RefMag.ru - Оценка. Помощь в решении задач, тестов, практикумов, курсовых, аттеста­ционных

RefMag.ru - Помощь в решении в учебе

Заказать:
- заказать решение тестов и задач
- заказать помощь по курсовой
- заказать помощь по диплому
- заказать помощь по реферату

Репетитор оценщика

Готовые работы заочников

Тесты:

Задачи:

Примеры работ по оценке

Примеры курсовых работ
Примеры аттест­ационных работ
Учебные дисциплины
Литература
Заказ работ:




Оказываю помощь по решению задач, тестов, консультации по самостоятельному выполнению контрольных, курсовых и дипломных. Сергей.
admin@refmag.ru, , ,

Примеры: | контрольные | курсовые | дипломные | отзывы |

Пример работы

Оценка земли в оценочной деятельности

Похожие работы:

Метод базового участка при проведении оценки стоимости земли

Другой прием определения рыночной стоимости земельного участка методом сравнения основан на определении стоимости базового, стандартного участка. Метод базового участка состоит в определении удельной стоимости базового земельного участка и в последующем сравнении с ним оцениваемых участков. В результате сравнения делаются соответствующие уточняющие стоимость поправки. Выбор земельного участка в качестве базового обусловливается местоположением и формой участка либо соотношением спроса и предложения на участки различных размеров, либо другими критериями. Метод базового участка больше подходит для участков примерно одинакового размера, но сильно отличающихся по другим параметрам.

Пример

Определить рыночную стоимость базового (реального или гипотетического) стандартного земельного участка.

В качестве объектов сравнения выбраны пять земельных участков, недавно проданных на местном рынке (объекты сравнения №1...№5). Все участки имеют примерно одинаковые размеры, но отличатся по другим параметрам Определение процента поправки производится методом экспертной оценки.

Таблица 7

Расчет стоимости по способу базового участка

Участки

Цена продажи, приведенная во времени, руб.

Обзор

Интенсивность дорожного движения

Размер,

га

Цена продажи, приведенная к базовому участку, руб.

Базовый

Х

стандартный

умеренная

0.25

Х

№ 1

2500,0

»

низкая

(-0,05)

0,25

2375,0

№2

3000.0

лучший

(-0,15)

»

0,25

2400,0

№3

2000,0

ограниченный

(+0,15)

умеренная

0,25

2300,0

№4

1600,0

»

высокая

(+0,10)

0,25

2000,0

№5

3200,0

стандартный

умеренная

0,50

(-0,3)

2240,0

Рассмотрим объект сравнения № 1 и определим корректировки, которые необходимо применить к его цене - 2500,0 руб.

Таблица 8

Требуемые корректировки к цене объекта сравнения № 1

Позиции сравнения

Сравниваемый (проданный) участок,%

Поправки (+, -), %

Обзор

не требуется

Интенсивность дорожного движения

на 5 лучше, чем у оцениваемого участка

-5

Размер, га

не требуется

Общая поправка

-5

Рассмотрим объект сравнения № 2 и определим корректировки, которые необходимо применить к его цене - 3000,0 руб.

Таблица 9

Требуемые корректировки к цене объекта сравнения № 2

Позиции сравнения

Сравниваемый (проданный) участок, %

Поправки (+, -), %

Обзор

на 15 лучше, чем у оцениваемого участка

-15

Интенсивность дорожного движения

на 5 лучше, чем у оцениваемого участка

-5

Размер, га

не требуется

Общая поправка

-20

Рассмотрим объект сравнения № 3 и определим корректировки, которые необходимо применить к его цене 2000,0 руб.

Таблица 10

Требуемые корректировки к цене объекта сравнения № 3

Позиции сравнения

Сравниваемый (проданный) участок, %

Поправки (+, -), %

Обзор

на 15 хуже, чем у оцени-ваемого участка

+15

Интенсивность дорожного движения

не требуется

Размер, га

»

Общая поправка

+ 15

Рассмотрим объект сравнения № 4 и определим корректировки, которые необходимо применить к его цене - 1600,0руб.

Таблица 11

Требуемые корректировки к цене объекта сравнения № 4

Позиции сравнения

Сравниваемый (проданный) участок, %

Поправки (+, -), %

Обзор

на 15 хуже, чем у оцениваемого участка

+15

Интенсивность дорожного движения

на 10 хуже, чем у оцениваемого участка

+10

Размер, га

не требуется

Общая поправка

+25

Рассмотрим объект сравнения № 5 и определим корректировки, которые необходимо применить к его цене - 3200,0 руб.

Таблица 12

Требуемые корректировки к цене объекта сравнения №. 5

Позиции сравнения

Сравниваемый (проданный) участок, %

Поправки (4, -), %

Обзор

не требуется

Интенсивность дорожного движения

»

Размер, га

на 30 лучше, чем у оцениваемого участка

-30

Общая поправка

-30

Скорректированные цены продаж сведены в графу 6 табл. 7.

В рассматриваемом примере среднее значение цены - 2263,0 руб., значение медианы (середины ранжированного ряда) - 2300,0 руб. Следовательно, рыночная стоимость базового участка составляет 2300,0 руб. (данные по медиане).

После установления стоимости единицы сравнения или стоимости базового участка можно определять рыночную стоимость отдельных земельных участков, внося поправки наих отличительные параметры.

Метод выделения при оценке земли

13.1. При расчете стоимости земли методом выделения из стоимости сделки с застроенным земельным участком (стоимости единого объекта недвижимости) вычитается остаточная восстановительная стоимость строений, определенная затратным методом9.

Пример:

Рыночная стоимость единого объекта недвижимости

100 000 €

Полная восстановительная стоимость зда­ния, находящегося на земельном участке (стоимость строительства)

80 000 €

Общий износ

50%.

Остаточная восстановительная стоимость зда­ния =

80 000?0,5=40 000 €

Стоимость земли под зданием =

$100 000-40 000=60 000 €

13.2. Стоимость земли методом выделения также может быть рассчитана с использованием данных об удельной (в расчете на единицу площади) рыночной стоимости единых объектов недвижимости, остаточной стоимость строений на оцениваемом участке и коэффициенте, отражающем увеличение стоимости объекта недвижимости на величину прибыли застройщика и расходов, связанных с его реализацией. Использование коэффициента, отражающего увеличение стоимости объекта недвижимости на величину прибыли застройщика обусловлено тем, что дополнительные расходы и прибыль от строительства и продажи нового объекта обычно составляют определенный процент от рыночной стоимости объекта недвижимости в целом, и их размер может быть учтен через соответствующий коэффициент. Расчет может быть произведен по следующей формуле: Сз=(Ср/К– Со)?Кэ, где Сз - стоимость земли; Ср - рыночная цена единицы площади здания; К - коэффициент, отражающий увеличение стоимости объекта недвижимости на величину прибыли и дополнительных расходов; Со - остаточная стоимость единицы площади здания; Кэ - коэффициент этажности. Коэффициент этажности = (жилая площадь одного этажа/общая площадь земельного участка под зданием)?кол-во этажей.

Пример:

Цена предложения 1 кв.м общей площади в 5-этажном крупнопанельном доме, 1971 г. постройки в г. Самаре составляет 2042 руб.

Себестоимость строительства 1 кв. м общей площади панельных домов составляет 1935 руб. (данные сборника “Информационно-справочные материалы по ценам и расценкам в строительстве”, Самара, декабрь 1997 г.).

Срок службы дома на момент оценки равен 27 годам.

Норма амортизации строения данного типа - 1% в год или 0,01.

1,4- коэффициент, учитывающий экономическое старение в среднем для каменных зданий. Рассчитывается как отношение полного срока службы здания к сроку его экономической жизни10.

Остаточная стоимость 1кв. м строения равна: 1935?(1–27?0,01?1,4) =1204 руб.

Заявленная стоимость (стоимость предложения) 1 кв.м квартиры равна 2042 руб.

Реальная цена продажи (стоимость предложения, уменьшенная на 20%) равна:

2042?0,8 = 1634 руб.

В среднем для Самары коэффициент этажности варьирует от 0,7 до 1,2 кв. м. Для данного расчета он принят в размере 1,2 .

Коэффициент, отражающий увеличение стоимости объекта недвижимости на величину прибыли застройщика и других расходов для Самары равен 1.3.

Стоимость 1 кв. м оцениваемого земельного участка равна: (1634/1,3– 1204)?1,2 = 63,5 руб.

13.3. Метод выделения также можно использовать для оценки вновь застроенных или предназначенных для застройки земельных участков. В этом случае из рыночной стоимости вновь построенного объекта недвижимости вычитается стоимость строительства и иных затрат, связанных с его продажей, обычных для данного сегмента недвижимости.

Пример:

Стоимость 1 кв.м типового жилья в 9-ти этажном панельном доме

1000 €/м2

Стоимость строительства типового 9-ти этажного панельного дома, включая прибыль предпринимателя11

400 €/м2

Общий износ

0

Стоимость земли в стоимости 1 кв.м типового жилья

1000-400=600 €/м2

Коэффициент этажности (коэффициент, учитывающий площадь строения, приходящуюся на 1 кв.м земельного участка)

4,0

Стоимость земли под зданием =

600 ?4,0= 2400 €/м2

13.4. Если в результате расчетов получается отрицательная или нулевая стоимость земли и при этом единый объект недвижимости имеет рыночную стоимость, то это означает, что неверно рассчитана стоимость улучшений или величина накопленного износа.

Метод выделения при проведении оценки стоимости земли

Метод выделения (extraction) является разновидностью метода распределения. Стоимость земли выделяется из стоимости собственности вычитанием стоимости улучшений с учетом их износа. Этот метод можно рекомендовать для оценки загородных участков, для которых вклад улучшений мал и достаточно легко определяется.

Метод применяется при отсутствии информации о продажах свободных участков в ближних окрестностях.

Метод остатка для земельных участков

14.1. Метод остатка для земли заключается в определении остаточного дохода, приходящегося на землю и последующей его капитализации. Вначале определяется чистый операционный доход от эксплуатации объекта недвижимости, далее определяется доход, приходящийся на здания, затем эта величина вычитается из общего чистого операционного дохода. Остаточный доход, приходящийся на землю, в виде разницы между общим доходом и доходом, отнесенным на здания, капитализируется по приемлемой ставке.

14.2. Для расчета стоимости земли методом остатка может быть применена следующая формула:, гдеVL?стоимость земли;I?чистый операционный доход;VB?стоимость зданий;RL?коэффициент капитализации доходов от земли;RB?коэффициент капитализации доходов от улучшений.

14.3. Особенности определения рыночной стоимости земли данным методом заключается в следующем:

- метод применяется для зданий, соответствующих наиболее эффективному использованию земельного участка:

- в качестве коэффициентов капитализации используются рыночные ставки;

- для расчета чистого операционного дохода используются рыночные ставки арендной платы за помещения.

14.4. Если существующее здание не соответствует наиболее эффективному использованию земельного участка, то определяется, какие гипотетические строения представляют наиболее эффективное использование земельного участка, и для них рассчитывается предполагаемый чистый операционный доход.

14.5. Метод остатка рекомендуется применять в следующих случаях:

- известна или может быть точно определена стоимость здания;

- известен или может быть определен чистый операционный доход от объекта недвижимости;

- коэффициенты капитализации для здания и земли могут быть получены из рыночных данных.

14.6. Если коэффициенты капитализации для здания и земли не могут быть получены из рыночных данных, то они специально рассчитываются. В этом случае коэффициент капитализации для улучшений может быть рассчитан как сумма ставки дисконтирования, равной норме отдачи на капитал, и фактора фонда возмещения. Коэффициент капитализации для земли, определяется в размере ставки дисконтирования. Однако такой расчет снижает объективность получаемых значений стоимости.

14.7. Чистый операционный доход от эксплуатации объекта недвижимости определяется как разница между действи­тельным валовым доходом и операционными (эксплуатационными) расходами. При этом из дейст­вительного валового дохода вычитаются только те расхо­ды, которые несет арендодатель.

14.8. Действительный валовой доход определяется как разность между потенциальным вало­вым доходом и потерями от простоя помещений и неплатежей за аренду.

14.9. Потенциальный валовой доход определяется как доход, который можно получить от сдачи в аренду всех имеющихся помещений при отсутствии потерь от неплатежей за аренду.

14.10. Потери от простоя помещений рассчитываются в процентах от потенциального дохода. Потери от неплатежей рассчитываются в про­центах от разности потенциального дохода и потерь от простоя помеще­ний.

14.11. В расчетах рыночной стоимости земли потенциальный валовой доход определяется на основе данных о рыночных ставках арендной платы за помещения. Если в расчетах используются ставки арендных платежей, отличные от рыночных, то полученное значение будет не рыночной стоимостью, а стоимостью имущества при существующем использовании для конкретного собственника.

14.12. При от­сутствии информации о рыночных ставках арендной платы за помещения, например, промышленные, возможно использование данных о доходах от бизнеса. Для этого из результата оценки, полученного на основе дан­ных о доходах от бизнеса, нужно вычесть стоимость активов, не относящихся к недвижимости, например, нематериальных и движи­мых активов.

14.13. Управленческие расходывключаются в состав операционных расхо­довнезависимо от того, кто управляет объектом недвижимости — сам владелец или управляющий по контракту.

14.14. При расчете чистого дохода от эксплуатации из действительного ва­лового дохода не должны вычитаться амортизационные отчисления по недвижимости и расходы по обслуживанию долговых обязательств по недвижимости, если таковые были.

14.15. Стоимость зданий рассчитывается как разница между их полной восстановительной стоимостью и накопленным общим износом (остаточная восстановительная стоимость).

Пример:

Общий чистый операционный доход (ЧОД)

50 000 €

Стоимость улучшений

100 000 €

Коэффициент капитализации для улучшений

0,20

Чистый операционный доход, относящийся к улучшениям =

100 000?0,20=20 000 €

Чистый операционный доход, относящийся к земле =

50 000-20 000=30 000 €

Коэффициент капитализации для земли

0,18

Стоимость земли =

30 000 : 0,18=166 667 €

14.16. Основной проблемой, связанной с использованием данного метода, является появление отрицательного или нулевого дохода, приходящегося на землю. Наиболее распространенной причиной является неучет внешнего износа и избыточное увеличение остаточной восстановительной стоимости строений. Если в результате расчетов получается отрицательная или нулевая стоимость земли и при этом единый объект недвижимости может приносить доходы, то это означает, что неверно рассчитана стоимость улучшений или величина накопленного износа.

Метод предполагаемого использования при оценке земли

15.1. Метод предполагаемого использования является методом дисконтирования денежных потоков. Оценка земли данным методом заключается в том, что моделируется поток расходов, связанных с освоением земельного участка, и доходов, которые будет генерировать освоенный участок. Разность этих доходов и расходов, представляющая собой доход, приписываемый земле (остаточный доход или рента), последовательно дисконтируется на дату оценки и затем суммируется с целью получения текущей стоимости земли.

15.2. Метод предполагаемого использования наиболее подходит для оценки инвестиционной стоимости земли и любого природного объекта (например, месторождения, участка лесной земли и др.), то есть стоимости, удовлетворяющей требования инвестора к доходности конкретного проекта.

15.3. Этот метод также применяется для определения ценности территории при рассмотрении различных вариантов ее освоения с точки зрения обеспечения общественных интересов и сохранения природной среды, и является одним из основных при определении эффективности природоохранных и ресурсосберегающих проектов.

15.4. При оценке рыночной стоимости земли данный метод целесообразно применять, главным образом, для объектов недвижимости, которые характеризуются переменными чистыми годовыми доходами, в особенности применительно к вновь построенным инвестиционным объектам.

15.5. При оценке рыночной стоимости земли данный метод также применяется для анализа наиболее эффективного использования незастроенного земельного участка или рассматриваемого в качестве незастроенного.

15.6. При расчете стоимости земли данным методом возможно применение различных способов моделирования потока доходов и расходов. Выбор конкретного способа расчета стоимости зависит от целей оценки, вида доходов и расходов, имеющейся информации.

15.7. Одним из вариантов применения метода предполагаемого использования для оценки земли является метод разбивки на участки, если их застройка и последующая продажа считается наиболее эффективным видом использования земли.

15.8. Источником доходов от недвижимости, учитываемых в данном методе, является либо арендная плата за помещения, либо их продажа по окончании строительства в приемлемые сроки по рыночно обоснован­ным ценам.

15.9. Пример расчета стоимости земельного участка, на котором планируется строительство многоквартирного дома:

Тыс. USD

Статьи доходов и расходов

Месяцы реализации проекта

0

1

2

3

4

5

6

7

8

9

10

11

Затраты на строительство, включая прибыль застройщика

1000

200

200

200

200

200

Стоимость обременений

10

10

10

70

Арендная плата за землю

2

2

2

2

2

2

2

2

2

2

2

2

Доходы от продажи квартир

800

800

800

800

1000

1000

1000

1000

1000

1000

Чистый доход

-1002

-202

588

588

588

528

998

998

998

998

998

998

Ставка дисконтирования

10%

Фактор дисконтирования

1

0,99

0,98

0,97

0,96

0,961

0,95

0,94

0,93

0,93

0,92

0,91

Дисконтированный денежный поток

-1002

-200

578

574

569

507

951

944

936

929

921

914

Итого сумма

6625

Стоимость земли =

6625 или округленно 6600

15.10. При оценке земли по доходам от сдачи недвижимости в аренду необходимо предусматривать определение дохода от продажи объекта не­движимости в конце периода владения данным объектом (реверсию).

