Примеры: | контрольные | курсовые | дипломные | отзывы |
q платежей. Как обычно, пустьi обозначает норму процента за период
167 ![]()
Каждый из аннуитетов будет эквивалентен простому аннуитету с
Если функции составных платежей представить в явной форме и выполнить упрощающие преобразования, тогда получим S = R ((1+i)п + (1+i) Сумма в скобках этого выражения является геометрической прогрессией с q членами, первый член равен (1+i)п , и знаменателем (1+i)п . Используя формулу для суммы геометрической прогрессии, мы получим
последнее упрощение использует деление числителя и знаменателя предшествующей дроби на i . Если требуется найти настоящую стоимость или другую эквивалентную стоимость увеличивающегося аннуитета, рекомендуется сначала определить его итоговую сумму из равенства (7), а затем преобразовывать ее к желаемой дате. 168 ![]() Уменьшаюшиеся аннуитеты Уменьшающийся аннуитет отличается от
для увеличивающегося аннуитета и предлагается сделать читателю в качестве упражнения. Если уменьшающийся аннуитет должен быть рассмотрен для даты, отличающейся от начальной, рекомендуется сначала вычислить его настоящую стоимость, а затем преобразовать ее к требуемой дате. Наконец, следует заметить, что если аннуитет является увеличивающимся или уменьшающимся полагающимся аннуитетом, R , встречающееся вравенствах (7) или (8) следует вычислять с помощью
достаточно близко приближаются в определенных практических случаях, таких как поток монет в системе городского метро. Для получения формул для текущей стоимости и итоговой суммы такого аннуитета необходимы два соотношения из анализа
169 ![]() Пусть T = p W будет равно полным платежам аннуитета за год. Тогда A = T i ап i / (p ((1+i)m/p - 1)) . Если мы устремим p к бесконечности и используем предел из соотношения(9), мы получим
где t равно продолжительности полного года. Тогда
Это последнее соотношение может быть записано в виде
Если теперь m устремить к бесконечности, соотношение(10) приx = m/j дает A W (1 -e
Вышеприведенные формулы применяются к аннуитетам, для которых платежи делаются конечное число раз в год, но процент конвертируется непрерывно. 170 Итоговая сумма и настоящая текущая стоимость обыкновенного общего аннуитетаИдея определения итоговой суммы и настоящей стоимости обыкновенного общего аннуитета остается прежней : преобразовать обыкновенный общий аннуитет в эквивалентный ему обыкновенный простой аннуитет и затем определить требуемую характеристику известными методами для простых аннуитетов. Проблемой, таким образом, является лишь преобразование общего аннуитета в простой. Как только это сделано, анализ простого аннуитета происходит стандартными
простые тем же самым образом. Покажем это на примерах. ПРИМЕР 1 Иванов вносит в банк по 1 млн рб в конце каждого квартала при норме процентаj1 = 4% . Какая сумма будет у него в банке через пять лет ?
Из уравнения (6) имеем R = 1000000 / s1 4 4 % = 1000000 ? 4,059510 = 4059510 рб . Аннуитет продолжается в течение пяти периодов начисления, поэтому S =R s5 4 % = 4059510 ? 5,41632256 = 21987615 рб. 69 ![]() ПРИМЕР 2 Найти настоящую стоимость серии полугодовых платежей по 5 млн рб в течение 8 лет, первый платеж в конце пятого года, если норма процентаj4 = 5% . РЕШЕНИЕ Снова изображаем исходные данные на сравнительной
Опять используем уравнение (6) и получаем равенство R = 5000000/s2 1 , 2 5 % = 5000000 ? 0,49689441 = 2484472 рб, которое определяет квартальные платежи, эквивалентные полугодовым выплатам по 5 млн рб. Срок аннуитета равен 8 лет ( 32 периода конверсии ) и отсрочен на 4,5 года ( 18 периодов конверсии ). Используя ранее разработанную технику расчетов находим настоящую стоимость A A= 2484472 ( а5 0 1 , 2 5 %- а1 8 1 , 2 5 %) = =2484472 ( 37,01287574 - 16,02954893 ) = 52132488 рб. Заметим, что после получения эквивалентного простого аннуитета, единицей времени становится период начисления процентов. Конверсия аннуитетов в финансовой математикеВпрактике иногда возникает необходимость изменить условия финансового соглашения, предусматривающего выплату аннуитетов, то есть конвертировать ренту. Рассмотрим некоторые типичные ситуации. Выкуп ренты Выкуп ренты представляет собой замену предстоящей последовательности выплат единовременным платежом. Из принципа финансовой эквивалентности следует, что в этом случае вместо ренты выплачивается ее современная величина. Рассрочка платежей Это замена единовременного платежа аннуитетом. Для соблюдения принципа финансовой эквивалентности современную величину ренты следует приравнять величине заменяемого платежа. Далее задача обычно сводится к определению члена ренты или ее срока при остальных заданных параметрах. Замена немедленной ренты на отсроченную Пусть имеется годовая немедленная рента с параметрами R1, n1, i и ее необходимо заменить на отсроченную на t лет ренту, то есть начало ренты сдвигается на t лет. Обозначим параметры отложенной ренты какR2, n2, i. Ставку процентов при этом будем считать неизменной. Тогда может быть два типа расчетных задач. 1.Задан срок n2, требуется определить размерR2. Исходим из принципа финансовой эквивалентности результатов, то есть из равенства современных стоимостей заменяемого и заменяющего потоков: A1=A2. Раскрывая это равенство, получаем R1an1 ,i = R2an2 ,iv?t то есть R2 = R1 an1 ,i (1+i )t an2 ,i В частном случае, когда n1=n2=n, решение упрощается и принимает следующий вид R2=R1(1+i)t 2.Размеры платежей заданы, требуется определить срок n2. Рассмотрим частный случай, когда платежи годовой ренты остаются теми же R2=R1=R. Исходя из равенства современных стоимостей, Ran1 ,i= Ran2 ,iv?t ,
последовательно приходим к выражению
52 Конверсия постоянных аннуитетов в финансовой математикеВ практике иногда возникают случаи, когда на этапе разработки условий контракта или в ходе его выполнения необходимо изменить условия выплаты ренты. В этом случае говорят о конвертировании условий аннуитета. При этом основное требование состоит в том, чтобы изменение условий выплаты ренты не приводило к изменению финансовых последствий для каждой из участвующих сторон. Рассмотрим несколько основных случаев конверсии аннуитетов. 1). Выкуп ренты. Так называется замена ренты разовым платежом. Решение этой задачи очень простое: размер выкупа должен быть равен современной стоимости выкупаемой ренты. Применяемая при расчете современной стоимости процентная ставка оговаривается, она должна удовлетворять обе участвующие стороны. 2). Рассрочка платежей. Это задача, обратная выкупу ренты - разовый платеж заменяется рентой. Для решения задачи сумма долга приравнивается к современной стоимости ренты, с помощью которой производится рассрочка. Задача обычно заключается в определении срока выплаты n или размера годового платежа R при условии, что остальные параметры ренты заданы. 3). Замена немедленной ренты на отсроченную. Если начало срока ренты совпадает с началом действия контракта, то рента называется немедленной. Если же начало платежа отсрочено на некоторый период времени, то и рента называется отсроченной или отложенной. Пусть имеется немедленная рента постнумерандо с параметрами R , n , i и требуется отсрочить выплаты на t лет при условии сохранения срока ренты. Размер годового платежа Rt новой (заменяющей) ренты при этом равен: R 4). Объединение (консолидация) рент. В этом случае несколько рент заменяются одной. Объединяемые ренты могут быть любыми: немедленными и отсроченными, годовыми и срочными. Для заменяющей ренты определяется ее вид и все параметры, кроме одного. Для расчета этого параметра применяется принцип финансовой эквивалентности: современная стоимость заменяющей ренты приравнивается к сумме современных стоимостей объединяемых рент, и недостающий параметр определяется из полученного уравнения. Обычно задача сводится к определению суммы годового платежа или срока новой ренты. Рассмотренные случаи не охватывают все возможные варианты
конверсий постоянных аннуитетов. В других случаях для расчета параметров новой
ренты также используется принцип финансовой эквивалентности: приравниваются
современные стоимости заменяемых рент заменяющей ренты. Заметим, что
современная стоимость А годовой ренты постнумерандо с параметрами R , n , i и
современная стоимость А A Общие полагающиеся аннуитеты в финансовой математике
обыкновенные простые аннуитеты, после чего исследуются как в главе 5. Пусть W будет платежом общего аннуитета,i - норма процента за период начисления,m - количество периодов конверсии в год,p - число платежей аннуитета в год иR - платеж эквивалентного простого аннуитета. Временная диаграмма, представленная ниже, показывает два эквивалентных аннуитета за 1 год.
