RefMag.ru - Оценка. Помощь в решении задач, тестов, практикумов, курсовых, аттеста­ционных

RefMag.ru - Помощь в решении в учебе

Заказать:
- заказать решение тестов и задач
- заказать помощь по курсовой
- заказать помощь по диплому
- заказать помощь по реферату

Репетитор оценщика

Готовые работы заочников

Тесты:

Задачи:

Примеры работ по оценке

Примеры курсовых работ
Примеры аттест­ационных работ
Учебные дисциплины
Литература
Заказ работ:




Оказываю помощь по решению задач, тестов, консультации по самостоятельному выполнению контрольных, курсовых и дипломных. Сергей.
admin@refmag.ru, , ,

Примеры: | контрольные | курсовые | дипломные | отзывы |

Пример работы

Амортизация в оценке стоимости

Похожие работы:

Амортизация долга в финансовой математике

Первоначально слово амортизация означало ликвидацию долга любыми

способами.

В современном использовании термин амортизация означает

погашение

 

долга,

 

основной

суммы

и

процентов,

путем

последовательности

обычно

одинаковых платежей. Таким образом,

каждый

платеж

содержит уплату

процентов, накопившихся за

неоплаченную

основную

сумму

в

течение

предшествующего

временного

периода,

а

также возмещение

части неоплаченной

основной

суммы.

Поскольку платежи обычно являются равными, они

образуют аннуитет.

ПРИМЕР 1 Долг 100 млн рб необходимо амортизировать равными платежами в конце каждого года в течение 5 лет. Если процент за неоплаченную основную сумму начисляется по 5% эффективно, найти сумму каждого платежа. Составить расписание, показывающее, какая часть основной суммы возмещена, и какая часть основной суммы остается неоплаченной на конец года.

РЕШЕНИЕ Сначала найдем, какими должны быть платежи. Так как пять платежей образуют обыкновенный аннуитет с настоящей стоимостью 100 млн рб ( первоначальная задолженность ), мы имеем

100 = R а5

 

5%

или

R = 100 /а5

 

5% = 23097,5 тыс рб.

 

 

Теперь составим расписание,

показывающее процесс амортизации

долга. Так как исходная сумма долга 100 млн рб использовалась заемщиком в течение первого года, процент, полагающийся в конце этого года равен

100 ? 0,05 млн рб = 5 млн рб.

Так как платеж составляет 23,0975 млн рб, 18,0975 млн рб из этих денег возмещает основную сумму. Поэтому задолженность в конце года сводится к

100 - 18,0975 = 81,9025 млн рб

77

и эта сумма является неоплаченной частью основной суммы в течение второго года. В конце второго года полагаются проценты с суммы 81,9025 млн рб, то есть

81,9025 ? 0,05 млн рб = 4,0951 млн рб .

Платеж остается прежним 23,0975 млн рб, что дает возможность свести задолженность по основной сумме к

81,9025 - (23,0975 - 4,0951) = 62,9001 млн рб .

Такая вычислительная процедура повторяется для последующих трех лет, в течение которых долг должен быть полностью ликвидирован. Нижеследующая таблица дает полное представление о процессе погашения долга

Конец

Процент

Годовой

Возмещенная

Неоплаченная

года

5% в год

платеж

сумма

сумма

0

 

 

 

100000000

1

5000000

23097500

18097500

81902500

2

4095100

23097500

19002400

62900100

3

3145000

23097500

19952500

42947600

4

2147400

23097500

20950100

21997500

5

1099900

23097400

21997500

0

Всего

15487400

115487400

100000000

 

Итог в конце таблицы желателен для целей проверки. Полная сумма столбца «Возмещенная сумма» должна совпадать с первоначальной задолженностью. Точно также, сумма столбца «Годовые платежи» должна совпадать с суммарным процентом плюс сумма столбца «Возмещенная сумма» .

Другой тип задачи амортизации появляется, когда размер платежей задан и нужно найти сколько платежей нужно сделать и каким должен быть последний платеж. Рассмотрим эту задачу на примере.