15.11. Пример расчета стоимости земельного участка, на котором планируется строительство торгового объекта с учетом реверсии:

Тыс. USD

Статьи доходов и расходов

Годы реализации проекта

0

0,33

(4 мес.)

0,42

(5 мес.)

1

2

3

4

Потенциальный доход =12000

12 000

12 000

12 000

Потери на незанятость =5% ?12000/100%

-600

-600

-600

Потери при сборе платежей=5%? (12000-600) /100%

-570

-570

-570

Действительный доход

10 830

10 830

10 830

Операционные расходы =40%?10830/100%

-4332

-4332

-4332

Земельный налог =50

-50

-50

-50

Затраты на строительство

-10 000

-8000

-6000

Прибыль предпринимателя (застройщика) - 20% от затрат на строительство

-2000

-1600

-1200

Налог на имущество (здание) - 2% от восстановительной стоимости с учетом износа*

-480

-468

-456

Чистый операционный доход

5968

5980

5992

Доход от продажи ( реверсия)

40000

Итого чистый доход

-8 000

-6400

-4800

5968

5980

5992

40000

Ставка дисконтирования =12% или 0,12

Фактор дисконтированияя =1/(1+0,12)год

1,00

0,96

0,95

0,89

0,78

0,70

0,62

Дисконтированный денежный поток

-8000

-6144

-4560

5311,52

4664,4

4194,4

24800

Итого сумма

20266

Стоимость земли =

20266 или округленно 20270

* Восстановительная стоимость = стоимость строительства минус износ. Износ принимается равным 2,5% в год. Отсюда восстановительная стоимость здания с учетом износа равна: 1-й год = 10000+8000+6000=24000 тыс. USD; 2-ой год - 24000?(1-0,025)= 23400 тыс.USD; 3-й год - 24000?(1-0,05)= 22800. На четвертый год происходит продажа объекта.

Метод разбивки на участки при проведении оценки стоимости земли

Метод разбивки на участки (subdivision development) применяется в случаях, когда такая разбивка представляет наивысшее и наиболее эффективное использование земли. При этом цену продажи отдельного участка можно определить из сравнения продаж.

Разбивка большого земельного массива на участки – широко распространенная практика, так как этим создаются условия для более ин­тенсивного использования собственности. Внешние и внутренние улуч­шения участков, создаваемые при разбивке, обеспечивают условия для наиболее эффективного использования земли.

Первым шагом метода разбивки является определение количества и размеров участков исходя из физических возможностей, юридических возможностей и экономической целесообразности. Хотя обоснованная оценка количества участков получается в соответствии с требованиями действующих нормативов, предпочтение может быть отдано данным по развитию аналогичного земельного массива, если таковые имеются.

Следующий шаг – определение потенциальной выручки от продажи или сдачи в аренду подготовленных участков. Основой для расчета явля­ется стоимость одного участка, определенная методом сравнения про­даж с учетом корректировок на различия.

Стоимость земельного массива определяется чистой выручкой от про­даж, т.е. разностью между потенциальной выручкой от продаж и суммой всех издержек на улучшения и устройство участков.

Издержки на улучшения обычно включают:

  • расходы на разбивку, расчистку и планировку участков;

  • расходы по устройству дорог, тротуаров, инженерных сетей, дренажа;

  • налоги, страховка, гонорары ИТР;

  • расходы на маркетинг;

  • прибыль и накладные расходы подрядчика;

  • прибыль предпринимателя и т.д.

Таккак освоение территории обычно занимает некоторое время и вы­ручка от продаж поступает не единовременно, настоящая стоимость зе­мельного массива определяется дисконтированием потока чистой вы­ручки от продаж с учетом периодичности поступлений и предполагае­мой нормы отдачи проекта.

Описанный метод следует использовать осторожно. Прогнозируемое освоение должно отражать наиболее вероятный вариант использования земли. Принятые в расчет затраты должны включать прямые затраты на подготовку участка и прокладку коммуникаций, все косвенные затраты и обосно- ванный прогноз прибыли. До тех пор, пока земельный участок не поделен на площадки, прогнозируемые доходы и расходы следует дисконтировать на время реального заключения сделки. Однако после дробления каждая площадка становится отдельным владением, и его стоимость должна отражать наиболее вероятную цену продажи, за которую его можно будет предложить на данном рынке в данное время.

Пример

Определить рыночную стоимость земельного участка при следующих исходных данных.

Инвестор планирует купить свободный земельный участок размером 8 га, разбить его на 32 индивидуальных участка, построить на них дома (дачи) и продать, получив при этом прибыль.

Общая выручка от продажи всех индивидуальных участков составляет 20 800 тыс. руб. (650 тыс. руб. х 32 участка).

Текущая стоимость издержек на освоение составила 10 400 тыс. руб., на управление и охрану - 520 тыс. руб. Издержки по продаже составляют 780 тыс. руб., текущие расходы (страхование, налоги и пр.) - 520 тыс. руб., предпринимательская прибыль - 1560 тыс. руб. Текущая стоимость общих издержек составляет 13 780 тыс. руб.

Разработан график продаж, предусматривающий продажу одного индивидуального участка в месяц (т.е. выручка составляет 650 тыс. руб. в месяц). Эта выручка дисконтируется в текущую стоимость по ставке 12% за 32-месячный период, что составляет 16 884,14 тыс. руб.

Таким образом, стоимость освоенного земельного участка составит 3104,14 тыс. руб. (16884,14 - 13780 = 3104,14).

Метод распределения при оценке земли

12.1. Метод распределения основан на использовании в расчетах данных о соотношении стоимости земли и улучшений в стоимости единого объекта недвижимости (застроенного земельного участка).

12.2. Возможны различные варианты определения стоимости земли с использованием данного метода. Наиболее распространенными способами являются:

1) использование известного (полученного из аналитических обзоров или макроэкономических исследований) соотношения, характерного для определенного типа объектов в регионе оценки или в других регионах (например, в европейских странах доля стоимости земли под промышленными объектами оценивается в 0,01-0,1, в США доля стоимости земли под торговыми объектами в 1970-е годы на макроэкономическом уровне оценивалась в 0,667);

2) расчет данного соотношения на основе имеющихся данных.

12.3. Если известна стоимость единого объекта недвижимости (VО) и доля стоимости земли в общей стоимости единого объекта недвижимости (КL), то стоимость земли (VL) определяется как: VL = КL ?VO .

Пример 1:

Доля стоимости земли под промышленными объектами определена в 0,1. Стоимость единого объекта недвижимости определена в 1 млн. руб. Стоимость земли равна 1 млн. руб. ?0,1 = 100 тыс. руб.

Пример 2:

Объекты

Цена единого объекта ?

Доля земли =

Стоимость земли /

Площадь земельного участка =

Удельная стоимость земли

Объект 1

2 000 000 €

0,20

400 000 €

2 га

200 000 €/га

Объект 2

1 200 000 €

0,25

300 000 €

1,6 га

187 000 €/га

Объект оценки

0,5 га

Стоимость земли в составе объекта оценки = (200 000+ 187 000)/2?0,5 = 96750 €

12.4. Если известна стоимость единого объекта недвижимости (VО) и доля стоимости улучшений в общей стоимости единого объекта недвижимости (КВ), то стоимость земли (VL) может быть определена как: VL=(1-КВ)?VO. Например, доля улучшений составляет 0,8 в стоимости единого объекта недвижимости. Стоимость единого объекта - 1 млн €. Стоимость земли равна: (1-0,8)?1 млн. € =200 тыс. €.

12.5. Если известна стоимость будущих улучшений или стоимость предполагаемого строительства (VВ) и доля имеющихся улучшений в общей стоимости единых объектов недвижимости, рассматриваемых в качестве аналогов (КВ), то стоимость земли (VL) может быть определена как: VL=(1-КВ)?VB В.

Пример:

Объекты

Стоимость улучшений

Цена застроенного земельного участка

Доля стоимости улучшений в стоимости единого объекта

Объект 1

500 000 €

600 000 €

0,83

Объект 2

600 000 €

700 000 €

0,85

Объект 3

700 000 €

800 000 €

0,87

Среднее значение

0,85

Объект оценки (земельный участок, на котором планируется застройка)

500 000 €

(предполагаемая стоимость строительства)

Стоимость земли = (1-0,85)?500 000/0,85 = 117 647 €

Метод распределения при проведении оценки стоимости земли

Метод распределения (allocation) основан на принципе баланса или вклада, который утверждает, что для каждого типа недвижимости существует нормальное соотношение между стоимостью земли и стоимостью построек. Наиболее достоверно такое соотношение для новых улучшений, которые наиболее близко отражают оптимальное использование земли. С увеличением возраста построек отношение стоимости земли к общей стоимости собственности увеличивается.

Данный метод не даёт точного значения рыночной стоимости, он может применяться для оценки в условиях недостаточной информации о продажах свободных участков земли.

Предположим, что требуется оценить участок земли в курортной зоне, причем свободные участки в данной местности давно не продавались. Вместе с тем недавние продажи домов показывают, что цена типового дома с участком колеблется от 6200 до 9300 тыс. руб.

Анализ рынка показывает, что в ближних окрестностях можно купить такой же по размерам участок земли за 2790 тыс. руб., затраты на строитель­ство типового дома составят 3100 тыс. руб., а прибыль предпринимателя и накладные расходы – 2480 тыс. руб. Итого общая стоимость составит 8370 тыс. руб., из которых земля составляет одну треть.

Следует заметить, что прибыль и накладные расходы относятся только к улучшениям, а земля оцениваетсякак свободная и доступная для улучшений. Поэтому прибыль предпринимателя и накладные расходы не распределяются на стоимость неулучшенного участка, т.е. цена участка не включает прибыль предпринимателя и накладные расходы.

Исходя из проведенных расчетов, стоимость участка земли в курорт­ной зоне может находиться в диапазоне от 1860 до 3100 тыс. руб. (1/3 от стоимости собственности). Это приближенная оценка, завися­щая от расходов на строительство дома.

Метод реальных опционов при оценке земли

24.1. Для оценки сельскохозяйственных угодий также можно применить метод реальных опционов13.

24.2. Данный метод подходит для оценки сельскохозяйственных угодий, так как позволяет учитывать значительные колебания цен и высокую неопределенность других параметров, используемых в расчетах, исходя из вероятностных характеристик их динамики.

24.3. Оценка стоимости природных ресурсов, а также прав, дающих возможность их использовать, проводится по модели Блэка-Шоулза для опционов колл.

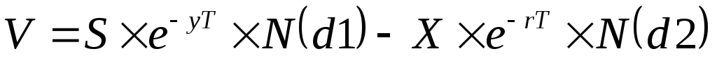
24.4. Модель Блэка-Шоулза, адаптированная для оценки стоимости сельскохозяйственных угодий: , где V – стоимость сельскохозяйственных угодий; ; ; Sстоимость базового актива, под которым понимается капитализированный валовой доход от производства сельскохозяйственной продукции, например, зерна, рассчитанный в рыночных ценах; X – стоимость развития, под которой понимаются капитализированные затраты на производство этой продукции, рассчитанные по той же ставке дисконтирования, что и стоимость базового актива; ?2 дисперсия стоимости валового дохода в разные годы, подсчитанного в рыночных ценах; ? – среднеквадратичноеотклонение стоимости валового дохода в разные годы; Т – срок исполнения для сельскохозяйственных угодий; принимается равным сроку, после которого происходит вырождение настоящей стоимости будущего потока дохода или ее приращение становится равным погрешности счета; y –ставка дивидендной доходности; принимается равной величине, обратно пропорциональной сроку, при котором происходит вырождение значения настоящей стоимости будущего дохода; r – безрисковая ставка доходности.

24.5.6. Метод реальных опционов применим только в том случае, когда стоимость базового актива (S) превышает стоимость развития (Х), то есть выполняется неравенство S> X.

24.7. Процедура расчета рыночной стоимости методом реальных опционов состоит из следующих этапов:

  1. определяется дисперсия и среднеквадратичное отклонение валовых доходов от продажи сельскохозяйственной продукции, например, пшеницы за ряд лет;

  2. определяется безрисковая ставка и ставка дисконтирования (коэффициент капитализации для земли);

  3. определяется стоимость базового актива (капитализированный валовой доход от сельскохозяйственной продукции) и стоимость развития (капитализированные затраты на производство пшеницы);

  4. определяется срок исполнения и ставка дивидендной доходности для выбранной ранее безрисковой ставки;

  5. определяются другие параметры, необходимые для расчетов;

  6. рассчитывается стоимость по формуле Блека-Шоулза.

24.8. Пример расчета рыночной стоимости пашни методом реальных опционов:

Условия задачи

Требуется оценить стоимость пашни. Основной товарной культурой является пшеница. Средняя многолетняя урожайность - 50 ц/га. Цена реализации, определенная как средневзвешенная величина за последний сельскохозяйственный год, – 450 руб./ц или 15 $/ц. Доля затрат в цене реализации – 60% или 0,6.

Определение исходных параметров

Дисперсия рассчитана с использованием программы Excel(стандартные статистические функции ДИСП, КОРЕНЬ)14. Для расчета дисперсии использованы следующие данные о динамике мировых цен на пшеницу и валовых сборах пшеницы:

 

1997-1998 гг.

1998-1999 гг.

1999-2000 гг.

2000-2001 гг.

2001-2002 гг.

2002-2003 гг.

2003-2004 гг.

Валовой сбор, млн.т

587,8

589,4

599,0

611,7

621,9

631,2

641,6

Цена, USD./т

162

163

169

171

175

181

189

Валовой доход

95223

96072

101231

104600

108832

114247

121262

В результате расчетов получаем: ?2 = 91388907;?= 9559,7; Хср=105924,2.

Среднеквадратичное отклонение, выраженное в процентах или долях от среднего значения, равно: 100% ? ?/Хср=100% ? 9559,7 : 105924,2 = 0,0902. Дисперсия, выраженная в долях, = 0,092= 0,00814.

Безрисковая ставка (r)для России принимается равной 5%. В качестве коэффициента капитализации принимается ставка дисконтирования, равная 9%.

Стоимость базового актива (S) определяется как капитализированный доход от продажи пшеницы.S= (50 ц/га?15 $/ц ) : 0,09 = 8333 $ /га.

Стоимость развития (Х)определяется как доля затрат на производство пшеницы в цене реализации (аналог коэффициента операционных расходов). Х=8333?0,6 = 4999 $/га или округленно 5000 $/га.

При безрисковой ставке 5%, ставка дивидендной доходности (y) равна 0,7%. Срок исполнения(Т)равен 140 годам.

Исходные данные для расчетов:

е =2,7183 (const)T=140S=2904=0,09X= 1844=0,008S/X=1,57=1,064 = 0,451r = 0,05

y = 0,007== 0,99

=0,990 – 1,064 = -0,074

N(d1) =N(0,99) =0,83815

N(d2) =N(-0,074)= 0,470

== 0,375

==0,0009

Для упрощения расчетов формулу Блэка–Шоулза можно записать следующим образом: , где К1==0,375?0,838=0,314; К2==0,0009?0,470=0,000423.

Расчет стоимости

Стоимость пашни = 8333 $/га?0,314–5000 $/га?0,000423=2616,562 $/га - 2,115 $/га =2614,447 $/га или округленно 2600 $/га.

Методы оценки земельных участков

Рис. 6.3 Методы оценки земельных участков

Оценка стоимости земельных участков проводится на основе Методических рекомендаций по определению рыночной стоимости земельных участков, утвержденных распоряжением Минимущества России от 06.03.2002 № 568-р или на основе иных методов, представленных в учебной литературе, так как методические рекомендации не носят обязательственный характер.

Среди иных методов в учебной литературе для расчета стоимости земельных участков используют метод возмещения затрат на инфраструктуру, метод по типовым инвестиционным контрактам.

Методы оценки земельных участков и их особенности

Известно около двадцати методов оценки земельных участков. Классификация основных методов приведена в табл. 4.