Но это является суммой обыкновенного аннуитета с платежом W i за период начисления в течение 1 года. Поэтому каждый платежR , соответствующий полагающемуся аннуитету, наW i больше, чем он был бы, если бы общий аннуитет был обыкновенным аннуитетом. Отсюда мы заключаем 151 ![]()
(1) и (2) можно получить методом, использованном в параграфе 5.2, используя начало или конец года как дату сравнения. Но это мы оставляем для одного из последующих упражнений. Когда m/p является дробным, можно воспользоваться таблицами для определенияа т p i . Напомним, что таблицы для значений 1/а т p i не
РЕШЕНИЕ Здесь общий полагающийся аннуитет должен быть заменен другим общим полагающимся аннуитетом. Это делается сначала 152 ![]()
как платежи эквивалентного простого аннуитета, выплачиваемые
W W W W W W W W W W W W Мы имеем p = 12 ,m = 4 ,i = 1% ,R = 0,554153 , тогда W = R а т p i = 0,554153а 1 3 1 % = 0,554153 ? 0,331128 = 0,1835 млн рб. Другие задачи, касающиеся общего полагающегося аннуитета, такие как нахождение нормы процента или срока, рассматриваются точно таким же способом как в главе 5. Существенным отличием является только использование равенств(1) и(2) для преобразования данного аннуитета в эквивалентный вместо равенств(6) главы 5. 153 ![]() Общий случай
в зависимости от того, какой из аннуитетов оценивается обыкновенный или полагающийся. Однако, до сих пор молчаливо предполагалось, что n, число рассматриваемых периодов начисления, является целым. Например, если процент конвертировался ежегодно и платежи делались помесячно, формулы использовались только тогда, когда число платежей было кратно 12. Таким образом, они использовались бы для 24 или 36 платежей, но не для 37. Теперь будет показано, что эти формулы справедливы, является ли числоn целым или нет. Например, если норма процента является годовой и имеется 37 ежемесячных платежей, вышеприведенные формулы применяются сn = 3 1/12. Пусть W будет платежом обыкновенного общего аннуитета,q - полное
Если мы теперь исключим i' , выразив ее через нормуi , мы получим
154 ![]() Поэтому
периодов в терминах аннуитетов, и эта формула справедлива, является ли n целым или нет. Доказательство для формулы текущей стоимости является подобным и поэтому не приводится. Подобное доказательство также может быть дано для общего полагающегося аннуитета. Единственная трудность в использовании этих формул для всех случаев заключается в том, что не существует таблиц для всех возможных n . Однако, большинство случаев, которые встречаются на практике, могут быть рассчитаны, если вместе с таблицами использовать тождества
каждого месяца в течение 29 месяцев. Найти текущую стоимость, если начисляется 6% эффективно. РЕШЕНИЕ Способ 1. (Использование тождеств) Платежи образуют обыкновенный общий аннуитет сW = 1 ,p = 12 ,i = 6% ,m = 1. Точно также, как вглаве 5, мы находим, что эквивалентные годовые платежи равны 155 ![]()
периода начисления процентов, ближайший к концу срока аннуитета. Так
Подставляя численные значения величин правой части, имеем A (1,06)2 = 12,326528 (2,06 + 0,399773) = 30,320457 . Следовательно, A = 30,320457
(1,06) 156 ![]() ПРИМЕР 2 Если человек вносит на депозит 1 млн рб в конце каждых 4 месяцев в течение трех лет и 8 месяцев в сберегательный банк, который установил норму процента 4% эффективно, сколько денег он будет иметь на своем счете через это время ? РЕШЕНИЕ Способ 1. Мы хотим найти сумму обыкновенного общего аннуитета, для которогоW = 1 млн рб,p = 3 ,m = 1 ,i = 4% иn , число периодов начисления, равно 11/3 . Точно также, как вглаве 5, мы находим эквивалентный простой аннуитет с ежегодными платежами. Таким образом, R = W / s
m Сумма аннуитета тогда равна S = R s
п i = 3,039651s1 1
157 ![]() Мы добавили дополнительный 1 млн рб в обеих строках диаграммы в конце 4 лет (12 периодов начисления). Уравнение эквивалентности для этой даты имеет вид S (1,04)1/3 + 1 =R s4 4% , где R имеет то же самое значение как в первом варианте. S (1,04)1/3 = 3,039651 ? 4,246464 - 1 = 11,907770 S = 11,907770 (1,04) Когда нужно определить платежи общего аннуитета, используется та же самая процедура, как и в главе 5. Однако, с целью упрощения вычислений в качестве даты сравнения следует выбирать конец периода начисления, ближайший к дате, на которую известна эквивалентная стоимость аннуитета. ПРИМЕР 3 Стоимость автомобиля равна 40 млн рб наличными. Он покупается за 5 млн рб наличными и остаток возмещается равными платежами в конце каждого месяца в течение 20 месяцев. Какими должны быть эти платежи, если норма процента равна 7% эффективно ? РЕШЕНИЕ Платежи будут образовывать обыкновенный общий аннуитет с текущей стоимостьюA = 35 млн рб,p = 12 ,m = 1 ,i = 7,5% . Так как срок аннуитета равен 20 месяцам, или 5/3 года, ближайший конец периода начисления для аннуитета с эквивалентной стоимостьюA = 35 попадает на четыре месяца раньше даты покупки. Представим временную диаграмму, показывающую это
Мы добавили 4 платежа (W) к аннуитету и эквивалентной стоимостиA, как показано на диаграмме. ПустьR будет эквивалентный ежегодный платеж; выпишем уравнение эквивалентности, использующее 4 месяца до даты покупки как дату сравнения. Так как все временные интервалы должны быть выражены в годах, мы получаем R а2 7 ,5%=
R а1/ 3 7 ,5%+ A (1,075) 158 ![]()
W = R s1/12 7 ,5% = 23,11687 ? 0,080599 = 1,8632 млн рб. ПРИМЕР 4 Некто занял 1 июня 8 млн рб , которые он будет возмещать десятью одинаковыми ежемесячными платежами, первый из которых будет сделан 1 сентября. Если деньги стоятj2 = 8% , какими должны быть эти платежи ? РЕШЕНИЕ Представим данные на временной диаграмме.