ПРИМЕР 2 Долг 100 млн рб при норме процентаj2 = 6% будет амортизирован платежами по 20 млн рб в конце каждых 6 месяцев пока не

78

будет возмещен. Составить расписание амортизации, показывающее процесс полного погашения долга.

РЕШЕНИЕ Процент, полагающийся в конце первых 6 месяцев, равен 100 ? 0,03 = 3 млн рб. Платеж 20 млн рб, сделанный в это время, выплатит процент и уменьшит неоплаченную часть основной суммы долга на 17 млн рб. Таким образом, первый платеж уменьшит долг до 83 млн рб. Далее процедура вычисления повторяется и результаты сводятся в таблицу

Конец

Процент

Выплата

Возмещаемая

Неоплаченная

периода

(3%)

за период

сумма

сумма

0

 

 

 

100,000

1

3,000

20,000

17,000

83,000

2

2,490

20,000

17,510

65,490

3

1,965

20,000

18,035

47,455

4

1,424

20,000

18,576

28,879

5

0,866

20,000

19,134

9,745

6

0,292

10,037

9,745

0

Всего

10,037

110,037

100,000

 

------------------------------------------------------------------------------------------------

Как видим заключительный платеж составляет только 10,037 млн рб, так как эта сумма полностью ликвидирует долг.

Рассмотренные примеры показывают, что задачи, касающиеся амортизации, по существу, являются задачами об аннуитетах с известной настоящей стоимостью, а расписание амортизации является просто записью, которая показывает распределение по времени выплат процентов и возмещений основной суммы долга.

Амортизация, использующая различные процентные ставки в финансовой математике

Для малых ссуд законодательство многих стран предусматривает возможность использования двух или более норм процента в зависимости от размера ссуды. Например, компания может установить 2% в месяц на неоплаченную основную сумму 1 млн рб или меньше, и только 1% в месяц на превышение неоплаченной основной суммы над 1 млн рб. Таким образом, если в этих условиях было занято 2,5 млн рб, две нормы процента использовались бы пока неоплаченный остаток не был сведен до 1 млн рб или меньше, после чего использовалась бы только одна норма процента. Подобным образом можно было бы использовать три или даже более норм процента.

Будем использовать следующие обозначения

A - первоначальная полная сумма ссуды.

A1

- сумма долга, которая амортизируется первой.

A2

- сумма долга, которая амортизируется второй.

i1

- норма процента, выплачиваемого за A1 .

i2

- норма процента, выплачиваемого за A2 .

I1 = A1 i1 , I2 = A2 i2 и I = I1 + I2 .

n - полное число платежей.n = n1+ n2 .

n1

- число платежей, требуемых для амортизации A1 .

n2

- число дополнительных платежей, требуемых для

амортизации A2 .

R - периодические платежи, которые погашают долг.

91

Pt - неоплаченная основная сумма сразу же послеt-го

платежа .

 

 

 

 

 

 

 

 

 

 

 

Сначала получим формулы для

 

неоплаченной

основной

суммы для

произвольного

момента

времени

t

. В

течение

первой

стадии

амортизации,

для t

n1

,

платежом

R выплачивается процент

I2

за A2 и амортизируется

A1

(

или немного более, чем

A1

)

при

i1.

При ретроспективном методе неоплаченная часть основной суммы будет, следовательно, равна

P = A2 +A1(1 + i1) t - (R - I2) st i .

Однако, так как

(1 +

i)t = 1 +i s

 

 

i

, предыдущее равенство может

t

 

быть написано в более простом виде

 

 

Pt

= A - (R - I) s

 

 

i 1

t = 1, 2, ... ,n .