Таблица 4

Классификация основных методов оценки земельных участков

Виды стоимости

Подход

Метод

Характеристика

Рыночная

Сравнительный

Сравнения продаж (способы единицы сравнения и базо-

вого участка)

Метод основывается на систематизации и сопоставлении информации о ценах продажи аналогичных земельных участков, т.е. на принципе замещения

Переноса (способы распределения и выделения)

Определяются соотношения между стоимостью земельного участка и возведенных на нем сооружений. Цена продажи объекта недвижи-мости разделяется на две части – стоимость зданий и стоимость земельного участка

Доходный

Прямой капитализации

Основан на оценке земли по доходности путем преобразования денежного дохода в стоимость спомощью коэффициента капитализации, т.е. доли текущего дохода в полной стоимости участка

Капитализации дохода по периодам

Строится на определении потоков доходов за весь период владения и приведения этих потоков к текущей стоимости

Техники остатка дохода для земли

Базируется на классической теории экономики земли, которая трактует весь доход, приписываемый земле, как остаточный

Затратный

Изъятия

Определяет рыночную стоимость собственно земельного участка как разницу между рыночной стоимостью всего объекта недвижимости, т.е. земельного участка с улучшениями и восстановительной стоимостью улучшений за вычетом их износа

Определения затрат на освоение

(разбивка на участ- ки)

Заключается в определении общей стоимости земли при предположении, что она будет разделена на отдельные земельные участки, которые будут проданы

Оценки по затратам на инфраструктуру

Состоит в том, что при оценке земель населенных пунктов необходимо рассчитать величину затрат на воспроизводство улучшений городских земель

Продолжение таблицы 4

Нормативная

Основан на использовании жестких нормативов, утвержденных законодательными, руководящи-ми и регламентирующими документами феде- рального и муниципального уровней и предполагающими однозначность оценивания собственности

Основным приемом оценки земли является метод сравнения продаж, который всегда предпочтительнее, если есть информация о достаточном числе сделок. Есть два принципиальных подхода к оценке земли – метод единиц сравнения и метод базового участка.

Методы оценки земли и их особенности

Земельные отношения имеют особый юридический статус.

Объектами земельных отношений являются земельные участки и права на них.

Зонирование земель – это разделение земель на земельные участки с различным целевым назначением и правовым режимом использования.

Целевое назначение и правовой режим основных категорий земель определяются федеральными законами, законами субъектов РФ и отражаются в градостроительной и землеустроительной документации.

Оценка земли подразделяется на массовую кадастровую оценку земельных участков и рыночную оценку единичного земельного участка.

Кадастровая и рыночная оценка земли проводятся на основе комплексного применения трех подходов: доходного, сравнительного и затратного (техника остатка для земли).

Вопросы для самоконтроля по теме.

1. Приведите развернутое определение земельного участка.

2. В чем заключаются особенности земли как объекта стоимостной оценки?

3. Что является объектом земельных отношений?

4. Чем определяются целевое назначение и правовой режим земель?

5. Из каких категорий земли состоит земельный фонд РФ?

6. Какие методы оценки применяются для расчета рыночной стоимости земельных участков?

7. В чем заключаются различия между кадастровой и единичной оценками земельных участков?

Тесты по теме.

1. Оценка земельных участков может проводиться с целью:

а) определения налогооблагаемой базы;

б) определения залоговой стоимости земельного участка при ипотечном кредитовании;

в) определения страховой стоимости застроенных земельных участков;

г) во всех вышеперечисленных случаях.

2.Наилучшее и наиболее эффективное использование необходимо определить:

а) для незастроенного участка;

б) для участка с улучшениями;

в) все выше перечисленное.

3. Стоимость земельного участка, купленного за 15тыс.у.е., ежегодно увеличивается на 14%. Сколько будет стоить участок через 4 года после приобретения? Ответ:

а) 25334,4у.е.;

б) 23556,4у.е.;

в) 13856,3у.е..

4. Правовой режим основных категорий земель определяются:

а) федеральными законами;

б) законами субъектов РФ;

в) все перечисленное.

5. Какие из нижеперечисленных факторов не оказывают существенного воздействия на оценочную стоимость земельного участка, предназначенного под гаражное строительство:

а) местоположение;

б) плодородие почв;

в) величина доходов населения.

Ответы к тестам по темам

№ теста

Тема

1

2

3

4

5.1

5.2

5.3

5.4

1

г

ж

а,в

а

а

б,г

а

г

2

а

д

а

б,в,г

а

в

а,г

в

3

а

а,б,в,г

а,б

а

а

в

а,б,в

а

4

г

а

д

в

б

б

а,б

в

5

б

а,в

а

а,б

а

г

б

б

Методы оценки земли как объекта недвижимости

Кадастровая оценка. Кадастровая стоимость объектов оценки определяется на дату формирования перечня объектов недвижимости для целей проведения государственной кадастровой оценки.

Выбор подходов, методов и моделей для определения кадастровой стоимости осуществляется оценщиком и должен быть обоснован. Определение кадастровой стоимости объектов оценки выполняется как с использованием компьютерного моделирования (моделей), так и без него.

При применении методов массовой оценки, в случае отсутствия у оценщика такой информации, не учитываются виды прав и ограничения (обременения) на объекты оценки, за исключением сервитутов, установленных законом или иным нормативным правовым актом Российской Федерации, нормативным правовым актом субъекта Российской Федерации, нормативным правовым актом органа местного самоуправления.

Для построения модели оценки оценщик осуществляет сбор достаточной и достоверной рыночной информации об объектах недвижимости.

При построении модели оценки оценщик использует ценовую информацию, соответствующую сложившемуся уровню рыночных цен.

В случае недостаточности рыночной информации для построения модели оценки проводится оценка рыночной стоимости, определяемой индивидуально для конкретного объекта недвижимости.

Сбор сведений о значениях ценообразующих факторов, определяющих стоимость объектов оценки, осуществляется оценщиком.

При определении кадастровой стоимости оценщик использует данные, включенные в фонд данных государственной кадастровой оценки, а также государственный кадастр недвижимости, фонд данных землеустроительной документации, фонды данных и базы данных, имеющиеся в распоряжении организаций и учреждений субъекта Российской Федерации и муниципальных образований. Допускается использование информации из иных источников, содержащих сведения доказательного значения.

Для незастроенного земельного участка при отсутствии установленного вида разрешенного использования принимается тот вид разрешенного использования, который обеспечивает такому земельному участку максимальную рыночную стоимость с учетом территориального планирования и градостроительного зонирования.

Для застроенного земельного участка при отсутствии установленного вида разрешенного использования принимается вид разрешенного использования, исходя из назначения объектов недвижимости (зданий, сооружений), расположенных в пределах данного земельного участка.

При определении кадастровой стоимости с использованием методов массовой оценки все объекты оценки, содержащиеся в перечне для целей проведения государственной кадастровой оценки, разбиваются на группы объектов оценки на основании анализа информации о рынке объектов оценки, обоснования модели оценки кадастровой стоимости, состава ценообразующих факторов и сведений о значениях ценообразующих факторов объектов оценки для каждого исследуемого вида объектов оценки. В набор ценообразующих факторов должны быть включены только те факторы, которые оказывают существенное влияние на стоимость объектов оценки и могут быть достоверно определены и объективно измерены.

Для проведения группировки обосновывается выбор показателей, значений или диапазона значений данных показателей для отнесения объектов оценки в соответствующие группы.

Объекты недвижимости, строительство которых незавершено, не могут быть отнесены в группы совместно с объектами недвижимости, строительство которых завершено.

Для каждой группы объектов оценки оценщиком должна быть выбрана модель оценки, позволяющая на основе информации о ценообразующих факторах рассчитать кадастровую стоимость любого объекта оценки, входящего в данную группу.

Для построения модели оценки может быть использована методология любого из подходов к оценке: затратного, сравнительного и доходного. Выбор подхода или обоснованный отказ от его использования осуществляется оценщиком, исходя из особенностей вида разрешенного использования или назначения, а также достаточности и достоверности располагаемой рыночной информации.

Выбор модели оценки состоит из следующих этапов:

1) выбор структуры моделей оценки (формы связи кадастровой стоимости и ценообразующих факторов);

2) выбор окончательного вида модели оценки, в том числе на основе анализа достоверности использованной информации и точности моделей оценки.

При наличии достаточной и достоверной информации о ценах сделок и предложений по купле-продаже объектов оценки расчет кадастровой стоимости объекта оценки осуществляется преимущественно на основании сравнительного подхода.

При применении методов массовой оценки кадастровая стоимость объекта оценки определяется путем подстановки значений ценообразующих факторов, соответствующих данному объекту оценки, в модель оценки, с использованием которой может быть оценен данный объект оценки.

Если оценщиком использовано более одного подхода к оценке, результаты применения подходов должны быть согласованы с целью определения итоговой величины стоимости объекта оценки.

В случае существенного расхождения результатов расчета кадастровой стоимости объекта оценки, полученных с применением различных подходов, оценщик должен провести анализ причин полученного расхождения.

Выбранный оценщиком способ согласования, а также все сделанные оценщиком при осуществлении согласования результатов суждения, допущения и использованная информация должны быть обоснованы. В случае применения для согласования процедуры взвешивания оценщик должен обосновать выбор использованных весов.

По результатам определения кадастровой стоимости объектов оценки оформляется отчет об определении кадастровой стоимости.

Отчет об определении кадастровой стоимости должен быть составлен не позднее семи месяцев с даты заключения договора на проведение кадастровой оценки.

Метод сравнения продаж является наиболее простым и эффективным методом оценки, может использоваться для оценки и фактически свободной, и предположительно вакантной земли; он позволяет определить конкретную цену земельного участка путем внесения процентных поправок к ценам продаж аналогов. При отсутствии информации о ценах сделок с земельными участками допускается использование цен предложения (спроса).

Общепринятые элементы сравнения для земельных участков: права собственности, условия финансирования, особые условия продажи, рыночные условия (изменяются во времени), месторасположение (расстояние от города и дорог, характеристика окружения), условия зонирования, физические характеристики (размер, форма и глубина участка, угловое расположение, тип почв, рельеф), доступные коммунальные услуги, экономические характеристики, наилучшее и наиболее эффективное использование. При оценке земли можно использовать несколько единиц сравнения, корректируя цену каждой из них и получая в конце несколько значений стоимости, определяющих диапазон стоимости. Особую категорию представляют собой городские земли, на их ценность влияют величина города и его производственно-хозяйственный потенциал, уровень развития инженерной и социальной инфраструктуры, региональные природные, экологические и другие факторы.

Метод дает достаточно точные результаты только на развитом информационно открытом конкурентном рынке. Российский земельный рынок не отвечает этим требованиям, стоимость земельного участка невозможно определить исходя из информации о сделках продаж участков-аналогов. Поэтому для оценки должна собираться вся доступная информация, чтобы применить все методы оценки участков.

Метод капитализации земельной ренты основан на том, что при наличии достаточной информации о ставках аренды земельных участков можно проводить определение стоимости этих участков как текущей стоимости будущих доходов в виде арендной платы за оцениваемый земельный участок. В рамках данного метода величина земельной ренты может рассчитываться как доход от сдачи в аренду земельного участка на условиях, сложившихся на рынке земли. Как регулярный поток дохода, земельная арендная плата может капитализироваться в стоимость делением на коэффициент капитализации для земли, опре­деляемый из анализа рынка. Исходные данные для капитализации получают из сравнения продаж арендованной земли и величин арендной платы.

На основе полученной арендной ставки рыночная стоимость участка определяется по доходному подходу обычно с применением метода прямой капитализации. Формула расчета стоимости земельного участка имеет вид

, (2)

где VL – стоимость земельного участка;

IL – доход от владения землей;

RL – ставка капитализации для земли.

Ставка капитализации определяется делением величины земельной ренты по аналогичным земельным участкам на цену их продажи или увеличением безрисковой ставки отдачи на капитал на величину премии за риск, связанный с инвестированием капитала в оцениваемый земельный участок.

Основные факторы, влияющие на величину арендной ставки земельного участка, – это характеристики местоположения, размер, форма, окружающий тип землепользования, транспортная доступность, инженерное оборудование.

Однако в России в аренду, главным образом, сдаются земли государственного и муниципального фонда, и величина арендной платы рассчитывается в соответствии с нормативной ценой земли, не эквивалентной ее рыночной стоимости. В настоящее время предпринимаются попытки аренды земли по ее рыночной стоимости, но еще рано говорить об объективности результатов практического применения метода капитализации земельной ренты.

Метод распределения (соотношения, соотнесения, allocation) определение составляющей стоимости земельного участка на основании известного соотношения стоимости земли и улучшений в имущественном комплексе. Метод основан на принципе вклада и утверждении того, что для каждого типа недвижимости существует нормальное соотношение между стоимостью земли и построек. Наиболее достоверно это соотношение для новых построек, они близки к варианту лучшего и наиболее эффективного использования. Чем больше возраст зданий, тем больше величина отношения стоимости земли к общей стоимости собственности.

Для применения метода требуются достоверные статистические данные о соотношении стоимостей земли и всей собственности конкретного типа недвижимости на заданном рынке. Однако метод редко применяется даже на развитых рынках, так как обладает низкой достоверностью. Применение метода оправдано в условиях недостаточности информации о продажах земельных участков. Получаемые значения считаются ориентировочными.

Метод выделения (извлечения) применяется для оценки застроенных земельных участков, если есть информация о ценах сделок с аналогичными объектами недвижимости. Улучшения земельного участка соответствуют его наиболее эффективному использованию. Метод предполагает следующие этапы действий:

1) определение элементов сравнения объектов;

2) определение отличий каждого аналога от объекта оценки;

3) расчет и внесение корректировок по каждому из элементов сравнения;

4) расчет рыночной стоимости единого объекта недвижимости, включающего в себя оцениваемый земельный участок, путем обоснованного обобщения скорректированных цен аналогов;

5) расчет стоимости замещения или стоимости воспроизводства улучшений оцениваемого земельного участка;

6) расчет рыночной стоимости оцениваемого земельного участка путем вычитания из рыночной стоимости единого объекта недвижимости, включающего в себя оцениваемый земельный участок, стоимости замещения или стоимости воспроизводства улучшений земельного участка.

Метод выделения применяется, когда вклад улучшений в общую цену участка невелик, рекомендуется для оценки загородных участков (для которых вклад улучшений мал и достаточно легко определяется), применяется при отсутствии данных о продажах земельного участка в окрестности.

Метод является наиболее эффективным в условиях пассивного рынка (отсутствуют данные о продаже свободных земельных участков) с учетом особенностей исходной информации и модели получения искомой стоимости. Стоимость земельного участка в общем виде определяется по формуле

Сз = С – Су, (3)

где Сз – стоимость земельного участка;

С – стоимость объекта;

Су – стоимость улучшений.

Метод остатка для земли основан на технике инвестиционной группы для физических составляющих. Метод применяется для оценки застроенных и незастроенных участков, если есть возможность застройки оцениваемого земельного участка улучшениями, приносящими доход. Стоимость земли определяют в результате капитализации части дохода, относящегося к земле.

Для определения стоимости земельного участка необходимо знать стоимость здания, чистый операционный доход всей собственности, коэффициенты капитализации для земли и для зданий.

Основные этапы метода остатка для земли:

  1. определяется чистый операционный доход всей собственности на основе рыночной ренты и предполагаемых операционных расходов;

  2. определяется чистый операционный доход, относящийся к строению (зданию);

  3. чистый операционный доход, относимый к земельному участку, капитализируется в показатель стоимости через норму капитализации для земли.

Метод разбивки на участки (подход с точки зрения развития) используется при оценке земли, пригодной для разделения на индивидуальные участки. Состоит из следующих этапов:

  1. определение размеров и количества индивидуальных участков;

  2. расчет стоимости освоенных участков с помощью метода сравнения сопоставимых продаж;

  3. расчет затрат и графика освоения, предполагаемого периода продажи и разумной предпринимательской прибыли;

  4. вычет всех затрат на освоение и предпринимательской прибыли из предполагаемой суммарной цены продажи участков для определения чистой выручки от продажи недвижимости после завершения освоения и продажи индивидуальных участков;

  5. выбор ставки дисконта, отражающей риск, связанный с периодом предполагаемого освоения и продажи.

Затраты на освоение земельного массива обычно включают:

  • расходы на разбивку, расчистку и планировку участков;

  • расходы по устройству дорог, тротуаров, инженерных сетей, дренажа;

  • налоги, страховку, гонорары специалистам и служащим;

  • расходы на маркетинг;

  • прибыль и накладные расходы подрядчика и т.д.

В целом моделирование рыночной стоимости земельных участков проводится в рамках предположения о достижении динамического равновесия в конкуренции различных «рациональных» землепользователей за право занять определенный участок. При балансе платежеспособного спроса и предложения на имитируемом земельном рынке при ограниченности предложения решается вопрос о наиболее эффективном использовании участка как свободного, так и с учетом существующей застройки. Моделирование потенциального рентного дохода для различных типов землепользования базируется на закономерностях формирования рентных эффектов местоположения и сложившихся цен (продажи и аренды). Учитывая существенную разницу в стоимостных показателях для участков, расположенных по фронту улично-дорожной сети города и на внутриквартальных территориях, эти участки подлежат обязательному разделению при оценке. Реализация принципа наиболее эффективного использования происходит в условиях конкуренции за пользование недвижи-мостью между различными функциональными сегментами рынка с учетом реальных ограничений на объемы спроса и возможной многофункциональности территории, в результате чего на каждом участке образуется набор землепользователей.

Методы оценки рыночной стоимости земельных участков

Особенности земли как товара Земля обладает двойственной природой и может рассматриваться как природный ресурс или некая территория, используемая для разных целей, и как объект недвижимости, имущественные права на который могут выступать в качестве товара. Как природный ресурс земля обладает социальной и экономической ценностью, величина которой зависит от тех функций, которые она выполняет. Как товар земля обладает стоимостью, которая также может быть измерена и определена. Товаром являются земельные участки и отдельные права на них.