Два дополнительных платежа (W) добавляются к аннуитету и к эквивалентной сумме 8 млн рб, как показано на диаграмме. Выпишем равенство стоимостей с датой займа в качестве даты сравнения. Это дает R а2 4%= 8 + R а1/ 3 4%, где R являются эквивалентными полугодовыми платежами и время измеряется полугодиями. Разрешая это уравнение относительноR и подставляя численные значения, получим R (а2 4% -а1/ 3 4% ) =R (1,561383) = 8 илиR = 5,123664. Тогда W = R s1 / 6 4% = 5,123664 ? 0,163955 = 0,84 млн рб. Конечно, проиллюстрированные методы можно использовать, не прибегая к помощи таблиц. В этом случае придется использовать логарифмирование для определения значений функций составных платежей. 159 Определение платежей аннуитета в финансовой математике | |||||||||||||||||||||||||||||||||||||||||||||||||||||||||||||||||||||||||||||||||||||||||||||||||||||||||||||||||||||||||||||||||||||||||||||||||||||||||||||||||||||||||||||||||||||||||||||||||||||||||||||||||||||||||||||||||||||||||||||||||||||||||||||||||||||||||||||||||||||||||||||||||||||||||||||||||||||||||||||||||||||||||||||||||||||||||||||||||||||||||||||||||||||||||||||||||||||||||||||||||||||||||||||||||||||||||||||||||||||||||||||||||||||||||||||||||||||||||||||||||||||||||||||||||||||||||||||||||||||||||||||||||||||||||||||||||||||||||||||||||||||||||||||||||||||||||||||||||||||||||||||||||||||||||||||||||||||||||||||||||||||||||||||||||||||||||||||||||||||||||||||||||||||||||||||||||||||||||||||||||||||||||||||||||||||||||||||||||||||||||||||||||||||||||||||||||||||||||||||||||||||||||||||||||||||||||||||||||||||||||||||||||||||||||||||||||||||||||||||||||||||||||||||||||||||||||||||||||||||||||||||||||||||||||||||||||||||||||||||||||||||||||||||||||||||||||||||||||||||||
|
Основное |
уравнение |
аннуитета |
(1) |
определяет взаимоотношения | |||||||||||||||||||||||||||||||||||||||||||||||||||||||||||||||||||||||||||||||||||||||||||||||||||||||||||||||||||||||||||||||||||||||||||||||||||||||||||||||||||||||||||||||||||||||||||||||||||||||||||||||||||||||||||||||||||||||||||||||||||||||||||||||||||||||||||||||||||||||||||||||||||||||||||||||||||||||||||||||||||||||||||||||||||||||||||||||||||||||||||||||||||||||||||||||||||||||||||||||||||||||||||||||||||||||||||||||||||||||||||||||||||||||||||||||||||||||||||||||||||||||||||||||||||||||||||||||||||||||||||||||||||||||||||||||||||||||||||||||||||||||||||||||||||||||||||||||||||||||||||||||||||||||||||||||||||||||||||||||||||||||||||||||||||||||||||||||||||||||||||||||||||||||||||||||||||||||||||||||||||||||||||||||||||||||||||||||||||||||||||||||||||||||||||||||||||||||||||||||||||||||||||||||||||||||||||||||||||||||||||||||||||||||||||||||||||||||||||||||||||||||||||||||||||||||||||||||||||||||||||||||||||||||||||||||||||||||||||||||||||||||||||||||||||||||||||||||||||
|
между величинами S , |
R , n |
и |
i . Подобным образом, равенство(3) | ||||||||||||||||||||||||||||||||||||||||||||||||||||||||||||||||||||||||||||||||||||||||||||||||||||||||||||||||||||||||||||||||||||||||||||||||||||||||||||||||||||||||||||||||||||||||||||||||||||||||||||||||||||||||||||||||||||||||||||||||||||||||||||||||||||||||||||||||||||||||||||||||||||||||||||||||||||||||||||||||||||||||||||||||||||||||||||||||||||||||||||||||||||||||||||||||||||||||||||||||||||||||||||||||||||||||||||||||||||||||||||||||||||||||||||||||||||||||||||||||||||||||||||||||||||||||||||||||||||||||||||||||||||||||||||||||||||||||||||||||||||||||||||||||||||||||||||||||||||||||||||||||||||||||||||||||||||||||||||||||||||||||||||||||||||||||||||||||||||||||||||||||||||||||||||||||||||||||||||||||||||||||||||||||||||||||||||||||||||||||||||||||||||||||||||||||||||||||||||||||||||||||||||||||||||||||||||||||||||||||||||||||||||||||||||||||||||||||||||||||||||||||||||||||||||||||||||||||||||||||||||||||||||||||||||||||||||||||||||||||||||||||||||||||||||||||||||||||||||
|
определяет |
зависимость между |
A , |
R , nи |
i . В каждом из этих случаев | |||||||||||||||||||||||||||||||||||||||||||||||||||||||||||||||||||||||||||||||||||||||||||||||||||||||||||||||||||||||||||||||||||||||||||||||||||||||||||||||||||||||||||||||||||||||||||||||||||||||||||||||||||||||||||||||||||||||||||||||||||||||||||||||||||||||||||||||||||||||||||||||||||||||||||||||||||||||||||||||||||||||||||||||||||||||||||||||||||||||||||||||||||||||||||||||||||||||||||||||||||||||||||||||||||||||||||||||||||||||||||||||||||||||||||||||||||||||||||||||||||||||||||||||||||||||||||||||||||||||||||||||||||||||||||||||||||||||||||||||||||||||||||||||||||||||||||||||||||||||||||||||||||||||||||||||||||||||||||||||||||||||||||||||||||||||||||||||||||||||||||||||||||||||||||||||||||||||||||||||||||||||||||||||||||||||||||||||||||||||||||||||||||||||||||||||||||||||||||||||||||||||||||||||||||||||||||||||||||||||||||||||||||||||||||||||||||||||||||||||||||||||||||||||||||||||||||||||||||||||||||||||||||||||||||||||||||||||||||||||||||||||||||||||||||||||||||||||||||
если мы знаем три из этих величин, четвертая может быть определена Когда известны S ,n иi , периодические платежи аннуитета находятся из уравнения(1)
|
R |
|
|
S |
|
S |
1 |
|
|
| ||||||||
|
|
|
s |
|
|
|
|
s |
|
|
. |
(13) | ||||||
|
|
|
|
|
|
|
|
|
|
|
|
|
| |||||
|
|
|
|
n |
|
i |
|
|
|
|
|
n |
|
i |
| |||
|
Для быстрого определения |
|
R при отсутствии вычислительных средств | |||||||||||||||
|
составлены таблицы величины |
(1/ s |
|
|
i ) |
для |
обычно используемых | |||||||||||
|
n |
| ||||||||||||||||
|
значений параметров n иi . |
|
|
|
|
|
|
|
|
|
|
|
|
|
|
|
| |
Когда даны A ,n иi , формула дляR получается из равенства(3)
|
R |
А |
A |
1 |
|
|
|
|
|
(14) | |||||||||
|
a |
|
|
|
|
|
a |
|
|
|
|
|
| ||||||
|
|
n |
|
i |
|
|
|
|
n |
|
i |
|
|
|
| ||||
|
Для быстрого определения |
(1/ а |
|
|
i |
) |
|
|
|
нет необходимости иметь | |||||||||
|
n |
|
|
|
| ||||||||||||||
|
специальную таблицу, так как по |
|
|
|
тождеству |
(12) |
|
эта величина | |||||||||||
|
выражается через табулированную |
|
|
|
величину |
(1/ s |
|
|
i ) простым | ||||||||||
|
|
|
|
n |
| ||||||||||||||
|
добавлением известного параметра i . |
|
|
|
|
|
|
|
|
|
|
|
|
| |||||
Следует заметить, что формулы (13) и (14) справедливы только для обыкновенных аннуитетов. Когда определяются платежи полагающихся или отсроченных аннуитетов, не следует использовать эти формулы. В таких случаях нужно возвращаться к общей процедуре определения составляющих аннуитета, выписывая уравнение эквивалентности.
