтерами, отличаются друг от друга.

                  Термин «износ» в теории оценки понимается как утрата полезности объекта, а следовательно, и его стоимости по различным причинам, а не только вследствие фактора времени. Этот термин в ином смысле употребля­ется в бухгалтерском учете, где под износом понимается механизм перено­са издержек на себестоимость продукции на протяжении нормативного срока службы объекта.

                  В практике оценки применяется несколько методов определения износа и сооружений:

                  • метод срока жизни;

                  • метод разбиения.

                  Метод разбиения заключается в учете всех видов износа, к которым относятся:

                  • устранимый физический износ;

                  • неустранимый физический износ;

                  • устранимый функциональный износ;

                  • неустранимый функциональный износ;

                  • внешний износ.

                  Износ считается устранимым, если затраты на устранение дефекта яв­ляются меньшими по величине, чем добавляемая при этом стоимость. На­против, если затраты на исправление больше, чем добавляемая стоимость, то износ относится к неустранимому. Клиенты оценщиков часто требуют, чтобы список восстановимых элементов вместе с расчетом издержек вос­становления включался в отчет об оценке.

                  Определение (оценка) физического износа. Ниже приведены табли­цы (6.8-6.12), иллюстрирующие расчет физического износа, как устрани­мого, так и неустранимого.

                  Таблица 6.8. Определение обесценения, вызванного устранимым физическим износом

                  Наименование работ

                  Стоимость,долл.

                  Ремонт участка

                  2200

                  Ремонт водопроводной сети

                  1300

                  Внутренняя покраска и отделка

                  900

                  Устранимое физическое ухудшение - всего

                  7900

                  Таблица 6.9. Определение обесценения, вызванного неустранимым физическим износом компонентов с коротким сроком жизни

                  Компоненты

                  Полная стои­мость воспро­изводства

                  Фактический или эффектив­ный возраст

                  Ожидае

                  мый срок жизни

                  Износ, %

                  Износ, долл.

                  Вентиляция

                  12 000

                  5

                  15

                  33

                  3960

                  Канализация

                  10 000

                  5

                  30

                  17

                  1700

                  Отопление

                  12 000

                  5

                  25

                  20

                  2400

                  Таблица 6.10. Определение обесценения, вызванного неустранимым физическим износом долговременных элементов

                  Расчетные данные

                  Единица измерения, долл.

                  Полная стоимость воспроизводства (без прибыли застройщика), долл.

                  70 000

                  Устранимые физические ухудшения, долл.

                  7 900

                  Полная стоимость воспроизводства компонентов с коротким сроком жизни, долл.

                  24 000

                  Полная стоимость воспроизводства компонентов с долгим сроком жизни (1-2-3), долл.

                  38 100

                  Эффективный возраст сооружения, лет

                  19

                  Экономический срок жизни сооружения, лет

                  100

                  Износ компонентов с долгим сроком жизни (5/6 100 %

                  19

                  Обесценение компонентов с долгим сроком жизни ( , долл.

                  7 239

                  При использовании другого метода расчета физического износа -экс­пертного метода - эксперт путем осмотра определяет процент износа каждо­го элемента здания, а затем соответственно величину износа в стоимостном выражении.

                  Таблица 6.11. Определение физического износа

                  Элемент здания

                  Восстановительная стоимость, долл.

                  X

                  Износ,

                  %

                  =

                  Накопленный износ, долл.

                  Фундамент Энергосистема

                  Процент износа элементов здания может быть определен и как средне­взвешенная величина по всем элементам здания

                  Наименование

                  Удельный вес кон­

                  Процент износа

                  Удельный вес

                  конструктивного

                  структивного эле­

                  X

                  =

                  износа в стоимости

                  элемента

                  мента здания

                  здания


                  Определение (оценка) функционального износа. Функциональный износ, так же как и физический, бывает устранимым и неустранимым. Кри­терий отнесения износа к устранимому или неустранимому такой же, как и в случае с физическим износом. Соответственно стоимость устранимого функционального износа определяется как затраты, целесообразные с точ­ки зрения их вклада в будущий доход от эксплуатации объекта. Устранимый функциональный износ вызывается:

                  • недостатками, требующими добавления элементов;

                  • недостатками, требующими замены или модернизации элементов.

                  В первом случае он равен разнице между стоимостью выполнения тре­буемых добавлений на момент оценки и стоимостью выполнения этих же добавлений, если бы они были выполнены первоначально при строительст­ве объекта оценки. Это объясняется тем, что обычно перестройка части объ­екта обходится дороже, если бы эта часть создавалась в момент строитель­ства самого объекта.