К особенностям земли как товараотносится: ее ограниченность и невосполнимость, как природного ресурса, долговечность, возможность многофункционального использования, уникальность и невозможность перемещения,то есть недвижимость. Данные особенности являются основными факторами, формирующими стоимость любого земельного участка.

Ограниченность и невосполнимостьземли проявляется в том, что земельный участок не может быть создан рукотворно. Вследствие этого предложение земельных участков отличается относительной стабильностью.

Долговечность проявляется в том, что земля, как пространство, территория не подвержена физическому старению, не разрушается и не исчезает со временем и может быть использована практически в течение неограниченного количества времени за исключением случаев ее загрязнения, приводящих к невозможности дальнейшего использования, например радиоактивного заражения, истощения почв в результате эрозии, засоления и других подобных явлений. Резкие изменения в количественных характеристиках земли, приводящими к невозможности ее дальнейшего использования бывают связаны с природным катаклизмами или геологическими процессами, протяженность которых выходит за рамки человеческой жизни.

Многофункциональность использованияозначает, что один и тот же участок может использоваться разными способами в зависимости от тех функций, которые могут выполнять природные объекты, а также от видов землепользования, которые разрешены для данного участка. Возможность многофункционального использования связана со способностью земли производить различные товары и услуги и служить местом различных видов пользования. Использование земли может быть альтернативным, то есть исключающим другие виды пользования, например застройка, а также многоцелевым, означающем получение доходов более, чем от одного вида пользования. Пользование, приносящее большие доходы, считается наиболее эффективным.

Уникальность земли как товарапроявляется в разном качестве земельных участков, которое определяется различной продуктивностью, связанных с данным земельным участком природных объектов, например почвы или леса; расположением земельного участка, изменить которое нельзя. Последняя особенность самым тесным образом связана с таким свойством земли как ее недвижимый в вещественном отношении характер. Земельный участок не может быть перемещен в другое место или заменен другим участком. Благодаря неподвижности земельных участков каждый объект недвижимости обладает уникальным местоположением

Ограниченность в способах использования. Землю нельзя использовать произвольно исключительно по своему усмотрению, а только тем способом, который разрешен правовыми нормами, то есть считается приемлемым для общества. Это связано с тем, что при использовании земли в силу ее ограниченности и двойственного характера, возникает множество конфликтов интересов, как в отношении способов использовании, так и в отношении распределения доходов, получаемых от владения и использования земельных участков. Во всех странах существует государственное регулирование землепользования, результатом чего является установление определенных ограничений и запретов, а также мер экономического воздействия на землепользователей, оказывающих сильное влияние на поведение рынка земли и формирование рыночной стоимости земельных участков.

Методы оценки стоимости земельных участков

8.1. Для определения стоимости земли используются унифицированные методы, которые могут быть применены при оценке земельных участков с любым типом землеполь­зования, в том числе для оценки земли в городах, пригородах, сельских населенных пунктах, для оценки сельскохозяйственных и лесных угодий, оценки земли, занятой промышленными и линейными объектами вне черты поселений.

8.2. Возможность и целесообразность применения того или иного метода зависит от целей оценки, типа оцениваемой недвижимости, наличия исходных данных. Обязательным условием определения стоимости земли любым методом является использование рыноч­ных данных.

8.3. При определении стоимости земли оцениваться могут как свободные от застройки земельные участки, так земельные участки (собственно земля) в составе единых объектов недви­жимости.

8.4. Особенностью оценки рыночной стоимости земли является то, что любой земельный участок рассматривается как условно свободный, или не занятый зданиями, сооружениями, строениями или иными объек­тами недвижимого имущества, которые могут не соответствовать ее наи­более эффективному использованию.

8.5. Для оценки стоимости незастроенных (свободных) земельных участков применяются методы сравнительного и доходного подходов.

8.6. Для оценки стоимости земли в составе застроенного земельного участка (единого объекта недвижимости) в дополнение к методам доходного и сравнительного подходов применяются методы, представляющие их комбинацию с методами затратного подхода.

8.7. Методы оценки земли, применяемые в разных странах, по своему экономическому содержанию являются одинаковыми. Однако данные методы могут носить разные названия и классифицироваться по-разному.

В Международных стандартах оценки (МСО) дана следующая классификация методов оценки земли:

  1. способ сравнения продаж;

  2. разнесение;

  3. извлечение (экстракция);

  4. определение остаточной стоимости;

  5. способ развития подразделений;

  6. капитализация арендной платы за свободный участок.

8.8. В некоторых американских учебниках6 дается следующая классификация методов оценки земли:

  1. cравнение продаж;

  2. распределение стоимости;

  3. вычитание стоимости;

  4. капитализация дохода, включающая:

- методы прямой капитализации;

- расчет остаточного земельного дохода;

- капитализация земельной ренты;

- капитализация прибыли;

- расчет дисконтированных денежных потоков или анализ застройки дробных участков.

8.9. В Методических рекомендациях по определению рыночной стоимостиземельных участ­ков, утвержденных Минимуществом России7, принята следующая классификация методов оценки земельных участков:

  1. метод сравнения продаж;

  2. метод распределения (соответствует методу разнесения МСО);

  3. метод выделения (соответствует методу извлечения МСО);

  4. метод капитализации земельной ренты (соответствует методу ка­питализации арендной платы за свободный участок МСО);

  5. метод остатка для земли соответствует определению остаточной стоимости МСО);

  6. метод предполагаемого использования (соответствует способу раз­вития территории МСО и представляет собой различные варианты метода дисконтирования денежных потоков).

8.10. Для оценки земель сельскохозяйственного назначения, а также земель, доход от использования которых подвержен значительным колебаниям, также можно применять метод реальных опционов.

8.11. К сравнительному подходу относится метод сравнения продаж. К до­ходному подходу относится метод остатка для земли, метод капитализации земельной ренты, метод предполагаемого использования, метод реальных опционов. Остальные методы, представляют собой комбинацию различных методов. Элементы затратного подхода также содержатся в методе остатка.

8.12. Методические рекомендации по определению рыночной стоимостиземельных участ­ков Минимущества России кроме метода сравнения продаж к сравнительному подходу относят метод выделения и метод распределения. К доходному подходу данные рекомендации относят метод капитализации земельной ренты, метод остатка, метод предполагаемого использования.

8.13. Элементы затратного подхода в части расчета стоимости воспроизводства или замещения улучшений земельного участка используются в методе остатка, методе выделения и методе распределения. Поэтому отнесение методов к тому или ино­му подходу часто носит условный характер, так как каждый из перечисленных методов может содержать отдельные элемен­ты всех трех подходов.

8.14. Кроме перечисленных выше методов в отечественной практике применяют, нормативные методы оценки стоимости.

8.15. К нормативным методам относятся методы расчета стоимостных показателей, устанавливающие обязательность применения конкретных фиксированных величин в расчетах, например, периода капитализации при расчете кадастровой стоимости земельных участков, ставок земельного налога при расчете выкупной цены земельных участков под зданиями и сооружениями и др.

Необходимость и роль оценки земельных участков

Земля является основой всех процессов жизнедеятельности общества, происходящих в политической, экономической, социальной, производственной, коммунальной, экологической и других сферах. В этой связи она обладает стоимостью, и адекватная оценка земли представляет собой одно из важнейших условий нормального функционирования и развития экономики и общества. Необходимость в результатах объективной оценки земли (земельных участков) испытывают как государственные, так и муниципальные органы исполнительной власти в целях эффективного управления земельными ресурсами и проведения рациональной земельной и налоговой политики.

По мере развития рыночных отношений в современной России земля постепенно становится товаром, то есть объектом хозяйственного оборота, и как любой товар земля должна иметь потреби­тельскую и рыночную стоимость. Рынок земли с учетом его масштабов и огромного неудовлетворенного спроса населения и юридических лиц имеет большие перспективы для развития и перехода на качественно новый уровень отношений его субъектов. Темпы его развития в значительной мере зависят от совершенствования правовой базы и механизма земельных отношений.

Стратегическая цель государственной политики в сфере земли и иной недвижимости –обеспечение условий для эффективного использования и развития недвижимости в интересах удовлетворения потребностей общества и граждан.

Земля в Российской Федерации как природный ресурс, объект недвижимости и основное средство производства подлежит стоимостной оценке.

Оценка – это расчетная или экспертная стоимость объекта недвижимости либо какого-то вещного интереса к ней, проводимая уполномоченным лицом, специалистом по анализу и оценке недвижимости.

Процесс оценивания – определенная последовательность процедур, используемая для получения оценки. Процесс обычно завершается отчетом об оценке, придающим доказательную силу оценке стоимости. Отчет о проведенной работе по получению оценки содержит описание недвижимости и характеристику обстоятельств или ограничивающих условий, при которых данная оценка сохраняет свое значение. Отчет должен содержать подробное описание оцениваемой недвижимости и дату проведения оценки. В отчет также включаются необходимые вспомогательные сведения и описание проведенного анализа.

В мировой оценочной практике выделяют два вида оценки стоимости земельных участков: массовую (для целей налогообложения или иных государственных целей) и индивидуальную (единичных объектов земельной собственности).

Модели массовой оценки ориентированы на воспроизводство рынка одного или нескольких вариантов землепользования на обширной географической территории. Для выполнения массовой оценки во всех субъектах Российской Федерации необходимы подготовленные специалисты, работающие по методике Государственной кадастровой оценки земель, унифицирующей процедуру оценки большого числа объектов собственности на конкретную дату в разрезе категорий земель. Индивидуальная оценка, или оценка единичных объектов, на конкретную дату осуществляется в соответствии с Федеральным законом «Об оценочной деятельности в Российской Федерации», как правило, небольшим коллективом персонала, решение принимается одним специалистом. Качество выполненной работы определяется путем сопоставления с реальными продажами аналогичных объектов. Оба вида оценки представляют собой систематизированные методы расчета стоимости на основе анализа рынка, принципиальная разница заключается в масштабе проведения и контроле качества выполненной оценки.

В результате проведения государственной кадастровой оценки будет получена реальная картина стоимости земель (земельных участков) на территории Российской Федерации. Это позволит осуществлять более эффективное управление земельными ресурсами и связанных с ними объектами недвижимости, а также проводить сбалансированное планирование доходной части бюджетов всех уровней (в пределах платежей, поступающих от земельного налога и арендной платы), стимулировать развитие инвестиционных процессов и развитие экономики в целом.

Система земельного кадастра, действуя совместно с системой государственной регистрации прав на земельные участки и связанными с ними улучшениями, обеспечивает:

  • правообладателей – гарантиями прав на имущество;

  • систему налогообложения – актуальными сведениями об объектах налогообложения;

  • рынок недвижимости – открытой и достоверной информацией о земельных участках и связанных с ними улучшениях;

  • систему органов государственного и муниципального управления – информацией для формирования и проведения государственной политики в сфере земли и недвижимости, а также планирования и развития территорий.

Работы по проведению государственной кадастровой оценки земель ведутся Федеральной службой земельного кадастра России, ее территориальными органами и находящимися в его ведении предприятиями и организациями в соответствии с Постановлением Правительства Российской Федерации от 25 августа 1999 № 945 «О государственной кадастровой оценке земель» и Постановлением Правительства Российской Федерации от 8 апреля 2000 года № 316 «Об утверждении правил проведения государственной кадастровой оценки земель». К указанным работам также могут привлекаться лица, имеющие лицензию на оценочную деятельность.

Результаты государственной кадастровой оценки земель заносятся в государственный земельный кадастр, где, основываясь на сведениях о земельных участках и их правообладателях, должны использоваться в целях установления объектов налогообложения, налогоплательщиков, определения налоговой базы, налоговых льгот, а также ставок земельного налога.

Земля – базисная составляющая любой недвижимости. И хотя в большинстве сделок, связанных с объектами недвижимости, стоимость земельных участковскрыта за интегральными ценами каждого имущественного комплекса, необходимость самостоятельной оценки этих участков диктуется рядом важных практических обстоятельств.

Во-первых, определение рыночной стоимости земельного участка — начальный этап затратного метода оценки любого объекта недвижимости. Без нее невозможно просчитать ни эко­номические интересы владельца имущества, ни ожидания пред­полагаемого инвестора.

Во-вторых, во многих субъектах РФ введена система диф­ференцированного налогообложения земли. В настоящее вре­мя налогооблагае-мая цена земельных участков устанавливается на нормативной основе, но в ближайшей перспективе, как свидетельствует опыт стран с развитой рыночной экономикой, ожидается переход к определению налогооблагаемой базы по ее рыночной оценке.

В-третьих, при страховании имущества возникает необхо­димость определения рыночной стоимости элементов собст­венности, подверженных рискам повреждения. В отношении земли и построек действуют различные факторы разрушаю­щего воздействия, последствия которых должны быть индиви­дуально оценены с точки зрения их возможного влияния на снижение стоимости. Например, для земли предметом стра­хования могут быть подтопление территории, экологическое загрязнение, эрозия и снижение плодородия почвы, тогда как для зданий – пожаро- и взрывоопасность, возможность землетрясенийи т. п.

В-четвертых, дифференцированная оценка рыночной стоимости земельных участков необходима для обоснования их стартовых цен при конкурсных продажах, акционирования имущества, раздела паев, ипотечного кредитования, определе­ния размеров арендной платы.

Важная функция оценки свободного участка земли – обоснование варианта наилучшего и наиболее эффективного использования любого имущественного комплекса. По существу, на этой стадии оценщик формирует гипотезу опти­мального инвестиционного решения в отношении оцениваемого объекта, на которой базируется его стоимость. При этом критерий отбора рассматриваемых альтернатив – максимизация остаточной стоимости земли, полученной после исключения из полной стоимости имущественного комплекса затрат на использование прочих факторов производства (труда, капитала и менеджмента).

До принятия инвестиционного решения возможный покупатель, а следовательно, и ставящий себя на его место оценщик неизбежно размышляют о потенциале стоимости приобретаемого имущества и соразмерности ожидаемого прироста стоимости дополнительных затрат на улучшение земельного участка в пределах имеющихся ограничений на его освоение. Потенциал земельного участка, обусловленный его местоположением, рыночной конъюнктурой, правовыми возможно­стями и ресурсными параметрами, выступает решающим аргументом в пользу принятия инвестиционного решения или отказа от него. Поэтому рыночная стоимость земельного участка, адекватно отражающая его потенциал, всегда является естественным мерилом экономической целесообразности инвести­ционной гипотезы и рассчитанной на ее основе стоимости объекта.

Организация системы оценки земельных участков

Система оценки земли должна быть хорошо спланирована и отрегулирова­на. Необходимо разработать и проводить в жизнь эффективную политику и методы оценки, постоянно следить за точностью ее проведения и регулярно обновлять те данные, которые отражают состояние рынка.

Эффективная система оценки земли подразумевает наличие пяти основных элементов: кадастровых карт; данных, характеризующих земельные участки; информации по продажам и другой рыночной информации; оценочных процедур; персонала и материального обеспечения.

Кадастровые карты. Оценка земли требует наличия полного набора постоянно обновляемых и точных кадастровых карт с разметкой границ участков, сведениями о размерах, необходимой юридической и описательной информацией и кодовыми обозначениями участков Масштаб карт должен обеспечивать необходимый охват площадей и требуемую детализацию. Карты следует постоянно обновлять, чтобы отразить как появление новых границ земельных участков, возникших в результате дробления или объединения, так и измене­ния в политических границах, в зонировании и физических характеристиках участков (Стандарт IAAO по кадастровым картам и кодам земельных участков, 1988).

Сведения о земельной собственности. Используемая в системе налоговой оценки информация о землевладениях должна включать в себя все параметры и характеристики, которые оказывают существенное влияние на стоимость земли. Нужно различать факторы, которые в данной юрисдикции имеют важное значение почти всегда, и те, которые важны лишь от случая к случаю. Для экономии перваяиз перечисленных группа факторов должна отслежи­ваться постоянно и отражаться в специальных формах или компьютерных файлах. Относящиеся ко второй группе факторы можно собирать лишь по мере необходимости.

Информации о продажах и другая рыночная информация. Успех любой программы оценки земли зависит главным образом от наличия информации по продажам и другой рыночной информации. Сюда входят цена продажи, дата продажи; фамилия, адрес и родственные отношения (если они имеют место) покупателя и продавца, тип трансферта (например, купчая с гарантиями, купчая с отказом от претензий или земельный контракт); тип финанси­рования; передаваемые права (абсолютное право собственности или неполные права) и другие условия заключаемой сделки.

Документы по передаче прав собственности на недвижимость, дающие информацию по всем этим пунктам, являются самым надежным источником информации по продажам. К другим источникам можно отнести анкеты, интервью с покупателями, продавцами или их агентами, а также источники, представляющие в сделках третьих лиц, например посреднические фирмы по продаже недвижимости, финансовые учреждения, частные фирмы, занимаю­щиеся оценкой имущества. Что касается индивидуальной оценки недвижимо- сти, в практику вошла перепроверка рыночной информации через какой-то второй источник, например для подтверждения информации по продажам, полученной из документов по передаче прав собственности, проводится опрос продавца, покупателя или третьих лиц, располагающих сведениями о сделке.