ПРИМЕР 1 Сберегательный банк начисляет проценты по нормеj4 = 3% . Какой величины вклады необходимо делать в конце каждого квартала, чтобы накопить за 5 лет 1 млн рб ?
РЕШЕНИЕ Представим исходные данные на временной диаграмме
53

0 1 2 3 4 ... 18 19 20
|
|
|
|
R R |
R R ... |
R R |
R | ||||
|
|
|
|
|
|
|
|
|
|
|
1 млн |
|
Выпишем уравнение эквивалентности для |
даты |
сравнения в конце | ||||||||
|
двадцатого периода начисления. Это дает |
|
| ||||||||
|
|
|
|
1 млн рб = R s |
|
|
|
0 , 0 0 7 5 . |
| ||
|
2 0 |
|
| ||||||||
|
Разрешая его относительно R , получим |
|
| ||||||||
|
R = 1/s |
|
|
= 1 ? 0,04653063 = 46530,63 рб. | |||||||
|
2 0 |
|
0 , 0 0 7 5 | ||||||||
|
ПРИМЕР 2 Стиральная машина стоит 500 |
тыс рб наличными. Она | |||||||||
|
может быть приобретена также в рассрочку |
путем начального платежа | |||||||||
200 тыс рб и одинаковыми ежемесячными взносами в течение двух лет. Найти величину ежемесячного платежа, если деньги стоят j12 = 3,5% .
РЕШЕНИЕ Представим исходные данные на временной диаграмме
|
0 |
1 |
2 |
3 |
... |
22 |
23 |
24 |
|
|
200 |
R |
R |
R |
... |
R |
R |
R |
|
|
500 |
|
|
|
|
|
|
|
|
|
Месячная норма |
|
процента |
равна |
|
(7/24)% . |
Уравнение | ||
эквивалентности с датой покупки в качестве даты сравнения имеет вид
500 = 200 + R а 2 4 7 / 2 4 .
Разрешая его относительно R , получим
R = 300 ? (1/а 2 4 7 / 2 4 ) .
Из тождества (12) находим
(1/ а 2 4 7 / 2 4 ) = (1/s 2 4 7 / 2 4 ) + 0,07/24 = = 0,04028606 + 0,00291667 = 0,04320273 .
54

Поэтому R = 300 ? 0,04320273 = 12,96 тыс рб .
ПРИМЕР 3 Студент занимает 2 млн рб, чтобы заплатить за обучение в течение года. Он обещает возместить долг с процентами приj2 = 4,5% десятью полугодовыми взносами. Первая выплата будет сделана через три года после получения займа. Какими должны быть эти взносы ?
РЕШЕНИЕ Представим исходные данные на временной диаграмме
|
0 1 2 ... 5 6 |
7 ... |
14 |
15 |
|
R |
R ... |
R |
R |
|
2 млн |
|
|
|
Способ 1. Запишем уравнение эквивалентности, используя конец пятого полугодия в качестве даты сравнения
|
R а |
|
|
|
|
|
|
|
|
|
= 2 ? (1,0225) 5 |
млн рб . | |||
|
1 0 |
|
|
2 , 2 5 % | |||||||||||
|
Умножение этого равенства на (1/ а 1 0 |
|
2 , 2 5 % ) |
дает | |||||||||||
|
| ||||||||||||||
|
R = 2 ? (1,0225)5 ? (1/ |
а |
|
|
|
|
|
) млн рб = |
| ||||||
|
1 0 |
|
2 , 2 5 % |
| |||||||||||
|
|
|
|
|
|
|
|
|
|
|
| ||||
= 2 ? 1,11767769 ? 0,11278768 млн рб = 252,11 тыс рб .
Способ 2. Добавим дополнительные платежи в концах первых пяти периодов в обе строки платежей. Тогда диаграмма преобразуется к следующему виду
|
0 |
1 |
2 ... |
5 |
6 |
7 ... |
14 |
15 |
|
|
(R) |
(R) ... |
(R) |
R |
R ... |
R |
R |
|
2 млн |
(R) |
(R) ... |
(R) |
|
|
|
|
Уравнение эквивалентности для дня получения долга в качестве даты сравнения имеет вид
R а 1 5 2 , 2 5 %= 2000000 + R а 5 2 , 2 5 %.
Разрешая его относительно R , получим
55
Для определения срока общего аннуитета следует так же как и ранее сначала преобразовать его в эквивалентный простой аннуитет и затем уже рассмотренными способами определить срок полученного простого аннуитета. Обычно для завершения аннуитета заключительные платежи устанавливаются несколько меньшими, чем регулярные. Техника определения заключительных платежей ранее была рассмотрена, поэтому здесь мы остановимся только на определении количества платежей аннуитета, показав это на примере.
ПРИМЕР Сколько ежемесячных платежей по 500 тыс рб каждый потребуется для ликвидации долга 10 млн рб , если норма процента равна 6% ,m = 2 и первая выплата делается через месяц после займа ?
РЕШЕНИЕ Данный аннуитет эквивалентен обыкновенному простому аннуитету с полугодовыми платежамиR , связанными с платежами общего аннуитетаW = 500 тыс рб соотношением
1
R = W s1 6 3% = 500000 ? 6,07456894 = 3037284 рб .