 

t

 

После того, как

n1

платежей сделаны, используется только одна норма

процента и неоплаченная часть основной суммы по методу перспективы равна

Pt =R a

 

 

 

 

t =n1 ,n1+ 1 , ...

n

 

t

 

 

i2

Так как обе формулы имеют место при t =n1 , они могут быть приравнены друг другу при этой дате и равенство может быть разрешено относительноR , что даст

 

 

 

 

 

 

 

 

 

 

 

 

 

 

 

 

 

 

 

A

 

 

Is

 

 

 

 

 

 

 

 

R

 

 

 

 

 

 

 

n1

 

i1

 

 

 

 

 

 

 

 

 

 

 

 

 

 

 

 

 

 

 

 

 

 

 

 

 

 

 

 

 

 

.

(5)

 

a

 

 

 

 

 

s

 

 

 

 

 

 

 

 

 

n 2

 

i2

 

 

 

n1

i1

 

Для того, чтобы определить

n1

и

n2

,

 

 

мы заметим, что так как

R

должно быть достаточно большим, чтобы выплатить I2 и амортизироватьA1 приi1 вn1 периодах

R I2 +A1 /a n 1 i1 .

92

Более того, так как первые n1 платежей сокращают долг доA2 или менее,R не будет превышать платежи, необходимые для амортизацииA2 приi2 вn2 периодах. Поэтому

 

 

 

R A /

a

 

 

 

 

 

= I +A /

s

 

 

 

 

 

 

 

 

 

 

 

 

 

 

n 2

i 2

n 2

 

i2

 

 

 

 

 

 

 

2

 

 

 

2

2

 

 

 

 

 

 

 

 

по одному из

тождеств для

 

функций

составных

 

 

платежей. Объединяя

оба неравенства, получим неравенство

 

 

 

 

 

 

 

 

 

 

 

 

 

 

 

 

 

 

 

 

А1 s

 

 

 

i2

 

 

А2 a

 

 

 

 

 

 

 

 

 

 

 

(6)

 

 

 

n 2

 

 

 

n 1

 

i1

 

 

 

 

 

 

 

 

в котором

n1

является

наименьшим

целым

 

 

числом,

которое

удовлетворяет неравенству (6). Для того,

 

чтобы

 

 

избежать процедуры

выбора

численных значений

 

n1

и

n2

 

в неравенстве (6), мы можем

сначала

оценить

их следующим образом : так как

а

 

 

i n

s

 

 

i ,

п

 

п

 

неравенство (6) может быть заменено более слабым неравенством

A1n2< A2n1,

которое легко приводит к неравенствам

n1>

nA1 / Aи

n2

< nA2 / A.

(7)

На практике, n1 и

n2

оцениваются

из

(7), затем определяются точно

из (6), после чегоR

вычисляется из равенства (5).

 

ПРИМЕР 1 Сберегательный банк установил процентную ставку 3% в месяц на невыплаченную основную сумму 1 млн рб или меньше и 1% в месяц на превышение невыплаченной основной суммы над 1 млн рб. Если 2,5 млн рб заимствованы в этом банке и возмещаются шестью ежемесячными одинаковыми платежами, найти величину платежа и составить расписание амортизации.

РЕШЕНИЕ ЗдесьA1 = 1,5 ,A2 = 1 ,A = 2,5 ,

i1 = 1% , i

= 3% и n = 6.

Сначала мы используем неравенство (7) для оценки n1 иn2

 

n1 >nA1 / A = (6 1,5)/2,5 = 3,6 и

n2 = n - n1 <

2,4 .

93

Далее мы проверим удовлетворяют ли n1 = 4 иn2 = 2 неравенству(6) и поскольку это выполняется, считаем эти значения зафиксированными. Теперь вычисляемR из(5).

 

 

A Is

 

 

 

 

 

 

 

 

2 ,5 0 ,0 4 5 s

 

 

 

 

 

R

 

 

 

 

 

n 1

 

i1

 

 

 

 

 

 

 

 

 

 

 

 

 

 

4

1 %

 

 

 

 

 

 

 

 

 

 

 

 

 

 

 

 

 

 

 

 

 

 

 

 

 

 

 

a

 

 

 

s

 

 

 

 

 

 

a

 

 

 

 

 

s

 

 

 

 

 

 

 

 

 

 

n 2

i 2

 

 

n 1

i1

 

 

 

2

3 %

 

 

4

1 %

 

=0,4491 млн рб .