Когда информация о сделках получена, она редактируется, с тем чтобы исключить нерыночные трансферты, например, сделки между родственника­ми, вынужденные сделки и сделки по соглашению. Необходимо исключать земельные контракты, если только соглашение не было заключено совсем недавно. В анализе рынка можно использовать продажи крупных участков, предназначенных для дробления, или продажи с передачей неполных прав, но если данные по этим продажам используются для получения оценок стоимо­сти единичных объектов или абсолютного права собственности, их следует использовать с предельной осторожностью.

Нужно учитывать и способ финансирования продаж. По возможности, продажи с нерыночным финансированием (обычно предполагающие наличие переходящих закладных или предоставляемых продавцом скидок) следует исключать или, что предпочтительнее, приводить их к рыночной цене прода­жи в денежном эквиваленте. Если по каким-то отдельным сделкам информа­ции по финансированию нет, на основании знания принятой местной практики финансирования можно вычислить и ввести соответствующие поправки.

Когда стоимость земли меняется в сторону повышения или понижения, в цены продаж необходимо вносить поправки на дату заключения сделки последовательно по отдельным территориям, поскольку изменение стоимости может существенно различаться для разных территорий.

Кроме сведений по продажам, необходимо собрать рыночную информацию по ставкам аренды, расходам на освоение земли и т.д. Эта информация может оказаться особенно полезной в тех случаях, когда продаж неосвоенной земли мало. Кроме того, стоимости земельных участков, полученные по остаточному принципу путем вычитания стоимости сооружений из цен продаж освоенных участков, могут быть использованы в качестве косвенных оценок стоимости земли. Однако полученные таким образом оценки стоимости земли достовер­ны настолько, насколько достоверны цены продаж и затраты на освоение, на основании которых они рассчитаны. Как правило, такие оценки точнее для земельных участков с недавно возведенными сооружениями, поскольку задачи по определению износа сводятся тогда к минимуму.

Методы оценки. Оценка земли должна быть основана на анализе рынка. Метод сравнения продаж является основным приемом, используемым при оценке земли. Когда нет достаточной информации по заключенным сделкам, приходится прибегать к другим методам. В любом случае оценка земли должна отражать рыночную стоимость в каждом микрорайоне или по каждой терри­тории, она должна адекватно учитывать отличия в размере, топографии и т. д. между отдельными участками в пределах каждой территории. «Стандарт оценки городских земель (IAAO, 1987) рекомендует проведение инвентариза­ции и переоценки земельных участков, по крайней мере, раз в четыре года и ежегодную корректировку результатов оценки в соответствии с изменением рыночной стоимости и для поддержания справедливых соотношений оценок при переходе от одной территории к другой. Между переоценками ежегодное обновление полученных результатов может выполняться путем внесения поправок на состояние рынка, полученных на основании анализа относитель­ных показателей рыночной стоимости

Персонал и материальное обеспечение. Точная оценка земли подразумевает наличие грамотного персонала и достаточности компьютерного обеспечения.

Штат специалистов по оценке стоимости недвижимости должен быть укомплектован таким образом, чтобы была возможность физически проводить инвентаризацию и переоценку каждой территории, по меньшей мере, раз в четыре года, а также производить анализ других территорий и вносить соответствующие поправки на состояние рынка.

Оценка застроенных земельных участков сельскохозяйственного назначения

31.1. Для оценки стоимости собственно земли в составе застроенных участков можно предложить 2 варианта расчета:

  1. если строения не приносят доход, который можно подсчитать, и не являются самостоятельными объектами сделок, то земля оценивается по стоимости, расположенных рядом с ними сельскохозяйственных угодий;

2) если можно посчитать доход от построек, например, они сдаются в аренду или могут быть проданы, то земля оценивается любым методом выделения земельной составляющей из стоимости единого объекта недвижимости.

31.2. При наличии информации о сделках со свободными земельными участками, продаваемыми под аналогичное использование, земля может быть оценена по рыночной стоимости продаваемых незастроенных участков. Этот способ наиболее подходит для оценки земельных участков с дачами, если они отнесены к категории земель сельскохозяйственного назначения.

  1. Оценка земельных участков

    Утверждено редакционно-издательским

    советом университета

    в качестве учебного пособия

    Нижний Новгород - 2005

    ББК 65.9(2)32-5

    093

    Хавин Д.В. и др. Оценка земли: Учебное пособие / Д.В. Хавин, П.А. Овчинников, А.В. Башева, В.В. Бобылев, Е.Ю. Есин, А.Н. Никифоров, В.В. Ноздрин; Под общ. ред. Д.В. Хавина. – Н.Новгород: Нижегород. гос. архит.- строит. ун-т, 2005. – 88 с.

    ISBN 5-87941-016-1

    В учебном пособии изложены теоретические основы массовой и индивидуальной оценки земельных участков. Рассмотрены особенности земли как объекта оценки, виды стоимости и их взаимосвязь с назначением оценочных работ. Приведены основные подходы и методы оценки земельного участка на практических примерах. Освещены вопросы оценки имущественных прав на земельные участки.

    Пособие предназначено для студентов заочной формы обучения по специальностям 270115 «Экспертиза и управление недвижимостью», 080109 «Бухгалтерский учет, анализ и аудит» , 080507 «Менеджмент организации».

    ББК 65.9(2)32-5

    ISBN 5-87941-016-1 © Коллектив авторов, 2005

    © ННГАСУ, 2005

    Оценка земли как объекта недвижимости

    Считается, что стоимость имеет земля, а остальное – это улучшения, они добавляют вклад в стоимость. Типичный объект недвижимости состоит из земельного участка и построек. Следует различать термины «земля» и «земельный участок».

    Под земельным участком понимается часть земной территории, которая оборудована и готова к использованию в различных целях.

    Улучшения, проводимые для создания участка:

    внешние: устройство улиц, тротуаров, дренажных и инженерных сетей;

    внутренние: планировка, озеленение, асфальтирование, устройство выпусков для подключения инженерных сетей, коммуникаций связи и т.д.

    При оценке земельного участка необходимо учесть связанный с ним набор прав. Распространенные права, требующие оценки:

    1. полное право собственности – возможность использования свободного от арендаторов участка любым законным способом;

    2. право аренды – возможность владения земельным участком по договору аренды.

    Стоимость прав аренды – это сумма, которую готов заплатить потенциальный покупатель за право владения данным участком по договору аренды с целью получения выгоды от этого владения. Оценка прав аренды применяется при определении цены продажи права аренды земельного участка, при определении стоимости объекта, частью которого является арендуемый земельный участок, и при оценке ущерба от расторжения договора аренды.

    Оценка земли на застроенных участках

10.1. Земля в составе застроенных земельных участков оценивается методом выделения, методом распределения, методом остатка.

10.2. Стоимость единого объекта недвижимости (земля + улучшения), используемая в данных методах, определяется методом сравнения продаж.

10.3. Стоимость улучшений определяется с помощью затратных методов, в основном, по стоимости нового строительства, откорректированной на величину износа (остаточной восстановительной стоимости).

10.4. При проведении анализа наиболее эффективного использования (НЭИ) земли в составе застроенного участка применяется методы, направленные на выделение стоимости земли из стоимости единого объекта недвижимости.

10.5. При проведении анализа НЭИ земли в составе застроенного участка и при рассмотрении застроенного земельного участка как условно свободного, собственно земля также может оцениваться по рыночной стоимости свободных участков, проданных для аналогичного использования.

10.6. Если в процессе анализа НЭИ определено, что стоимость земли при текущем использовании меньше рыночной стоимости свободных земельных участков и требуется освобождение земельного участка от существующих построек или его санация, то при определении рыночной стоимости земли такого участка затраты на подобные мероприятия вычитаются из рыночной стоимости свободных земельных участков.

Пример:

Стоимость незастроенной земли

=

150 000 €

Затраты на снос зданий

=

- 50 000 €

Стоимость земли застроенного участка

=

100 000 €

10.7. Если застроенный земельный участок обладает избыточной площадью, которая может использоваться как самостоятельная часть, то земля под зданиями и избыточная земля оцениваются раздельно.

10.8. Общая стоимость земли в составе такого земельного участка определяется суммированием стоимости двух частей, выделенных условно для целей оценки.

10.9. Оценка размера избыточной площади может делаться на основании заключения специалиста (архитектора, проектировщика) или по заключению самого оценщика. Определение размера застроенной части земельного участка может происходить, исходя из представления оценщика о размере необходимой для использования построек территории, прилегающей к пятну застройки, или принципа «обозримости земельного участка», используемого, в частности, в Германии. Данный принцип означает, что при расчете стоимости учитываются только обозримые части чрезмерно большого участка. Остальная территория оценивается как самостоятельный участок.

Оценка изменения стоимости земли при реализации концессионных соглашений

Одним из механизмов привлечения инвестиций в жилищно-коммунальное хозяйство является заключение концессионного соглашения. Рассмотрим ключевые моменты концессии.

Концессионное соглашение предусматривает использование инвестиций концессионера (инвестора). Поэтому в механизме реализации необходимо обусловить гарантии возврата вложенных концессионером средств. Наиболее эффективная модель реализации концессии на предприятиях жилищно-коммунального хозяйства обозначается в мировой практике аббревиатурой СУП – строительство – управление – передача (англ. ВОТ – build – operate – transfer).

По модели СУП концессионер за свой счет и на собственный риск строит концессионный объект и, сохраняя право собственности на него по завершении строительства, эксплуатирует до тех пор, пока полностью не возместит свои затраты на строительство и эксплуатацию объекта и не получит оговоренную прибыль на вложенный капитал. После этого функционирующий объект передается в собственность концедента (муниципального образования), а управление им в зависимости от условий договора осуществляется либо концедентом, либо по-прежнему концессионером.

Вторым моментом концессионного соглашения является сохранение уровня тарифов на услуги на определенном уровне. В данном случае предполагается, что цены на производимые концессионером работы и услуги устанавливает концедент.

Для обоснования целесообразности государственной поддержки проекта, ее размеров и сроков целесообразно произвести следующие расчеты:

– оценка экономической эффективности проекта и его соответствие целям и интересам государства и общества;

– эффективность вариантов предполагаемых мер государственной под-держки по отношению к интересам участников проекта;

– экономическая оценка альтернативных вариантов проекта, не предусмат-ривающей государственной поддержки.

Оценка экономической эффективности реализации концессионного соглашения для муниципального образования (города) выражается:

(19)

где ?Нt – прирост налоговых платежей в t-м году действия концессионного соглашения;

Эt – изменение стоимости земельных участков территории, обслуживаемой концессионером в t-м году.

При реализации инвестиционных проектов на основе концессионного соглашения происходит качественное изменение окружающей среды и инфраструктуры обслуживаемой предприятием территории. Эти изменения можно учесть величиной прироста стоимости земли, которая оценивается экспертно-аналитическим способом на основе «Методических указаний по проведению государственной кадастровой оценки земель поселений», утвержденных Госкомземом РФ от 18.10.2000 г.

В соответствии с этими методическими указаниями на стоимость земли оказывают влияние следующие интегральные показатели:

– природно-геологические и экологические условия территории;

– инженерно-технические условия эксплуатации территории;

– транспортные условия расположения территории;

– социально-культурные условия территории;

– градообразующее значение территории;

– правовые условия землепользования на территории.

Появление экологической составляющей в оценке изменения стоимости земельных участков происходит по истечению нескольких лет после работы станции на производственных мощностях (III зона, рис. 8). В этот период окружающая среда «оздоровляется».

Рис. 8. График изменения стоимости земельных участков вследствие улучшения качества окружающей среды территории, обслуживаемой концессионером

В общем виде срок действия концессионного соглашения разделен на зоны:

I зона (tI) – зона освоения инвестиций. Муниципальное коммунальное предприятие передает свои основные средства в концессию. Затраты концессионера на этом этапе состоят из капиталовложений на строительство или реконструкцию инженерного сооружения, доходы приносят основные средства, сданные муниципальным предприятием в концессию. Доходы концедента состоят из величины налогов от деятельности концессионера.

II зона (tII) – зона выхода предприятия на производственную мощность. Расходы концессионера на этом этапе снижаются до величины производственных затрат. Появляется доход от вновь приобретенных и введенных в действие концессионером основных средств, который со временем становится постоянным при выходе объекта на производственные мощности. Доход концедента увеличивается за счет налогов (увеличивается стоимость основных средств, участвующих в концессии и соответственно производствен-ные мощности концессионного предприятия), а также на данном этапе происходит изменение стоимости земли за счет улучшения инженерно-технических условий эксплуатации обслуживаемой предприятием территории.

III зона (tIII) – зона эксплуатации объекта до конца действия концессионно- го соглашения. На этом этапе кривые общих затрат и доходов от производства не меняют своего характера. Изменение экологической составляющей в определении стоимости земли происходит по истечению нескольких лет после работы станции на производственных мощностях. В этот период окружающая среда «оздоровляется». Со временем стоимость земли возрастает до определен- ного предела и больше не изменяется.

Инфраструктурная составляющая при оценке стоимости земли появляется параллельно выходу станции на производственные мощности, поэтому качест- венное изменение инфраструктурной составляющей совпадает с графиком предельного дохода от инвестиционного проекта.

При реализации крупных инвестиционных проектов на основе концессионного соглашения происходит качественное изменение окружающей среды и инфраструктуры территории. Появляется возможность элитной комплексной застройки городов. Примером являются жилые кварталы «Воробьевы горы», «Алые паруса» города Москвы.

Рис. 9. График изменения стоимости земельных участков вследствие улучшения инженерно-технических условий эксплуатации территории, обслуживаемой концессионером

Рис. 10. Суммарный график изменения стоимости земельных участков территории, обслуживаемой концессионером, вследствие изменения качества окружающей среды и инженерно-технических условий эксплуатации территории

Инфраструктурно-экологическая составляющая образуется путем наложе-ния экологического эффекта (рис. 8) и инфраструктурного эффекта (рис. 9).

Используя экологическую составляющую в оценке земли и добавив инженерно-технические условия эксплуатации территории, возможно отразить обе составляющих на одном графике и показать общую динамику изменения цены на землю (рис. 10).

Согласно данной методике оценка земель поселений осуществляется по статистической и экспертно-аналитической составляющим. В общем виде расчет кадастровой стоимости объекта сделки может быть описан следующей формулой:

(20)

где Р– кадастровая стоимость оцениваемого объекта недвижимости;

Sзем.уч. – площадь земельного участка;

Рпос– часть стоимости единицы площади земли, учитывающая особенности поселения (инфраструктурная составляющая);

Рсделки– часть стоимости единицы площади объекта недвижимости, учитывающая особенности оцениваемого земельного участка и строения на нем (локальная составляющая);

Кц– коэффициент перехода от кадастровой стоимости земельного участка, рассчитанной на основе анализа рыночных цен реальных сделок с земельными участками (как под строениями, так и свободных от застройки), к кадастровой стоимости земельных участков по видам функционального использования, по которым к настоящему времени отсутствует статистика рыночных сделок.

Реализация концессии на предприятиях жилищно-коммунального хозяйства влияет в данной формуле на показатель Рпос.

На первом этапе определения стоимости земель производится кластеризация районов и поселений на основании статистических показателей, полученных по сведениям статистического сборника Госкомстата РФ «Социально-экономическое развитие районов» и данным областного дорожного фонда.

Данные показатели участвуют в кластеризации поселений. Разделение оцениваемой территории на кластеры позволяет вместо описания сложной универсальной зависимости единой формулой использовать ряд линейных выражений, характеризующих влияние различных доминирующих факторов, совокупность и значение которых различаются на территории субъекта РФ по поселениям.

В результате оценки факторов можно перейти к оценке земельных участков.

На следующем этапе, при нахождении экспертно-аналитической составляющей, необходимо последовательно определить предлагаемые в данной методике приоритеты параметров, сравнивая их попарно.

В массовой кадастровой оценке рассмотрена трехуровневая иерархия:

1-й уровень - интегральные показатели;

2-й уровень - групповые показатели (промежуточные показатели);

3-й уровень - простые оценочные (аналитические) показатели.

На первом этапе производится анкетирование экспертов. Данная процедура осуществляется одновременно с работами по статистической составляющей на стадии постановки целей привлечения инвестиций в жилищно-коммунальное хозяйство.

В результате обработки анкет, заполненных экспертами, можно получить коэффициенты влияния (веса) каждого показателя. Можно на данном этапе принять изменения коэффициента влияния отдельных параметров на стоимость земли, основываясь на методе сравнительного анализа продаж исследуемых земельных участков с учетом их статистических характеристик. Изменение коэффициента влияния (Bi) также зависит от вида инвестиционного проекта, реализуемого в рамках концессионного соглашения (табл. 21).

Таблица 21

Интервалы изменения коэффициента влияния Вi на качество земельных участков территории, обслуживаемой концессионером, в зависимости от типа инвестиционного проекта, реализуемого в рамках концессионного соглашения

№ пок.