Срок аннуитета определяется из свойств функции составного платежа ап i , которая удовлетворяет равенству
3,037284 ап 3 % = 10
которое приводит к нелинейному уравнению относительно n
74

ап
3 % = (1 - (1 + 0,03)
Откуда
|
|
(1,03) п = 1,1095971 илиn = |
|
log 11095971, |
= 3,518 . | |
|
|
|
| |||
|
|
|
|
|
log 1,03 | |
|
Здесь |
n является числом |
полугодовых |
периодов, этому соответствует | ||
|
n = |
21,1098 месяцев . |
Если удобнее не вычислять логарифмы, а | |||
воспользоваться таблицами, составим вспомогательную табличку для построения интерполяционного решения. Она примет вид
|
Месяцев |
24 |
? |
18 | |||
|
Полугодий |
4 |
? |
3 | |||
|
а |
|
|
3,7171 |
3,2924 |
2,8286 | |
|
п |
|
3 % | ||||
Пропорция линейной интерполяции для n в месяцах
п 18 3,2924 2,8286 0,4638 24 18 3,7171 2,8286 0,8885
дает n = 21,1320 , то есть точность определения срока при помощи линейной интерполяции в данном случае равна 0,0222 месяцев.
Аннуитет
является
последовательностью
периодических платежей,
обычно одинаковых,
сделанных
через
одинаковые промежутки
времени.
Наиболее
известными
примерами аннуитетов являются
платежи
премий страхования жизни, платежи рассрочки, платежи ренты
и т.д.
Период времени между двумя последовательными платежами называется интервалом платежа и может быть любой удобной продолжительности. Первоначально слово аннуитет относилось только к ежегодным платежам, но современное использование этого термина может предусматривать интервалы платежа любой продолжительности.
|
Сроком |
аннуитета является время |
от начала первого интервала |
|
платежа |
до окончания последнего |
интервала платежа. Когда срок |
аннуитета фиксирован, то есть когда срок начинается и заканчивается в определенные даты, аннуитет называется определенным
(детерминированным) аннуитетом. Когда срок аннуитета зависит от некоторого неопределенного события, такого как смерть человека,
аннуитет называется зависимым (случайным) аннуитетом.
Когда платежи производятся в моменты окончания интервалов платежа,
|
аннуитет называется обыкновенным |
аннуитетом. Когда |
платежи |
|
производятся в начальные моменты |
интервалов платежа, |
аннуитет |
называется полагающимся аннуитетом. В дальнейшем, следуя принятой на практике традиции, слово аннуитет будет означать обыкновенный аннуитет, если не оговорено другое.
Предположим, что Иванов покупает автомобиль в рассрочку, выплачивая наличными 3 млн рб в день покупки и затем ежемесячно 1 млн рб в течение 24 месяцев, первый взнос по истечению 1 месяца после даты продажи. Ежемесячные взносы составляют обыкновенный аннуитет, срок которого начинается в день продажи и продолжается в течение двух лет. Интервал платежа равен 1 месяцу.
Все задачи об аннуитетах касаются полной стоимости серии платежей на некоторую заданную дату. Можно было бы рассмотреть все эти
39

задачи методами, развитыми в предшествующих разделах. Однако, используя свойство регулярности платежей аннуитетов, вычисление полной стоимости может быть существенно упрощено.
Когда срок аннуитета устанавливается, начиная с некоторой даты в будущем относительно даты заключения сделки, аннуитет называется отсроченным аннуитетом. Обычно анализируют отсроченные аннуитеты как обыкновенные аннуитеты, поэтому в последующем слово «обыкновенные» для краткости будем опускать.
Продолжительность времени от даты заключения сделки до начала срока аннуитета, то есть до начала первого интервала платежа, называется периодом отсрочки. Таким образом, аннуитет, состоящий из полугодовых платежей, первый из которых делается через 4 года, квалифицировался бы как отсроченный аннуитет с периодом отсрочки 3,5 года.
Для определения настоящей стоимости отсроченного аннуитета не требуется никаких новых методов. Как обычно, составляется уравнение эквивалентности с удобной датой сравнения и из него находится текущая стоимость. Поясним это на примере.
ПРИМЕР Компания получила определенную сумму, которую она будет возмещать, выплачивая по 50 млн рб в месяц, первая выплата должна быть сделана через 2 года, а последняя - через 5 лет от даты заключения сделки. Какую сумму получит компания в день заключения сделки при норме процента 6% ,m = 12 ?
РЕШЕНИЕ Обозначим через A настоящую стоимость платежей и поместим исходные данные задачи на временную диаграмму
|
0 1 2 3 ... 23 24 |
25 |
... |
59 |
60 |
|
50 |
50 |
... |
50 |
50 |
A
Способ 1. Первая выплата попадает на конец
48

A х (1,005)23 = 50 ?a 3
7 0 , 0 0 5 млн рб Умножая это равенство на (1,005)
A = (1,005)
= 0,8916216 ? 50 ? 33,70250372 = 1502,49 млн рб.
Способ 2. Этот способ не очевидный и дает пример, когда
небольшая изобретательность позволяет упростить вычисления. Поместим на
диаграмму дополнительные платежи по 50 млн рб в концах первых
|
0 |
1 |
2 |
3 |
... |
23 |
24 |
25 |
... |
59 |
60 |
|
A |
(50) |
(50) |
(50) |
... |
(50) |
50 |
50 |
... |
50 |
50 |
|
(50) |
(50) |
(50) |
... |
(50) |
|
|
|
|
|
Поскольку дополнительные платежи будут одинаково входить в
обе части уравнения эквивалентности, их присутствие не должно влиять на
правильность результата. В правой части будет стоять стоимость аннуитета с
|
A + 50 ?a |
|
|
0 , 0 0 5 = 50 ? a |
|
|
|
|
|
|
млн рб. |
|
2 3 |
|
6 0 |
|
0 , 0 0 5 | ||||||
|
Подставляя сюда соответствующие значения |
|
a |
|
|
i |
из таблицы и выражая | ||||
|
|
n |
| ||||||||
|
A , получим |
|
|
|
|
|
| ||||
A = 50 ? ( a 6 0 0 , 0 0 5- a 2 3 0 , 0 0 5) млн рб =
= 50 ? ( 51,72556075 - 21,67568055 ) = 1502,49 млн рб.