Взаключение составляем расписание амортизации

 

Конец

 

Процент

 

Процент

Периодич.

Выплаченная

Невыплаченная

 

периода

 

 

(3%)

 

 

 

(1%)

платеж

 

осн. сумма

 

осн. сумма

 

0

 

 

 

 

 

 

 

 

 

 

 

 

2,5000

 

1

 

 

3,00

 

 

 

1,50

0,4491

 

0,4041

 

2,0959

 

2

 

 

3,00

 

 

 

1,10

0,4491

 

0,4081

 

1,6878

 

3

 

 

3,00

 

 

 

0,69

0,4491

 

0,4122

 

1,2756

 

4

 

 

3,00

 

 

 

0,28

0,4491

 

0,4163

 

0,8593

 

5

 

 

2,58

 

 

 

 

0,4491

 

0,4233

 

0,4360

 

6

 

 

1,31

 

 

 

 

0,4491

 

0,4360

 

0

 

Всего

 

 

15,89

 

 

 

3,57

2,6946

 

2,5000

 

 

Для того

 

чтобы сравнить планы погашения долга, использующие

несколько

 

различных

норм, с планами,

использующими только одну

норму, или

другими

планами, удобно определить норму доходности

плана.

По

определению

она

равна

норме процента, которая

соответствовала простому аннуитету с теми же самыми

платежами,

сроком

и настоящей стоимостью. Она находится путем решения

уравнения A = R а

 

 

i

относительно

i , как это рассматривалось ранее в

п

 

параграфе 4.9 .

 

 

 

 

 

 

 

 

 

ПРИМЕР 2 Найти норму доходности амортизационного планапримера 1.

РЕШЕНИЕ Пустьi будет нормой доходности, тогда

2,5 = 0,4491 а6 i а6 i = 2,5 / 0,4491 = 5,5667

94

и с помощью интерполяции находим i = 2,185 % в месяц .

В планах с несколькими процентными ставками i1 почти всегда меньше, чемi2 и это будет предполагаться в будущем. Норма доходности будет всегда принимать значения между используемыми нормами и можно показать, что она больше, чемI/A .

Когда

план использует

три ставки,

наши

обозначения дополнятся

величинами A3 ,i3 и

n3 , смысл которых очевиден. Как и до сих пор

сначала

амортизируется

A1 , затем

A2и

A3 в последнюю очередь.

Невыплаченная часть основной суммы в течение первой фазы будет равна

Pt = A2 + A3 + A1(1 + i1) t - (R - I2 - I3) s t i 1 ,

что может быть упрощено, как в случае двух ставок,

Pt = A -R I st i1 t = 1, 2, ... ,n

В течение первой фазы обычно амортизируется больше, чем A1 , так чтоPn1 обычно меньше, чемA2 + A3 . Если мы введем величинуA2*= Pn1 - A3 ,

которая выражается

явно в виде

A2* = A1+ A2 - R I s

 

 

i1,

тогда

п1

 

оставшаяся задача (

после

n1 платежей ) является

задачей

 

с

двумя

нормами, рассматривающей

A2*и

A3 при нормах

i2и i3с

 

n2

и n3

платежами. Поэтому неоплаченная часть основной суммы в течение второй фазы может быть представлена в виде

Pt = A2*+ A3 - R I * st п1 i 2 , где I* = A2* i2 + I3

для t = n1+1 ,n2+2, ... ,n1+n2 .