Система показателей, характеризующая качество земель на территории кадастрового квартала

Максимальное значение Вi в зависимости от типа инвестицион-ного проекта

Среднее значение Вi в зависимости от типа инвестиционного проекта

Минимальное значение Вi в зависимости от типа инвестиционного проекта

1

2

3

4

5

1.2.1.

Уровень загрязнения воздуха на территории кадастрового квартала от точечных источников (котельные, теплопункты)

Внедрение экологически чистой технологии

0,04 ? Вi ? 0,02

Замена оборудования на экологически более безопасное

0,02 ? Вi ? 0,01

Капитальный ремонт оборудования

Вi ? 0,01

1.2.3.

То же

почвенных вод

Строительство инженерных сетей

0,03 ? Вi ? 0,02

Реконструкция инженерных сетей

0,02 ? Вi ? 0,01

Реконструкция магистральных сетей

Вi ? 0,01

1.2.4.

То же

водоемов

Внедрение технологии, отвечающей за очистку

0,03 ? Вi ? 0,02

Строительство станции (технологического узла) очистки

0,02 ? Вi ? 0,01

Реконструкция станции (технологического узла) очистки

Вi ? 0,01

1.2.11.

Возможность подверженности территории экологическим рискам техногенного характера

Внедрение экологически чистой технологии

0,03 ? Вi ? 0,02

Замена оборудования на новое экологически более безопасное

0,02 ? Вi ? 0,01

Капитальный ремонт оборудования

Вi ? 0,01

Продолжение таблицы 21

1

2

3

4

5

2.1.2.

Наличие централизованных сетей и инженерных сооружений электроснабжения на территории кадастрового квартала

Новое строительство на вновь осваиваемой территории

0,25 ? Вi ? 0,10

Строительство на застроенной территории

0,10 ? Вi ? 0,05

Реконструкция инженерных сетей и сооружений

Вi ? 0,05

2.1.3.

То же

теплоснабжения

То же при

0,075 ? Вi ? 0,05

То же при

0,05 ? Вi ? 0,03

То же при

Вi ? 0,03

2.1.4.

То же

водоснабжения

То же при

0,15 ? Вi ? 0,10

То же при

0,10 ? Вi ? 0,05

То же при

Вi ? 0,05

2.1.5.

То же

газоснабжения

То же при

0,075 ? Вi ? 0,05

То же при

0,05 ? Вi ? 0,03

То же при

Вi ? 0,03

2.1.6.

То же

канализации

То же при

0,15 ? Вi ? 0,10

То же при

0,10 ? Вi ? 0,05

То же при

Вi ? 0,05

2.2.2.

Достаточность уровня системы и инфраструктуры электроснабжения на территории кадастрового квартала

Строительство системы и инфраструк-туры электроснабже-ния

0,25 ? Вi ? 0,10

Замена оборудования на более производительное

0,10 ? Вi ? 0,05

Капитальный ремонт оборудования и инфраструктуры электроснабжения

Вi ? 0,05

2.2.3.

То же

теплоснабжения

То же теплоснабжения

0,075 ? Вi ? 0,05

То же при

0,05 ? Вi ? 0,03

То же теплоснабжения

Вi ? 0,03

2.2.4.

То же

водоснабжения

То же водоснабжения

0,15 ? Вi ? 0,10

То же при

0,10 ? Вi ? 0,05

То же водоснабжения

Вi ? 0,05

2.2.5.

То же

газоснабжения

То же

газоснабжения

0,075 ? Вi ? 0,05

То же при

0,05 ? Вi ? 0,03

То же газоснабжения

Вi ? 0,03

2.2.6.

То же

канализации и

удаления отходов

То же

канализации

0,15 ? Вi ? 0,10

То же при

0,10 ? Вi ? 0,05

То же

канализации

Вi ? 0,05

В результате получается аналитическое выражение показателя Qnдля земель, обслуживаемых предприятиями жилищно-коммунального хозяйства, функционирующих на основе концессионного соглашения:

(21)

где Qn– показатель качества (относительной ценности) территории, характеризующий изменение стоимости единицы площади участка городской земли вследствие реализации концессии на предприятиях жилищно-коммунального хозяйства;

Вi– коэффициент влияния, вкладi-го показателя в стоимость, определенный в ходе экспертного исследования;

N– общее число показателей;

Qn,баз. – показатель качества (относительной ценности) n-го кадастрового квартала, по которому берется Рn,баз.

Кадастровую стоимость земли n-го кадастрового квартала (Рзем.n) предлагается в данной методике рассчитывать на основании формулы:

(22)

где Рзем. n – кадастровая стоимость земли n-го кадастрового квартала;

Рn,баз. – базовая кадастровая стоимость земли для n-го кадастрового квартала, рассчитанная ранее по статистической составляющей для того вида использования, по которому получены наилучшие результаты расчета стоимости;

Qn,баз. – показатель качества (относительной ценности) n-го кадастрового квартала, по которому берется Рn,баз.

Изменение стоимости земельных участков территории, обслуживаемой концессионером в t-м году, будет равняться разности стоимости земли до проявления данных эффектов и после:

(23)

где Рзем.n(t) –стоимость землиn-го кадастрового квартала при реализации концессии вt-м году;

Рзем.n(t-1)–стоимость землиn-го кадастрового квартала при реализации концессии в предыдущемt-м году.

Выявленные экономические эффекты концедента определяют необходимые условия реализации концессионного соглашения на предприятиях жилищно-коммунального хозяйства.

Оценка общей экономической ценности земель

41.1. Под общей экономической ценностью (ОЭЦ) природных благ и окружающей среды определенной территории понимается стоимостная оценка всех полезностей, продуцируемых данной территорией, включая полезности, рынки которых в настоящий момент времени отсутствуют или не развиты.

41.2. Показатель ОЭЦ определяется для целей выявления ценности (стоимости) земель, имеющих важное природоохранное, социальное, историко-культурное или рекреационное значение, например, земель особо охраняемых природных территорий (заповедников, национальных парков и т.д.), земель природоохранного (водоохранных лесов, зон санитарной охраны источников питьевого водоснабжения и т.д.) и рекреационного назначения (курортных местностей, парков, лесопарков, пляжей, зон отдыха и т.д.). Основное отличие показателя ОЭЦ от рыночной стоимости заключается в том, что расчеты ОЭЦ основаны на моделировании суррогатных рынков услуг и полезностей исходя из выявления предпочтений потребителей данных услуг и полезностей.

41.3. Основным назначением определения ОЭЦ является принятие решений о возможностях использования территории тем или иным способом, например, при сравнении различных вариантов планирования землепользования, подготовке разделов оценки воздействия на окружающую среду (ОВОС) инвестиционных проектов, проведении государственной и общественной экологической экспертизы, проведении экологической оценки проектов.

41.4. Общая экономическая ценность природных объектов и продуцируемых ими услуг и благ и ее отдельные компоненты определяется как сумма стоимости использования и стоимости неиспользования: TEV = UV + NUV, гдеTEV– общая экономическая ценность (стоимость),UV– стоимость использования,NUV– стоимость неиспользования.

41.5 Стоимость использования определяется как: UV = DUV + IUV + OV, гдеDUV- стоимость прямого использования, IUV – стоимость косвенного использования,OV– стоимость отложенной альтернативы.

41.6. Стоимость неиспользования определяется как сумма стоимости существования и стоимости наследования (EV). Если стоимость наследования не определяется, то тогда стоимость существования приравнивается к стоимости существования: NUV = EV.

41.7. Структура показателя общей экономической ценности природных благ определенной территории выглядит следующим образом:

+

+

41.8. Стоимость прямого использования представляет собой рыночную оценку товаров и услуг, получаемых от использования данных территорий, например, от туризма, рекреации, устойчивой охоты и заготовки древесины, рыболовства и др.;

41.9. Стоимость косвенного использования представляет собой оценку нематериальных полезностей и косвенных выгод, продуцируемых природными объектами, например, таких, как поддержание водного режима, предотвращение эрозии, очистка воды и атмосферы, связывание углекислого газа, сохранение биологического разнообразия и др.

41.10. Стоимость отложенной альтернативы (условно возможной стоимости), представляет собой оценку выгод, которые можно получить в будущем при условии, что данный природный объект сохраниться.

41.11. Стоимость наследования представляет собой оценку готовности людей платить за сохранение определенных природных благ и объектов для будущих поколений.

41.12. Стоимость существования представляет собой оценку готовности людей платить за существование конкретных природных территорий или объектов. При этом предполагается, что человек, дающий оценку, может никогда не использовать возможность посетить это место.

41.13. Пример оценки общей экономической ценности природных территорий Московской области:

Составляющие общей экономической ценности

Стоимость, млн. $/год

Стоимость прямого использования:

охота

6

рыболовство

14,3

сбор дикорастущей продукции леса (грибы, ягоды)

416

торфоразработки

41,5

устойчивые лесозаготовки

24,3

рекреационная деятельность

134-136

Всего:

636,1-638,1

Стоимость косвенного использования:

связывание углекислого газа (СО2) лесами и болотами

42-204

водоочистные функции болот

66,8

эффект для здоровья населения от рекреации

67,8

Всего:

176,6-338,6

Стоимость отложенной альтернативы

-

Стоимость неиспользования (существования)

11

Итого общая экономическая ценность территории:

823,7-987,7

41.14. Для определения показателей, входящих в состав общей экономической ценности, применяют традиционные методы оценки стоимости (методы доходного, затратного, сравнительного подходов), а также методы, требующие проведения социологических исследований и конструирования суррогатных рынков.

41.15. К методам затратного подхода относятся оценка природных благ по затратам на перемещение, затратам на замещение искусственными аналогами, затратам на воссоздание или восстановление, затратам на воспроизводство, затратам на превентивные мероприятия.

41.16. К методам доходного подхода относятся методы оценки по доходам от использования территории.

41.17. К методам сравнительного подхода относятся методы оценки по альтернативной стоимости использования территории и методы оценки природных благ по разнице в ценах на объекты недвижимости (методы гедонистического образования стоимости).

41.18. К методам, требующих проведения социологических исследований, относятся:

- метод оценки готовности платить;

- метод оценки готовности принять компенсацию;

- метод выявления неполученной прибыли потребителя;

- метод транспортно путевых затрат.

41.19. Метод оценки готовности платить заключается в определении гипотетических цен путем выяснения у людей явной оценки ими некого блага (заявленная оценка). Для этого применяются опросы населения, например, выясняется, какую сумму готов человек заплатить за посещение определенного места, общее количество людей, которые посещают данное место. На основании этих данных делается вывод о стоимости данного объекта.

41.20. Метод оценки готовности принять компенсацию заключается в определении суммы компенсации, за которую человек готов отказаться от оцениваемого блага, то есть компенсации за потерю благ. Считается, что оценка объектов по размеру компенсации более объективна по психологическим мотивам. Такая постановка вопросов больше применима при опросах более бедного населения.

41.21. Метод выявления неполученной прибыли потребителя заключается в определении величины дополнительной платы за доступ к определенному объекту к уже установленной. Например, выясняется, какую сумму готов человек заплатить за посещение определенного места. Если доступ к оцениваемому месту ограничен и за его посещение уже установлена плата, то выясняется, сколько человек готов заплатить дополнительно к установленной плате. Эта величина и будет являться дополнительной выгодой потребителя, то есть, выгодой, которую он получил, не заплатив полную стоимость, определенную им самим. Сумма установленной платы и дополнительной платы, определенной самим человеком будет отражать ценность данного объекта для индивидуума. Соответственно, общая сумма платежей за доступ к оцениваемому объекту, которые готовы заплатить все потенциальные посетители и будет представлять его стоимостную оценку. Метод можно использовать при определении платы за посещение парков или других подобных объектов.

41.22. Метод транспортно путевых затрат заключается в оценке определенного объекта по величине затрат на дорогу, которые готовы понести люди для посещения оцениваемой территории. Метод состоит в определении расхода денежных средств или времени, на достижение интересующего места. Расходы складывается из входной платы, расходов на поездку и упущенных доходов. Ценность объекта рекреации определяется по числу посетителей за год и их расходов. Метод широко используется для определения рекреационной ценности территорий, национальных парков и участков дикой природы, туристической ценности водно-болотных угодий в тропических странах.

41.23. Метод альтернативной стоимости заключается в определении стоимости ценных природных территорий через упущенные доходы и выгоды, которые можно было бы получить при использовании данных территорий в иных целях, например, через рыночную стоимость земли под застройку или потерю дохода от использования в иных коммерческих целях, несовместимых с сохранением природного потенциала.

41.24. Метод гедонистического ценообразования заключается в оценке стоимости природных благ по разнице цен на объекты недвижимости, собственники которых могут пользоваться оцениваемыми природными благами, и объекты недвижимости, собственники которых не могут пользоваться данными природными благами.

41.25. Международные стандарты оценки именуют подобные территории и объекты активам рекреационной сферы и активами наследия. Международные стандарты оценки признают, что:

- экономическая выгода от подобных активов не может полностью отражаться в величине стоимости, основанной только на рыночной цене;

- «юридические и/или статутные обязательства могут накладывать запреты или строгие ограничения на реализацию путем продажи»19;

- «они часто являются незаменимыми, и их экономическая выгода может со временем увеличиваться, даже если их физическое состояние будет ухудшаться»20.

41.26. Согласно МСО к активам рекреационной сферы относится «имущество, находящееся в государственной (общественной) собственности, которое: а) находится под управлением (или управляется от имени) национальных, муниципальных или местных органов государственной (общественной) власти; и б) предусматривает рекреационное использование широкой публикой»21. Такими объектами признаютсяпарки, игровые площадки, аллеи и тропы, плавательные бассейны, игровые корты и другие объекты имущества, имеющие рекреационные и спортивные объекты.

41.27.К активамнаследия и охраняемым активамотносится «актив, который имеет культурное, экологическое или историческое значение. Активы наследия включают исторические здания и памятники, места археологических раскопок, сохраняемые районы и заповедники и произведения искусства»22.

Оценка права постоянного (бессрочного) пользования земелей

Право постоянного (бессрочного) пользования земельным участком есть бессрочное, безвозмездное право владения и пользования земельным участком в пределах, установленных законом, иными правовыми актами и актом о предоставлении земельного участка в такое пользование.

Тип ценности (стоимости) права постоянного (бессрочного) пользования, так же как и прав аренды, определяется объемом полномочий, которыми обладает пользователь.

В случае если пользователь вправе определенным образом отчуждать свои права (вносить в уставный капитал, закладывать и т.д.), то мера ценности таких прав заключена в возможности их обмена на другую вещь и поэтому может быть оценена меновой стоимостью (например, рыночной или ликвидационной). При этом следует подчеркнуть, что указанные действия пользо­ватель вправе совершать только с согласия собственника.

В случае если пользователь не вправе определенным образом отчуждать арендные права, то мера ценности таких прав заключена в их вкладе в стоимость объекта недвижимости, имущественного комплекса, предприятия и поэтому может быть оценена потребительской стоимостью.

Особенностями права бессрочного (постоянного) пользования как объекта оценки, определяющими меру ценности этого права, являются:

  • безвозмездность;

  • бессрочность.

Безвозмездность означает отказ собственника от выгод (дохода), генерируемых земельным участком в пользу пользователя.

Бессрочность означает возможность изъятия собственником права пользования в любой момент времени.

Первая особенность определяет принципиальную возможность оценки права бессрочного пользования любым из традиционных методов оценки стоимости земли. Однако, ввиду повсеместного отсутствия сделок купли-продажи с правом бессрочного пользования, на практике, как правило, реализуем метод капитализации земельной ренты, относимый к доходному подходу, но включающий в себя технику остатка для земли, сравнительный и затратный подходы.

Вторая особенность определяет специфику использования традиционных методов оценки стоимости земли, поэтому остановимся на ней подробнее.

Бессрочность пользования определяет высокую неопределен­ность получения дохода и/или других выгод от пользования земель­ным участком.

Функцию прямого учета неопределенности (риска) получения до­хода выполняет ставка дисконта (выше риск - выше значение став­ки дисконта и наоборот), рассчитываемая в рамках методов капи­тализации и развития (освоения). Следовательно, ставка дисконта, используемая для перевода будущих доходов от использования од­ного и того же земельного участка, будет различной в зависимости от прав на него.

Ставка дисконта для потока доходов, генерируемых правом бессрочного пользования, будет выше, чем ставка дисконта для потока доходов, генерируемых правом собственности.

Таким образом, право бессрочного пользования земельным участком, в прин­ципе, обеспечивает меньший уровень стоимости, чем право собст­венности на тот же самый земельный участок.

Оценка сельскохозяйственных земель и угодий

20.1. Основными методам и оценки сельскохозяйственных угодий (земли) являются методы сравнительного и доходного подходов.

20.2. В условиях неразвитого земельного рынка и отсутствия информации о сделках с земельными участками методы доходного подхода становятся, практически, единственными способами оценки сельскохозяйственных угодий.

Оценка стоимости земельного участка

  1. Оценка застроенных участков.

  2. Оценка сельскохозяйственных угодий.