Способ 1 является более естественным, но при наличии таблиц Способ 2 является более простым.
|
Если два способа, описанные в примере, применяются при расчете |
A |
|
для аннуитета с n платежами поR рб каждый, отсроченного на |
k |
49

|
периодов, |
и с нормой процента i |
за период, тогда общая формула для | ||||||||||
|
Способа 1 имеет вид |
|
|
|
|
|
|
|
|
|
| ||
|
|
A = (1 +i) |
|
|
i . |
(8) | |||||||
|
|
n |
| ||||||||||
|
А для Способа 2 эта формула выглядит следующим образом | ||||||||||||
|
|
A = R( a |
|
|
i - a |
|
|
i |
) . |
(9) | |||
|
|
n k |
|
k |
| ||||||||
|
Так как |
значения A для обоих |
методов |
должны |
быть одинаковы, | ||||||||
приравнивая правые части равенств (8) и (9), мы получим полезное тождество
|
a |
|
|
i - a |
|
|
i = (1 +i)- k a |
|
|
i . |
(10) |
|
n k |
|
k |
|
п |
|
Здесь снова следует заметить, что полезно освоить методы получения результатов, а не запоминать полученные формулы. Всегда нужно точно представлять исходные данные на временной диаграмме, правильно определяя количество платежей и период отсрочки.
Аннуитет представляет собой частный случай денежного потока, это последовательность из n денежных потоков по одному в каждом периоде.
Выделяют:
аннуитет постнумерандо (обыкновенный);
аннуитет пренумерандо (авансовый).
Оценка срочных аннуитетов.
Если число временных интервалов ограничено, аннуитет называется срочным.
В этом случае:
.
Примером срочного аннуитета постнумерандо могут служить регулярные платежи, за аренду помещения, квартиры.
В качестве срочного аннуитета пренумерандо может выступать схема периодических денежных вкладов на банковский счет в начале каждого месяца с целью накопления достаточной суммы для крупной покупки.
Формула для определения будущей стоимости аннуитета постнумерандо.
Величина регулярного поступления - А.
Процентная ставка - r.
Наращенный денежный поток имеет вид:
![]()
Формула
трансформируется
следующим образом:
, (21)
где
- мультиплицирующий
множитель, который показывает, чему будет равна суммарная величина срочного
аннуитета в одну денежную единицу к концу срока его действия (будущая стоимость
фактора аннуитета).
Мультиплицирующий множитель
представляет собой
сумму членов геометрической прогрессии:
, где
.
Умножив обе части этого уравнения на q получим:
.
Вычитая одно уравнение из другого получим:
.
Таким образом,
,
. (22)
Пример 19.
Вам предлагают сдать в аренду участок на три года и выбрать один из двух вариантов оплаты аренды:
а) 10 млн. руб. в конце каждого года;
б) 35 млн. руб. в конце трехлетнего периода.
Какой вариант наиболее предпочтительнее, если банк предлагает 20% годовых по вкладам?
а) аннуитет постнумерандо при n = 3 и А = 10 млн. руб.
В этом случае имеется возможность ежегодно инвестировать сумму арендного платежа в банк.
Будущая стоимость:
, что больше 35
млн. руб. (вариант б). Следовательно вариант а) более выгоден.
Текущая стоимость срочного аннуитета постнумерандо выводится из
формулы
и
имеет вид:
, (23)
где
- дисконтирующий
множитель (приведенная стоимость фактора аннуитета).
.
Пример 20.
Определить текущую стоимость денежных поступлений в размере 10 млн. руб. в год, n = 3 года, r = 20 %.
![]()
Расчетные формулы для аннуитета пренумерандо.
Будущая стоимость аннуитета пренумерандо.
. (25)
Приведенная стоимость аннуитета пренумерандо.
. (26)
Пример 21.
Ежегодно в начале года в банк делается очередной взнос в размере 10 млн. руб. Банк платит 20 % годовых. Какая сумма будет на счете по истечении трех лет?
![]()
Пример 22. (д. З.)
Вам предложено инвестировать 100 млн. руб. на срок 5 лет при условии возврата этой суммы частями (ежегодно по 20 млн. руб.). По истечении пяти лет выплачивается дополнительно вознаграждение в размере 30 млн. руб. Принимать ли это предложение, если можно «безопасно» инвестировать деньги в банк из расчета 12 % годовых?
При депонировании денег в банк к концу пятилетнего периода на счете будет сумма:
![]()
При возмещении вложенной суммы частями можно предположить, что ежегодные поступления в размере 20 млн. руб. можно немедленно пускать в оборот, получая дополнительные доходы - депонировать в банк.
Денежный поток в этом случае можно представить двояко:
а) как срочный аннуитет постнумерандо с А = 20, n = 5, r = 20 %.
![]()
б) как срочный аннуитет пренумерандо с А = 20, n = 4, r = 12 % и единовременное получение сумм 20 и 30 млн. руб.
![]()
Предложение экономически нецелесообразно.
Оценка аннуитета с изменяющейся величиной платежа.
Пример 23.
Сдан участок в аренду на десять лет. Арендная плата будет осуществляться ежегодно по схеме постнумерандо на следующих условиях: в первые шесть лет по 10 млн. руб., в оставшиеся четыре года по 11 млн. руб. Оценить приведенную стоимость такого договора, если процентная ставка равна 15 %.
Можно выделить два варианта решения.
Исходный поток можно представить в виде суммы двух аннуитетов:
первый: А = 10, n = 10 лет;
второй: А = 1, n = 4.
Второй аннуитет будет дисконтирован к началу седьмого года, поэтому полученную сумму необходимо дисконтировать к началу первого года.

![]()
2. Исходный поток можно представить как разность двух аннуитетов:
первый: А = 11, n = 10 лет;
второй: А = 1, n = 6.
![]()
Бессрочный аннуитет.
Аннуитет называется бессрочным, если денежные поступления продолжаются достаточно длительное время.
Приведенная стоимость бессрочного аннуитета:
,
. (27)
В качестве коэффициента дисконтирования r принимается гарантированная процентная ставка (ставка процента государственного банка).
Пример 24.
Определить текущую стоимость бессрочного аннуитета с ежегодным поступлением 420 тыс. руб., если предлагаемый государственным банком процент по срочным вкладам равен 14 % годовых.
PV = 420 : 0,14 = 3 млн. руб.
Непрерывные платежи.
Если вместо 1 $ в конце каждого периода (года) мы получали бы m
платежей, каждый из которых 1/m $, и если
,
то текущая стоимость серии таких выплат в течениеn лет при ставке
будет
равна
,
где
- эквивалентная
непрерывная ставка,
.
Пример 25.
Корпорация ожидает получить 3 650 000 $ в течение года. Корпорация хочет использовать ставку дисконтирования, эквивалентную 5 % за 6 месяцев.
Необходимо сравнить текущую стоимость этой суммы при различных предположениях о времени ее получения.
Эффективная годовая ставка остается одинаковой при всех сравнениях.
Сумма будет получена в начале года
PV = 3 650 000 $.
Сумма будет получена в конце года.
Ставка дисконтирования:
,
,
.
Сумма поступит в середине года при 5 %- ной ставке за полугодие
.
Деньги будут получены в виде 12 одинаковых платежей по 304 167 в конце каждого месяца.
Ставка дисконтирования в месяц:
,
,
![]()
,
.
Получение суммы является непрерывным процессом.
Ставка дисконтирования:
= ln (1,1025) =
0,09758.
.
Пример 26.
Компания хочет взять 10 000 $ в кредит у банка и расплатиться за него тремя ежегодными платежами (первый платеж через год). Банк взимает 10 % годовых. Каковы будут ежегодные платежи?