                  Во втором случае устранимый функциональный износ измеряется за­тратами на замену устаревших элементов.

                  Неустранимый функциональный износ может быть вызван как недос­татком, так и избытком качественных характеристик объектов оценки. При недостатке он измеряется, в частности, потерями в сумме арендной платы при сдаче в аренду данного объекта.

                  Неустранимый функциональный износ рассчитывается следующим об­разом:

                  Потери в арендной плате

                  X

                  Мультипликатор валовой месячной

                  (за месяц)

                  арендной платы (ВРМ), характерный для

                  данного типа недвижимости

                  Элементы зданий и сооружений, наличие которых в настоящее время неадекватно современным требованиям рыночных стандартов, относятся к «сверхулучшениям». В данном случае речь идет о неустранимом функцио­нальном износе, вызванном избытком качественных характеристик.

                  Пример. Создание систем внутренней связи прибавило к стоимости объек­та 23 000 долл., а затраты на установку составили 30 000 долл. Таким образом, убыток установки этих элементов составил 7000 долл. Количество излишних элементов, как правило, увеличивается с возрастом недвижимости.

                  Определение (оценка) экономического износа. Внешний (экономичес­кий) износ выражается в снижении функциональной пригодности недви­жимости, вызванном внешними по отношению к ней негативными факто­рами: общим упадком района, неудачным местоположением объекта и т.д. Если физический и в определенной степени функциональный износ можно устранить путем реконструкции или модернизации здания, то износ внеш­него воздействия в большинстве неустраним. Он традиционно рассчитыва­ется двумя способами:

                  методом связанных пар продаж. Сравниваются два сопоставимых объекта, один из которых имеет признаки внешнего износа, а другой - нет. Разница в ценах продаж трактуется как внешний износ;

                  методом капитализации рентных потерь с использованием валового рентного мультипликатора. Осуществляется сравнение доходов от аренд­ной платы сопоставимых объектов, причем один подвергается негативному внешнему воздействию, а другой - нет. Таким образом, экономический из­нос определяется по формуле:

                  Эконом. износ = Потери в аренд. плате • Валовой рентный мультиплик.

                  Определение износа объекта методом расчета срока жизни (рис. 6.2). При применении этого метода оперируют следующими понятиями:

                  1. Срок экономической жизни - это временной отрезок, в течение кото­рого объект (здание) можно использовать, извлекая прибыль. В этот период улучшения вносят вклад в стоимость объекта. Срок экономической жизни объекта заканчивается, когда производимые улучшения перестаютвносить вклад в его стоимость вследствие общего устаревания объекта.

                  Срок физической жизни объекта—это период времени, в течение которого здание существует. Срок физической жизни заканчивается сносом здания.

                  1. Эффективный возраст (экспертно оцениваемый) основан на оценке внешнего вида объекта с учетом его состояния. Это возраст, который соответствует его физическому состоянию.

                  2. Срок оставшейся экономической жизни здания составляет период даты оценки и до окончания экономической жизни объекта.

                  3. Нормативный срок службы—это определенный нормативными акт ми срок службы зданий и сооружений.

                  Взаимосвязь между износом, восстановительной стоимостью, эффективным возрастом и типичным сроком экономической жизни здания выражается следующей формулой:

                  где И - износ;

                  ВС - восстановительная стоимость;

                  ЭВ - эффективный возраст;

                  ЭЖ - срок экономической жизни.

                  Эта формула может быть записана следующим образом:

                  =Процент износа восстановительной стоимости.

                  Метод срока жизни используется как для расчета совокупного износа так и для вычисления какого-либо одного вида износа.

                  Список литературы и источников на тему "Согласование в оценке стоимости"

                  1. Итоговый тест по дисциплине «Практические приемы и методы оценки машин, оборудования и автомобильного транспорта»
                  2. Итоговая экзаменационная работа по дисциплине «Оценка недвижимости»
                  3. Итоговая экзаменационная работа по дисциплине Оценка недвижимости. Вариант 1
                  4. Итоговый проверочный тест. Оценка бизнеса действующего предприятия. Вариант 1
                  5. Итоговый проверочный тест. Тема: Оценка бизнеса действующего предприятия, Вариант 2

                  Другие похожие работы





                • © 2002 - 2026 RefMag.ru