Определение земельного участка. Правовой режим земельного участка. Целевое назначение. Форма собственности. Разрешенное использование. Применение доходного подхода. Метод капитализации доходов. Метод остатка. Метод предполагаемого использования. Применение сравнительного подхода. Метод сравнения продаж. Метод распределения. Применение затратного подхода. Метод выделения (извлечения, изъятия). Оценка по нормативной цене земли с учетом затрат на воспроизводство инфраструктуры.

Применение доходного подхода. Метод капитализации земельной ренты.

Оценка стоимости земельных участков и ее осоденности

Цели и задачи изучения темы

Основными целями и задачами изучения материала является раскрытие следующих вопросов: особенности земельного участка как товара, процедура оценки рыночной стоимости земельного участка, методы оценки рыночной стоимости земельного участка: метод сравнения продаж, метод распределения, метод выделения, метод остатка, метод предполагаемого использования, метод капитализации земельной ренты.

Результат освоения темы:

Индекс компетенции

Индекс образовательного результата

Образовательный результат

ПК-7

В-1

Владеет способами описания экономических процессов и явлений строить стандартные теоретические и эконометрические модели

В-2

Владеет способами анализа и интерпретации полученных результатов

ОК-5

У-1

Умеет разработать план по использованию нормативно-правовых документов

У-2

Применяет основные нормативные и правовые документы

Основными целями и задачами изучения материала является раскрытие следующих вопросов: особенности земельного участка как товара, процедура оценки рыночной стоимости земельного участка, методы оценки рыночной стоимости земельного участка: метод сравнения продаж, метод распределения, метод выделения, метод остатка, метод предполагаемого использования, метод капитализации земельной ренты.

Как средство производства земля имеет особенности, оказывающие непосредственное влияние на оценку недвижимости:

-  земля не является результатом предшествующего труда; 

-  пространственно ограничена;

-  незаменима другими средствами производства;

-  обладает постоянством местоположения;

 -  неизнашиваема при правильном использовании;

-  территориально разнокачественна;

-  характеризуется специфической полезностью каждого конкретного земельного участка;

-  обладает плодородием и в сельском хозяйстве наиболее эффективно используются все ее полезные качества;

-  практически во всех сферах деятельности человека (кроме сельского и лесного хозяйства) выступает в основном в качестве пространственного операционного базиса, поэтому неразрывно связана с объектами, на ней расположенными: зданиями, сооружениями, дорогами, мелиоративными сооружениями, прочими материальными элементами, созданными трудом человека, так называемыми улучшениями.

В Земельном кодексе РФ содержится следующее определение земельного участка: «Земельный участок — часть поверхности земли, имеющая фиксированную границу, площадь, местоположение, правовой статус и другие характеристики, отражаемые в Государственном земельном кадастре и документах государственной регистрации прав на землю. Правовой статус земельного участка включает: целевое назначение, разрешенное использование, форму законного владения. Земельный участок может быть делимым и неделимым. Неделимым признается земельный участок, который по своему целевому назначению и разрешенному использованию не может быть разделен на самостоятельные земельные участки».

Оценка земли применима не только к пустующим, незастроенным землям. Типичный объект недвижимости состоит из земельного участка и построек и существует необходимость в определении стоимости земельного участка отдельно от имеющихся на нем улучшений, что вызвано следующими причинами:

-  различие в налогообложении земли и строений (налог на имущество и земельный налог);

-  требуется отдельная оценка земельного участка от улучшений при применении затратного метода определения стоимости недвижимости; -  принятие решений о сносе имеющихся улучшений в целях лучшего и наиболее эффективного использования земельного участка.

Главный элемент земельных отношений — земельная собственность.

При оценке земельного участка необходимо учесть связанный с ним набор прав. Распространенные права, требующие оценки:

1) полное право собственности — возможность использования свободного от арендаторов участка любым законным способом; 2) право аренды — возможность владения земельным участком по договору аренды.

В России большинство земель не продается, а сдается в аренду, поэтому часто оценщики определяют не стоимость земельного участка, а стоимость прав его аренды.

Стоимость прав аренды— это сумма, которую готов заплатить потенциальный покупатель за право владения данным участком по договору аренды с целью получения выгоды от этого владения. Оценка прав аренды применяется при определении цены продажи права аренды земельного участка, при определении стоимости объекта, частью которого является арендуемый земельный участок, и при оценке ущерба от расторжения договора аренды.

При оценке земельного участка следует определить вариант его наилучшего и наиболее эффективного использования, который определяется взаимодействием ряда факторов.

Анализ наилучшего использования включает изучение альтернативных вариантов использования (освоения, застройки) земельного участка и выбор оптимального. При этом учитываются перспективность местоположения, состояние рыночного спроса, стоимость застройки, стабильность предполагаемых доходов и т. п.

Большое значение при оценке стоимости объекта, состоящего из земельного участка и построек, придается анализу наилучшего использования, во-первых, предположительного вакантного земельного участка и, во-вторых, земельного участка с имеющимися улучшениями.

Анализ предположительного вакантного земельного участка является необходимым этапом при определении его стоимости, и он основан на установлении наиболее доходного варианта использования земли.

Анализ земельного участка с имеющимися улучшениями предполагает принятие решения о сносе, модернизации или сохранении имеющихся на земельном участке улучшений в целях обеспечения максимальной доходности объекта.

Вероятное и наиболее доходное использование участка обеспечивает его самую высокую стоимость. Варианты использования должны быть законными, физически допустимыми и экономически эффективными.

Назовем основные факторы, определяющие оптимальное использование земли:

1) местоположение — фактор, оказывающий основное влияние на стоимость земельного участка (учитываются перспективность местоположения, транспортная доступность, характер окружения);

2) рыночный спрос — фактор, отражающий соотношение спроса и предложения на рынке;

3) финансовая обоснованность — способность проекта обеспечить доход от использования земельного участка, который был бы достаточным для возмещения расходов инвесторов и обеспечения получения ожидаемой прибыли; 4) физическая пригодность участка — перспектива создания улучшений — размер, топография, качество грунта, климат, инженерно-геологические и гидрогеологические характеристики участка, существующее зонирование, экологические параметры и т.д.;

5) технологическая обоснованность и физическая осуществимость — анализ соотношения качества, затрат и сроков реализации проекта, вероятность стихийных бедствий, доступность транспорта, возможность подключения к коммунальным удобствам, учет размеров и формы участка, например, размер может быть мал для строительства промышленного объекта; 6) законодательная (юридическая) допустимость — соответствие варианта использования земельного участка действующему законодательству. Выявляется в результате анализа строительных, экологических нормативов, ограничений этажности, наличия временных запретов на строительство в данном месте, сложности в районе исторической городской застройки, возможное изменение нормативных актов, соблюдение правил зонирования, негативные настроения местного населения;

7) максимальная доходность (максимум дохода собственности и стоимости участка), которая определяется дисконтированием будущих доходов альтернативных вариантов использования, с учетом риска инвестиций.

Методы оценки земель

Нормативный методзаключается в определении нормативной цены земли. Используется при передаче, выкупе земли в собственность, установлении общей совместной (долевой) собственности сверх бесплатной нормы, передаче по наследству или дарении, получении кредита под залог, изъятии для государственных или общественных нужд.

Земли городов оцениваются с учетом плотности застройки, престижности района, характера окружающего землепользования, экологического состояния, инженерно-транспортного обустройства и др. Земли разделяют на зоны, дифференцированные по базовым ставкам земельного налога и нормативной цене земли (Закон РФ «О плате за землю»). Нормативная цена земли фиксируется в Земельном кадастре.

Основа определения нормативной цены земли:

ставки земельного налога и повышающие коэффициенты, льготы по земельному налогу не учитываются.

Часто необходимо оценить объект, состоящий из здания и земельного участка, когда на последний имеются только права аренды. В этом случае в качестве стоимости земли можно учесть затраты на отвод земельного участка под строительство.

В рыночных условиях при наличии необходимой информации целесообразно применять методы, основанные на анализе рыночных данных. Распоряжением Минимущества России от 07.03.2002 № 568-р утверждены Методические рекомендации по определению рыночной стоимости земельных участков. Как правило, при оценке рыночной стоимости земельных участков используются метод сравнения продаж, метод выделения, метод капитализации земельной ренты, метод распределения, метод остатка, метод разбивки на участки.

Метод сравнения продажявляется наиболее простым и эффективным методом оценки, может использоваться для оценки и фактически свободной, и предположительно вакантной земли; позволяет определить конкретную цену земельного участка путем внесения процентных поправок к ценам продаж аналогов. При отсутствии информации о ценах сделок с земельными участками допускается использование цен предложения (спроса).

Общепринятые элементы сравнения для земельных участков: права собственности, условия финансирования, особые условия продажи, рыночные условия (изменяются во времени), месторасположение (расстояние от города и дорог, характеристика окружения), условия зонирования, физические характеристики (размер, форма и глубина участка, угловое расположение, тип почв, рельеф), доступные коммунальные услуги, экономические характеристики, наилучшее и наиболее эффективное использование. При оценке земли можно использовать несколько единиц сравнения, корректируя цену каждой из них и получая в конце несколько значений стоимости, определяющих диапазон стоимости. Особую категорию представляют собой городские земли, на их ценность влияют величина города и его производственно-хозяйственный потенциал, уровень развития инженерной и социальной инфраструктуры, региональные природные, экологические и другие факторы.

Метод дает достаточно точные результаты только на развитом информационно-открытом конкурентном рынке. Российский земельный рынок не отвечает этим требованиям, стоимость земельного участка невозможно определить исходя из информации о сделках продаж участков-аналогов. Поэтому для оценки должна собираться вся доступная информация для применения всех методов оценки участков.

Метод капитализации земельной рентыоснован на том, что при наличии достаточной информации о ставках аренды земельных участков можно проводить определение стоимости этих участков как текущей стоимости будущих доходов в виде арендной платы за оцениваемый земельный участок. В рамках данного метода величина земельной ренты может рассчитываться как доход от сдачи в аренду земельного участка на условиях, сложившихся на рынке земли. Как регулярный поток дохода, земельная арендная плата может капитализироваться в стоимость делением на коэффициент капитализации для земли, определяемый из анализа рынка. Исходные данные для капитализации получают из сравнения продаж арендованной земли и величин арендной платы.

Ставка капитализации определяется делением величины земельной ренты по аналогичным земельным участкам на цену их продажи или увеличением безрисковой ставки отдачи на капитал на величину премии за риск, связанный с инвеcтированием капитала в оцениваемый земельный участок.

Основные факторы, влияющие на величину арендной ставки земельного участка: характеристики местоположения, размер, форма, окружающий тип землепользования, транспортная доступность, инженерное оборудование.

Метод распределения(метод соотношения, соотнесения,allocation) —определение составляющей стоимости земельного участка на основании известного соотношения стоимости земли и улучшений в имущественном комплексе. Метод основан на принципе вклада и утверждении того, что для каждого типа недвижимости существует нормальное соотношение между стоимостью земли и построек. Наиболее достоверно это соотношение для новых построек, они близки к варианту лучшего и наиболее эффективного использования. Чем больше возраст зданий, тем больше величина отношения стоимости земли к общей стоимости собственности.

Метод выделения (извлечения)применяется для оценки застроенных земельных участков, если есть информация о ценах сделок аналогичными объектами недвижимости. Улучшения земельного участка соответствуют его наиболее эффективному использованию. Метод предполагает следующую последовательность действий:

-  определение элементов сравнения объектов;

-  определение отличий каждого аналога от объекта оценки;

-  расчет и внесение корректировок по каждому из элементов сравнения;

-  расчет рыночной стоимости единого объекта недвижимости, включающего в себя оцениваемый земельный участок, путем обоснованного обобщения скорректированных цен аналогов;

-  расчет стоимости замещения или стоимости воспроизводства улучшений оцениваемого земельного участка; 

-  расчет рыночной стоимости оцениваемого земельного участка путем вычитания из рыночной стоимости единого объекта недвижимости, включающего в себя оцениваемый земельный участок, стоимости замещения или стоимости воспроизводства улучшений земельного участка.

Метод выделения применяется, когда вклад улучшений в общую цену участка невелик, рекомендуется для оценки загородных участков (для которых вклад улучшений мал и достаточно легко определяется), применяется при отсутствии данных о продажах земельного участка в окрестности.

Метод является наиболее эффективным в условиях пассивного рынка (отсутствуют данные о продаже свободных земельных участков) с учетом особенностей исходной информации и модели получения искомой стоимости.

Метод остаткаоснован на технике инвестиционной группы для физических составляющих. Метод применяется для оценки застроенных и незастроенных участков, если есть возможность застройки оцениваемого земельного участка улучшениями, приносящими доход. Стоимость земли определяют в результате капитализации части дохода, относящегося к земле.

Для определения стоимости земельного участка необходимо знать стоимость здания, чистый операционный доход всей собственности, коэффициенты капитализации для земли и для зданий.

Основные этапы метода остатка для земли:

1) определяется чистый операционный доход всей собственности на основе рыночной ренты и предполагаемых операционных расходов; 2) определяется чистый операционный доход, относящийся к строению (зданию); 3) чистый операционный доход, относимый к земельному участку, капитализируется в показатель стоимости через норму капитализации для земли.

Сложно прогнозировать доход в условиях недостаточной стабильности экономики.

Метод разбивки на участки(подход с точки зрения развития) используется при оценке земли, пригодной для разделения на индивидуальные участки. Состоит из следующих этапов:

-  определение размеров и количества индивидуальных участков;

-  расчет стоимости освоенных участков с помощью метода сравнения сопоставимых продаж;

-  расчет затрат и графика освоения предполагаемого периода продажи и разумной предпринимательской прибыли;

-  вычет всех затрат на освоение и предпринимательской прибыли из предполагаемой суммарной цены продажи участков для определения чистой выручки от продажи недвижимости после завершения освоения и продажи индивидуальных участков;

-  выбор ставки дисконта, отражающей риск, связанный с периодом предполагаемого освоения и продажи.

Затраты на освоение земельного массива обычно включают:

-  расходы на разбивку, расчистку и планировку участков;

-  расходы по устройству дорог, тротуаров, инженерных сетей, дренажа;

-  налоги, страховку, гонорары ИТР;

-  расходы на маркетинг;

-  прибыль и накладные расходы подрядчика и т.д.

В целом, моделирование рыночной стоимости земельных участков проводится в рамках предположения о достижении динамического равновесия в конкуренции различных «рациональных» землепользователей за право занять определенный участок. При балансе платежеспособного спроса и предложения на имитируемом земельном рынке при ограниченности предложения решается вопрос о наиболее эффективном использовании участка как свободного и с учетом существующей застройки. Моделирование потенциального рентного дохода для различных типов землепользования базируется на закономерностях формирования рентных эффектов местоположения и сложившихся цен (продажи и аренды). Учитывая существенную разницу в стоимостных показателях для участков, расположенных по фронту улично-дорожной сети города и расположенных на внутриквартальных территориях, эти участки подлежат обязательному разделению при оценке. Реализация принципа наиболее эффективного использования происходит в условиях конкуренции за пользование недвижимостью между различными функциональными сегментами рынка с учетом реальных ограничений на объемы спроса и возможной многофункциональности территории, в результате чего на каждом участке образуется набор землепользователей.

Оценка стоимости земельных участков сельскохозяйственного предприятия

32.1. При оценке земель сельскохозяйственного предприятия в целом учитываются только земли, приносящие доход и способные иметь рыночную стоимость, то есть сельскохозяйственные угодья без учета земель под дорогами, древесно-кустарниковой растительностью и постройками.

Например, в хозяйстве имеется 3 000 га сельскохозяйственных угодий, в том числе:

1 000 га пахотных земель ? 50 тыс. руб./га = 50 000 тыс. руб.

1 000 га пастбищ ? 20 тыс. руб./га = 20 000 тыс. руб.

1 000 га сенокосов ? 5 тыс. руб./га = 5 000 тыс. руб.

_____________________________

Итого 75 000 тыс. руб.

  1. Оценка эффективности использования городских земель для целей оценки стоимости

    Особую категорию представляют собой городские земли. На их ценность влияют: величина города и его производственно-хозяйственный потенциал, уровень развития инженерной и социальной инфраструктуры, региональные природные, экологические и другие факторы. К тому же существуют особенности законодательства для этой категории земель.

    На ценность того или иного участка одни и те же факторы могут оказывать противоположное влияние:

    интенсивное движение транспорта нежелательно для жилого района, но увеличивает стоимость участка для целей торговли;

    размещение относительно учебных заведений и торговых центров, эстетические достоинства и удобства, учитывающиеся при оценке земель под жилищное строительство, практически не влияют на ценность территорий, ориентированных на промышленное развитие; для них важны транспортная инфраструктура и экономическое зонирование.

    Основные применяемые единицы сравнения земельных участков:

    цена за 1 га – для больших массивов сельскохозяйственного, промышленного назначения или жилищного строительства;

    цена за 1 м2 – в деловых центрах городов, для офисов, магазинов;

    цена за 1 фронтальный метр – для коммерческого использования земель в городах. В этом случае стоимость участка пропорциональна длине его границы по улице или шоссе при стандартной глубине участка, на которую приходится небольшая часть стоимости;

    цена за лот – применяется для сравнения стандартных по форме и размеру участков в районах жилой, дачной застройки;

    цена за единицу плотности – соотношение площади застройки к площади земельного участка и др.