;
.
,
.
Пример 27.
Через 14 лет Джонс начнет получать пенсию 20 000 $ в год пожизненно (15-й год - первая выплата). Рассчитать текущую стоимость пенсии.
.

.
Пример 28.
Определить текущую стоимость аннуитета по 60 $ в год в течение 20 лет с первой выплатой в периоде 10 и r = 0,1.
.

Если первая выплата происходит в период 10, то для нахождения текущей стоимости необходимо провести дисконтирование аннуитета на 9 лет.
Это случай аннуитета постнумерандо.
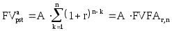
Будущая стоимость j-срочного аннуитета постнумерандо при условии нескольких начислений процентов в году и нескольких поступлений средств в году
,
,
где A - суммарный годовой платеж;
r - годовая ставка;
n - количество лет;
m - число начислений процентов в году;
j - количество равных поступлений средств в году.
Будущая стоимость j-срочного аннуитета пренумерандо
.
Иногда желательно считать, что срок аннуитета начинается датой
первого
платежа. В этом случае
периодические платежи
производятся
в
начальные
моменты
интервалов платежа,
а
не в
конце.
Такой
аннуитет
называется полагающимся аннуитетоми состоит
из серии
периодических платежей,
производимых
в
начальные
моменты
интервалов платежей, со сроком,
начинающимся датой
первого
платежа
и заканчивающимся через
один
интервал после последнего платежа.
Так
как
настоящая
стоимость аннуитета
была
определена
как
эквивалентная сумма на начало срока, значит настоящая стоимость полагающегося аннуитета является эквивалентной суммой на момент первого платежа. В свою очередь, итоговая сумма аннуитета была определена как эквивалентная сумма на конец срока, поэтому итоговая сумма полагающегося аннуитета является эквивалентной суммой на дату окончания интервала платежа, который начался в момент последнего платежа.
|
Как и прежде A |
будет обозначать настоящую стоимость, |
S |
- итоговую | ||||||
|
сумму, R - стоимость периодического платежа и |
i - |
норму |
процента за | ||||||
|
интервал |
платежа |
полагающегося |
аннуитета |
из |
n |
платежей. | |||
|
Представим эти данные на временной диаграмме |
|
|
|
| |||||
|
|
0 |
1 |
2 |
3 ... |
|
n |
|
|
|
|
|
R |
R |
R |
R ...R |
R |
|
|
|
|
|
|
A |
|
|
|
|
S |
|
|
|
44
Из диаграммы видно, что существенное отличие полагающегося аннуитета от обыкновенного аннуитета состоит в том, что по отношению к эквивалентным суммам A иS при полагающемся аннуитете каждый платеж делается на один интервал платежа раньше, чем при обыкновенном аннуитете. Сформулируем схемы вычислений настоящей стоимости и итоговой суммы для полагающихся аннуитетов.
|
Определение A. Способ 1. Выписывается |
уравнение эквивалентности | |||||||||||||||||||
|
с датой сравнения, установленной |
на интервал платежа раньше даты | |||||||||||||||||||
|
первого платежа. На эту дату n платежейR |
могут рассматриваться как | |||||||||||||||||||
|
обыкновенный аннуитет. Следовательно, |
|
|
|
|
|
|
|
|
|
|
|
|
|
|
| |||||
|
|
A(1 +i) |
|
|
|
i . |
| ||||||||||||||
|
|
n |
|
| |||||||||||||||||
|
Из этого равенства получаем |
|
|
|
|
|
|
|
|
|
|
|
|
|
|
|
| ||||
|
|
A = (1 +i)R a |
|
|
|
|
|
i . |
|
|
|
|
(4) | ||||||||
|
|
n |
|
|
|
|
| ||||||||||||||
|
Способ 2. |
Выписывается уравнение |
эквивалентности |
с датой | |||||||||||||||||
|
сравнения, установленной на дату начала |
срока. Платеж в этот день | |||||||||||||||||||
|
рассматривается как выплата наличными, а |
остальные | |||||||||||||||||||
|
могут рассматриваться как обыкновенный аннуитет. Поэтому |
| |||||||||||||||||||
|
|
A = R + R a |
|
|
i =R(1 +a |
|
|
i ). |
(5) | ||||||||||||
|
|
n 1 |
|
n 1 |
| ||||||||||||||||
|
Определение S. Способ 1. Выписывается |
уравнение эквивалентности | |||||||||||||||||||
|
с датой сравнения, установленной на дату последнего платежа. |
На эту | |||||||||||||||||||
|
дату платежи |
могут рассматриваться как обыкновенный аннуитет. | |||||||||||||||||||
|
Следовательно, |
|
|
|
|
|
|
|
|
|
|
|
|
|
|
|
|
|
|
|
|
|
|
S(1 +i) |
s |
|
|
|
|
|
|
|
|
|
|
. |
|
|
|
| |||
|
|
|
n |
i |
|
|
|
| |||||||||||||
|
Разрешая это соотношение относительно S , получим |
| |||||||||||||||||||
|
|
S = (1 +i)R |
s |
|
|
i . |
|
|
|
|
(6) | ||||||||||
|
|
n |
|
|
|
|
| ||||||||||||||
Способ 2. Обращаясь снова к временной диаграмме, можно увидеть, что если добавить дополнительный платеж в конце последнего интервала платежа, получающаяся серия платежей ( начинающаяся за
45

интервал платежа до начала срока рассматриваемого аннуитета ) может рассматриваться как обыкновенный аннуитет с n + 1 платежами. Этот дополнительный платеж увеличивает суммуS ровно наR , так как делается в день окончания срока аннуитета. Поэтому
S + R = R s n 1 i .
Отсюда итоговая сумма полагающегося аннуитета равна
|
|
|
S = R s |
|
|
i |
- R =R(s |
|
|
i |
- 1) . |
(7) |
|
|
|
n 1 |
|
n 1 |
| ||||||
|
Знакомясь со способами расчета |
A иS , следует иметь ввиду, что | ||||||||||
|
главное здесь |
не |
полученные |
формулы, |
|
а рассуждения, с помощью | ||||||
|
которых они получены. Именно такого рода |
рассуждения |
часто | |||||||||
|
используются |
при |
решении разнообразных финансовых проблем, как | |||||||||
|
можно увидеть позже. |
|
|
|
|
|
| |||||
ПРИМЕР 1 Найти эквивалентную стоимость холодильника, который может быть куплен в течение полутора лет ежемесячными платежами по 200000 рб , если деньги стоятj12 = 6% .
РЕШЕНИЕ На основе исходных данных построим диаграмму
|
|
0 |
1 |
2 |
3 |
... |
16 |
17 |
18 |
200000 200000 200000 200000 ... 200000 200000
A
Способ 1. На дату, помеченную
A(1,005)
поэтому
A = 201000 ? 17,172768 = 3451726 рб.