    Большинство земельных ресурсов в настоящее время находится в государственной и муниципальной собственности. Практика показывает, что в рыночных условиях городские земли являются ценнейшим ресурсом и могут служить стабильным источником доходов местного бюджета. Городские власти определяют величину земельного налога, арендную ставку за землю и нормативную цену земельного участка при выкупе, поэтому вопрос повышения эффективности использования земель является актуальным для них. Чтобы земельная собственность использовалась более эффективно, т.е. приносила максимальный доход от использования и способствовала улучшению общего инвестиционного климата, необходимы дальнейшее развитие рыночных отношений на земельном рынке, ориентация на сложившуюся рыночную ситуацию и требования рынка, реализация процессов налогообложения, аренды и выкупа городских земель на основе ее рыночной стоимости. При этом достигается справедливое распределение налогового бремени, стимулирование эффективного использования и активизация инвестиций в реконструкцию и развитие в процессе реструктуризации территории.

    В ходе проведения политики взимания платы за земельные ресурсы на основе их рыночной стоимости достигаются следующие результаты:

    ? создание и развитие адекватной системы рыночных отношений в системе оплаты за земельные ресурсы;

    ? справедливое распределение налогового бремени;

    ? стимулирование перераспределения земли между конкурирующими типами землепользования;

    ? стимулирование эффективного использования и активизации инвестиций в реконструкцию и развитие в процессе реструктуризации территории.

    Выкуп земельного участка предприятием позволяет получить возможность использования земли в качестве залога для банковского займа, расширить инвестиционные возможности, продать излишки земли, получать доходы от сдачи земли в аренду, увеличить стоимость основных фондов, повысить курсовую стоимость акций.

    Существует два взгляда на ценность городских земель – проектировщика-градостроителя в процессе функционального зонирования территории как раздела генерального плана города и оценщика в процессе разработки кадастровой оценки земель.

    Основой формирования кадастровой оценки земель и функционального зонирования территории должна выступать комплексная градостроительная оценка рыночной стоимости.

    Подходы оценки стоимости земли

    5.1.1. При оценке единых объектов недвижимости применяется методы трех подходов определения стоимости:

    • затратного;

    • сравнительного;

    • доходного.

    5.1.2. Затратный подход заключается в расчете стоимости по затратам на создание оцениваемых объектов. Сравнительный подход заключается в определении стоимости по ценам продажи объектов, сравнимых с оцениваемым объектом (объектов-аналогов). Доходный подход заключается в расчете стоимости по периодическим доходам от оцениваемого объекта, преобразованным (капитализированным) в абсолютную величину.

    5.1.3. При оценке земли, как территории или пространства, применяются только методы сравнительного и доходного подхода.

    5.1.4. Затратный подход для оценки непосредственно земли не применяется, так как земля нерукотворна и не может быть воспроизведена физически, за исключением уникальных случаев создания искусственных островов.

    Предмет оценки стоимости земельных участков

    1.2.1. Предметом оценки стоимости земли является не сама по себе земля, рассматриваемая как вещь, а ценность или стоимость правомочий, вытекающих из различных прав на нее, и дающих возможность получать определенные выгоды и полезности.

    Расчет рыночной стоимости земельных участков при оценке стоимости предприятия бизнеса

Земельный участок рассматривается как свободный от улучшений и доступный для наилучшего использования.

При оценке рыночной стоимости земельного участка руководствуются теми же принципами и применяют те же классические подходы, что и при оценке других объектов недвижимости.

Однако имеется существенная разница, заключающаяся в том, что стоимость земли всегда является базисной составляющей стоимости имущественного комплекса, хотя в практике его оценки рассчитывается в виде остатка от общей стоимости объекта за вычетом стоимости улучшений.

Такой подход объясняется сложностью уч?та многолетних вложений труда и капитала в социальную инфраструктуру земельного участка и его окружения, обуславливающих покупательский спрос, в отличие от стоимости воспроизведения построек на данном участке, относительно просто подающейся измерению.

В основе оценки рыночной стоимости земельного участка лежат экономические принципы:

отражающие позицию пользователя;

связанные с земельным участком и его улучшениями (зданиями, сооружениями);

связанные с рыночной средой;

принцип наиболее эффективного использования.

Определение рыночной стоимости недвижимого имущества осуществляется с учетом всех факторов, существенно влияющих как на рынок в целом, так и непосредственно на ценность рассматриваемой собственности. При определении стоимости обычно используют три основных подхода, принятых стандартами, обязательными для применения в РФ:

затратный подход; сравнительный подход; доходный подход.

Использование трех подходов приводит к получению трех различных величин стоимости одного и того же объекта. После анализа результатов, полученных разными методами, и сопоставления данных устанавливается окончательное суждение об итоговой величине рыночной стоимости объекта.

Сравнение методов оценки стоимости земли

При правильном применении оба приведённых выше метода адекватны и должны давать приблизительно одинаковые результаты оценки стоимости земельных участков. Однако у каждого из них есть свои преимущества и недостатки. Преимуществом метода базового участка является то, что в его основе лежит подход сравнения продаж. При внесении поправок в цены продаж для приведения их к базовому участку рассматриваются отличия в местоположении, размере, интенсивности транспортного потока, возможностях подъезда и в других факторах. Таким образом, метод может дать точные и обоснованные ориентиры для проведения дальнейших расчетов, и в случае, когда участки значительно отличаются друг от друга по пейзажу, интенсивности транспортного потока, размеру и другим важным показателям, он по своей концепции является более совершенным, чем метод единицы сравнения.

Основным преимуществом метода единицы сравнения является его отно­сительная простота. Допустим, что есть от десяти до двадцати неосвоенных участков земли в микрорайоне жилой застройки, что каждый из этих участков приведен к дате оценки, причем площадь каждого выражена в одинаковых единицах (скажем, в квадратных метрах) и все данные об участках нанесены на карту микрорайона. Располагая необходимыми сведениями об этом микро­районе, вероятно, можно легко определить достоверную величину стоимости 1кв.м его площади. Конечно, это только отправная точка, и в дальнейшем при определении стоимости конкретного участка в эту величину придется вносить поправки на квартал и отличительные характеристики, как это делается при применении метода базового участка.

Нет никаких оснований считать исключительно приемлемым использова­ние какого-то одного из этих методов. Метод единицы сравнения удобен в тех случаях, когда участки сильно отличаются друг от друга по размеру, но относительно похожи в отношении других параметров. В таких случаях можно воспользоваться преимуществами данного метода. В то же время метод базового участка более подходит для тех страт, в которых участки приблизительно одного размера сильно отличаются по другим характеристикам. Этот метод помогает внести поправки на такие факторы при установлении стоимости базового участка.

За счет своей роли в производстве товаров и услуг земля является одним из факторов производства и обладает определенной стоимостью. Эта стоимость выглядит как некоторая остаточная величина, после того как все другие факторы производства «заработали» доход.

Стоимость земли особенно чувствительна к показателям, связанным с расположением участка, и на нее может оказывать влияние зонирование или ограничения на варианты землепользования. Метод сравнения продаж является наилучшим методом оценки стоимости земли, однако, когда нет достаточной информации по продажам, следует использовать и другие методы.

Стратификация земли при оценке

Стратификация представляет собой процесс сортировки данных по продажам объектов недвижимости и другой рыночной информации по некоторым однородным группам (стратам). При оценке земли страты должны отражать подверженные различным воздействиям рынка географические территории, различия в зонировании и других регуляторах землепользования, а также возможные варианты землепользования. Стратификация земли по географическому принципу, а затем по видам зонирования или возможному варианту землепользования позволяет разбить землевладения на ряд групп наиболее эффективно. Критерии такой классификации дают возможность при оценке стоимости рассматривать земельные участки с аналогичными или конкурирующими между собой вариантами землепользования, которые расположены на одной и той же географической территории. Процедуру стратификации можно упростить за счет использования систем кодирования местоположения варианта землепользования, иногда определяемого в законодательном порядке.

Таблица 2

Гипотетическая (возможная) система стратификации земельных участков

Зона Зонирование

Рыночная зона 01 Жилой фонд: дома на одну семью

Жилой фонд: дома на две - четыре семьи

Коммерческая недвижимость

Промышленная недвижимость

Рыночная зона 02 Жилой фонд: дома на одну семью

Жилой фонд: многоквартирные дома

Коммерческая недвижимость

Рыночная зона 03 Жилой фонд: дома на одну семью

Жилой фонд: дома на две - четыре семьи

Жилой фонд: многоквартирные дома

Коммерческая недвижимость

Промышленная недвижимость

Рыночная зона 04 Жилой фонд: дома на две - четыре семьи

Жилой фонд: многоквартирные дома

Коммерческая недвижимость

Жилые автофургоны

Втабл. 2 представлен гипотетический пример стратификации земли. Все землевладения разделены на четыре рынка, а затем внутри каждого из них – на подгруппы по разрешенному правилами зонирования варианту землепользо- вания. Всего получилось 16 страт; зонирование не допускает любого варианта землепользования в каждом рынке. Если в результате в одну страту попадает слишком малое число земельных участков, что делает невозмож­ным значимый анализ, некоторые варианты землепользования по данной географической территории можно объединить; например, одну страту могут составить все варианты промышленного использования земельных участков.

Техника остатка для оценки земельных участков

Техника остатка использует положение из классической теории экономики земли о том, что доход, приписываемый земле, является остатком от общего дохода, приносимого производствен­ным объектом, после того как из этого общего дохода вычли все составляющие для удовлетворения остальных факторов производства: труда, капитала, управления. Таким образом доход, приходящийся на земельный ресурс, носит остаточный характер и соответствует так называемой земельной ренте при условии, что все производственные ресурсы экономически сбалансированы.

Техника остатка для оценки земли позволяет определять стоимость различных интересов, объединенных в доходной недвижимости в физических, финансовых и правовых. Использова­ние техники остатка для оценки всех составляющих, помимо земли, носит достаточно формальный характер, но успешно используется при экономическом анализе доходной недвижимости. Исходными величинами являются общий чистый годовой доход, ставки доходности (предположим, для земли и для улучшения) и стоимость одной из составляющих (физических или финансовых).

Сначала определяется доход, необходимый для привлечения инвестиций в составляющую с известной стоимостью, умножением соответствующей ставки капитализации на величину стоимости. Затем определяется доход, который прихо­дится на вторую составляющую, вычитанием дохода, приходящегося на первую составляющую, из общего дохода. Далее доход для второй составляющей капитализируется в ее стоимость.

Наиболее распространено применение техники остатка при анализе наиболее эффективного использования земли и при оценках земли в случаях, когда отсутствует информация о продажах свободных земельных участков.

Расчеты этим методом выполняются в несколько этапов:

1. Распределяется ЧОД (чистый операционный доход) между землей, зданиями и сооружениями. Для определения дохода, относимого к зданиям и сооружениям, необходимо стоимость зданий и сооружений умножить на коэффициент капитализации для зданий и сооружений.

NOIв = VвRв, (1)

где Vв (Value – англ.) - текущая стоимость зданий и сооружений;

NOIв (Net operating income) – чистый операционный доход, приходящийся на здания и сооружения;

Rв – коэффициент капитализации для зданий и сооружений.

Коэффициент капитализации для зданий и сооружений можно рассчитать по формуле:

Rв = Rвозм + RL, (2)

где Rвозм – коэффициент возврата (возмещения) капитала;

RL – коэффициент капитализации для земли. Капитализация в этом случае проводится по ставке дохода на инвестиции без учета возмещения капитала, так как считается, что земля не изнашивается.

2. Определяется остаток чистого операционного дохода, относимый к земле. Для этого из общего чистого операционного дохода вычитается доход, относимый к зданиям и сооружениям.

NOIL = NOI - NOIв, (3)

где NOIL - чистый операционный доход, относимый к земле;

NOI - общий чистый операционный доход;

NOIв - чистый операционный доход, относимый к зданиям и сооружениям.

3. Рассчитывается остаточная стоимость земли путем капитализации остаточного чистого операционного дохода от земли.

, (4)

где VL – остаточная стоимость земли;

NOIL – остаточный чистый операционный доход от земли;

RL - коэффициент капитализации для земли.

Пример 1

Определить рыночную стоимость земельного участка при следующих исходных данных.

Стоимость или проектные затраты на сооружение здания 500 тыс. руб.

Годовой чистый доход от объекта 72 тыс. руб.

Ставка дохода на инвестиции 10%.

Продолжительность экономической жизни сооружения 50 лет.

Таблица 13

Расчетные показатели

Значение, тыс. руб.

1. Чистый доход за первый год

72

2. Доход от здания:

10%-ный доход на инвестиции + 2% -ный возврат инвести­ций за 50 лет = 12% (0,12 x 500 = 60)

60

3. Остаточный доход земли (72 - 60)

12

4. Стоимость земли при капитализации дохода по 10%-ной ставке на инвестиции без ограничения срока, так как земля не изнашивается (12:0,10=120)

120

5. Общая стоимость объекта (500 + 120)

620

Примечание: 2%-ный возврат инвестиций через 50 лет определен из отношения 100%:50.

Пример 2

Определить рыночную стоимость земельного участка, на котором инвестор планирует разместить авто­заправочную станцию (АЗС) на три колонки.

Удельные капитальные вложения на одну колонку определены в 48 780 руб.

Анализ эксплуатации действующих АЗС в аналогичных по местоположению условиях позволил установить следующее:

  • в течение часа на одной колонке в среднем заправляется 4 автомобиля;

  • одна заправка в среднем равна 20 литрам;

  • чистый доход с одного литра бензина составляет около 0,026 руб.

Планируемая доходность от объекта недвижимости - 12 %. Срок экономической жизни определен в 6 лет. Возмещение инвестиций осуществляется по прямолинейному методу.

Таблица 14

Расчетные показатели

Значение, руб.

1. Стоимость воспроизводства АЗС

(48 780 х 3 = 14 6340)

146 340

2. Чистый операционный доход: 3 колонки х 4 автомобиля х 24 часа х 300 дней х 20 литров х 0,026 руб. = 44 928

44 928

3. Доход от здания: 12%-ный доход на инвестиции + 16,7% возврат инве­стиций за 6 лет = 28,7% (0,287 х 146 300 = 41 988)

41 988

4. Остаточный доход земли

(44 928 - 41 988 = 2940)

2940

5. Стоимость земли при капитализации дохода по 12%-ной ставке на инвестиции без ограничения срока, так как земля не изнашивается

(2940:0,12 = 24 500)

24 500

6. Общая стоимость объекта

(146 340 + 24 500 = 170 840)

170 840

Улучшения земельного участка как объекта оценки

Описание улучшений включает следующие составляющие:

  • общая информация;

  • характеристики строения;

  • характеристики помещений;

  • специальная информация;

  • строительная готовность и техническое состояние.

Общая информация:

  • балансовая стоимость;

  • год ввода в эксплуатацию;

  • год последнего капремонта, реконструкции;

  • серия типового проекта;

  • строительный объем, общая площадь, площадь застройки;

  • этажность;

  • историческая и архитектурная ценность.

  • текущее использование;

  • группа капитальности.

Характеристики строения включаю конструктивную схему (каркасная с полным или неполным каркасом, бескаркасная) и конструктивные решения и материал основных конструкций: фундаменты, стены, перегородки, перекрытия, каркас (колонны, балки, фермы), кровля, наружная отделка, проемы, элементы междуэтажных сообщений (лестницы, лифты, подъемники) и др (крыльца, балконы, мусоропровод, фонари), а также обеспеченность инженерными коммуникациями.

Характеристик помещений:

  • функциональное зонирование;

  • общая площадь с разбивкой по этажам;

  • потенциально сдаваемая (арендопригодная) площадь, полезная площадь;

  • высота помещений;

  • наличие отдельного входа;

  • внутренняя отделка;

  • инженерное оборудование, в том числе специальное (холодильное, крановое и др.);

Специальная информация:

  • оплата коммунальных услуг,

  • налог на имущество;

  • платежи по страховке,

  • содержание территории,

  • расходы по управлению, охране, обслуживанию;

  • затраты на текущие ремонты;

  • история объекта;

  • действующие арендные ставки;

  • количество арендаторов;

  • типичные сроки аренды;

  • вакантность помещений, потери от смены арендаторов.

Строительная готовность и техническое состояние рассматривается в разделе затратного подхода. При отказе от использования затратного подхода анализ строительной готовности и технического состояния следует проводить в разделе описания объекта.

Список литературы и источников на тему "Оценка земли в оценочной деятельности"

  1. Полный список аттестационных работ

Похожие темы:
  • Оценка рыночной стоимости акций, составляющих 100% уставного капитала организаций на примере АО "GSM" (Оценка стоимости действующего предприятия на примере ЗАО GSM)
  • Оценка рыночной стоимости организации на примере ПАО "ТД ГУМ"
  • Оценка рыночной стоимости организации на примере ОАО "Московский шинный завод"

    Другие похожие работы





  • © 2002 - 2026 RefMag.ru