Способ 2. Первый платеж можно рассматривать как выплату наличными, а остальные 17 платежей считать обыкновенным аннуитетом со сроком,
46

начинающимся в день покупки. Тогда из уравнения эквивалентности с датой сравнения в день покупки получим
A = 200000 + 200000 ?a 1 7 0 , 0 0 5 =
= 200000 ? (1 + 16,258632) = 3451726 рб.
ПРИМЕР 2 Сберегательный банк начисляет проценты с нормойj2 = 4% Если на депозитный счет вносить в начале каждого полугодия по 50000 рб, какая сумма будет лежать на этом счете через 12 лет ?
РЕШЕНИЕ Поместим исходные данные на временную диаграмму
|
|
0 |
1 |
2 |
3 ... |
22 |
23 |
24 |
|
|
50т |
50т |
50т |
50т ... |
50т |
50т |
S |
|
|
|
|
|
|
|
|
Способ 1. Выпишем уравнение эквивалентности, используя дату последнего платежа как дату сравнения. На эту дату накопленная сумма платежей равна итоговой сумме обыкновенного аннуитета, поэтому
S(1,02)
Отсюда имеем
S = 51000 ? 30,421862 = 1551515 рб.
Способ 2. В конце
S + 50000 = 50000 ?s 2 5 0 , 0 2 .
Из него находим
S = 50000(s 2 5 0 , 0 2 - 1 ) = 50000(32,0303 - 1) = 1551515.
47
Иногда появляется необходимость перевода обыкновенных простых аннуитетов в обыкновенные общие аннуитеты. Преобразование можно сделать достаточно просто с помощью второго равенства (6) и таблиц функций составных платежей. Такая задача появляется, когда требуется
70

найти платежи общего аннуитета. Идея нахождения общего аннуитета состоит в определении простого аннуитета, который мог бы быть использован для выполнения намеченных целей, а затем преобразования этого простого аннуитета в эквивалентный общий аннуитет.
ПРИМЕР Дом, оцененный в 120 млн рб, продается за 20 млн рб наличными и последовательность одинаковых полугодовых платежей в течение следующих 20 лет. Какими должны быть платежи при норме процентов a)j1 = 4,5 % , b)j4 = 4.5 % ?
РЕШЕНИЕ a) Сначала решим задачу о простом аннуитете : какие понадобятся ежегодные платежи ? В этом случае в качестве ежегодных платежей простого аннуитета должны быть
|
R = 100 млн /а |
|
|
= 100 ? 0,07687614 = 7687614 рб. | ||||||
|
2 0 |
|
4 ,5 % | |||||||
|
Теперь преобразуем простой |
аннуитет в требуемый общий аннуитет. | ||||||||
|
Мы имеем R = 7687614 ,m = 1,p =2 ,i = 4,5 % . | |||||||||
|
0 |
|
|
|
|
|
|
|
( 1 год ) |
1 |
|
|
|
|
|
|
|
|
|
|
R |
|
0 |
|
|
|
|
|
|
|
1 |
2 |
|
|
|
|
|
|
|
|
|
W |
W |
|
Из второго уравнения |
(6) |
получаем |
эквивалентные полугодовые | ||||||
|
платежи W |
|
|
|
|
| ||||
|
W = R s |
|
|
= 7687614 ? 0,49449811 = 3801511 рб. | ||||||
|
0 ,5 |
|
4 ,5 % | |||||||
b) Как и в предыдущем случае, сначала находим платежи простого аннуитета, выплачиваемые поквартально,
R = 100 млн /а8 0 1 ,1 2 5 % = 100 ? 0,01902323 = 1902323 рб.
Теперь преобразуем этот простой аннуитет, выплачиваемый поквартально, в общий аннуитет с полугодовыми платежами
71

|
0 |
1 |
2 |
3 |
4 |
|
|
R |
R |
R |
R |
|
0 |
|
1 |
|
2 |
|
|
|
W |
|
W |
Из второго уравнения (6) получаем эквивалентные полугодовые платежи общего аннуитета
W = R s2 1,1 2 5 % = 1902323 ? 2,0112500 = 3826047 рб .
Функции составных платежей широко используются в финансовых расчетах, связанных с платежами распределенными во времени. Для основных из них составлены таблицы, принципы составления которых отражены в приложении к книге. Важную роль при финансовых расчетах играют также тождества, которые устанавливают часто используемые взаимоотношения между функциями составных платежей s n i иа n i .
Воспользуемся равенством (2)
|
|
|
S =A(1 +i)п . |
|
|
|
|
| |||
|
Подставляя в это равенство значения S |
и |
|
A по |
формулам (1) и(3) и | ||||||
|
сокращая обе части равенства на R , получим |
|
|
|
| ||||||
|
s |
|
|
|
= (1 + i)п |
а |
|
|
|
. |
(11) |
|
n |
|
i |
n |
|
i | |||||
|
|
|
|
|
|
|
| ||||
Эта формула и определяет первое тождество, связывающее рассматриваемые функции.
50

Далее, из определения
|
s |
|
|
i |
|
1 i n |
|
1 | |||||||||||||
|
|
|
|
|
|
|
|
|
|
i |
|
|
|
| |||||||
|
n |
|
|
|
|
|
|
|
|
|
|
|
| ||||||||
|
следует, что |
|
|
|
|
|
|
|
|
|
|
| |||||||||
|
|
|
|
|
|
|
|
|
|
|
|
|
|
| |||||||
|
|
1 + i |
s |
|
|
|
|
|
= (1 + i)п . | ||||||||||||
|
|
|
n |
i | |||||||||||||||||
|
Поделив это равенство на (11), мы получим второе тождество | ||||||||||||||||||||
|
1 |
|
|
|
i |
|
1 |
|
|
(12) | |||||||||||
|
|
|
|
|
s |
|
|
|
|
|
|
a |
|
| |||||||
|
|
|
|
|
n |
|
i |
|
|
|
|
|
|
|
n |
|
i | ||||
|
Оба тождества (11) и (12) справедливы для |
|
любых значений параметров | ||||||||||||||||||
|
n и i. |
|
|
|
|
|
|
|
|
|
|
|
|
|
| ||||||
В дополнение к только что полученным тождествам можно добавить и ряд других важных тождеств. Некоторые из них предлагается получить в порядке выполнения нижеследующих упражнений. Важность этих тождеств можно оценить тогда, когда при расчетах необходимо определять значения функций составных платежей для таких n , которые лежат за пределами имеющихся таблиц.
|
ПРИМЕР При приобретении дома необходимо заплатить 20 |
млн рб в | ||||||
|
день покупки и выплачивать 750 тыс |
рб |
ежемесячно |
в течение | ||||
|
следующих 20 лет. Если деньги стоят j12 = 6% |
, какова стоимость дома на | ||||||
|
день покупки ? |
|
|
|
|
|
|
|
|
РЕШЕНИЕ Поместим исходные данные на временную диаграмму | |||||||
|
0 |
1 |
2 |
3 |
... |
240 |
| |
|
20 млн |
750 тыс |
750 тыс |
750 |
тыс |
... |
750 тыс |
|
|
X |
|
|
|
|
|
|
|
Уравнение эквивалентности с датой сравнения в день покупки
51
|
|