В течение заключительной фазы, как и в случае двух норм,

Pt =R a

 

 

i 3

t = n1+n2 , ... ,n - 1.

n t

 

Так как последние два равенства справедливы для t = n1+ n2, приравнивая их правые части, получим уравнение для определенияR . В полученное равенство

95

R a n 3 i 3 = A2* + A3 - R I* sп2 i 2

мы подставим для A2* иI* их явные значения через исходные обозначения. Не выписывая получившееся довольно громоздкое выражение, отметим, что оно может быть упрощено путем использования тождеств для функций составных платежей и позволит выразитьR в следующем виде

 

A A3 i3

i2

a

 

 

 

 

 

 

Is

 

 

 

 

 

 

 

 

n2

 

n1

 

i1

 

R

 

 

 

 

 

 

 

 

 

 

 

 

 

i2

 

 

 

 

 

 

 

 

 

 

 

 

 

 

 

 

 

 

 

 

 

 

 

 

 

 

 

 

 

a

 

 

 

1 i

 

 

n2

a

 

 

 

 

 

 

s

 

 

 

 

.

(8)

 

 

 

 

2

 

 

 

 

 

 

 

 

 

 

 

 

 

n3

 

i3

 

 

 

 

 

n2

i2

 

 

n1

 

i1

 

Для того, чтобы определить

n1

, n2 и

 

 

 

n3

, план с тремя нормами

сравнивается с различными планами с двумя

нормами с теми же самыми

суммой и сроком. Вот эти планы :

 

 

 

 

1. Амортизировать

(A1

+ A2) и

А3

при нормах

r1 иi3 с числом

платежей (n1+ n2)

и n3

, где r1

лежит между i1

и i2 .

2. Амортизировать A1

и (A2+ A3)

при i1

и

r2

с числом платежей n1

и (n2 + n3) , гдеr2

лежит между i2

и i3 .

 

 

 

Неравенства (6) и(7) применяются к планам с двумя нормами и из(7) просто следует, что

n1 > nA1 /Aи n3 < nA3 /A,

(9)

в то же время использование неравенства (6) дает

 

(A1 + A2 )

s

 

 

 

i

 

A3

а

 

 

 

 

 

 

r

где

i1

< r1

< i2

(10a)

п

3

 

3

п

1

п

2

 

 

 

 

 

 

 

 

 

 

 

 

 

 

 

1

 

 

 

 

 

A1s

 

 

r2

 

 

 

(A2+ A3) а

 

 

 

где

i2

< r2

< i3

(10b)

n 2 п3

 

 

 

п 1

 

i 1

Как эти

неравенства

 

 

могут

быть

 

 

использованы для определения n1 ,

n2и n3

покажем на примере.

 

 

 

 

 

 

 

 

 

 

 

 

 

ПРИМЕР 3 Банк требует 3% в месяц за неоплаченную часть основной суммы 2 млн рб или меньше, 2% в месяц за превышение 2 млн рб, но не более 3 млн рб, и 1% в месяц за всю сумму выше 3 млн рб. Если в этом банке берется заем 4 млн рб и возмещается месячными платежами в

96

течение года, найти величину платежа и составить расписание амортизации. Найти норму доходности.

РЕШЕНИЕ

Здесь

 

A1 = 1,

A2

= 1,

 

 

 

 

A3 = 2,i1 = 1% ,

i2

= 2%, i3 = 3%,

n = 12 . Использование неравенства(9) дает

 

 

 

 

 

 

 

 

 

 

 

 

 

 

 

Поэтому

n1

n1

> (12 1)/4 = 3

 

 

и

n3

n3

 

< (12 2)/4 = 6

 

 

 

 

равно 4 или более и

 

 

 

 

 

 

 

равно

5

или

 

менее. Далее,

используя неравенства (10a) и(10b) мы получим

 

 

 

 

 

 

 

 

 

2 s

 

 

 

 

 

 

 

 

2 а

 

 

 

 

 

 

 

r

 

 

где

1% < r1

< 2%

 

 

 

 

 

 

 

3 %

п

 

п

 

 

 

 

 

 

 

 

п

3

1

2

 

 

 

 

 

 

 

 

 

 

 

 

 

 

 

 

 

 

 

 

 

 

 

 

 

1

 

 

 

 

 

 

 

 

 

 

 

 

 

 

 

 

 

 

 

 

 

1 s

 

 

 

 

 

 

 

r2

 

 

 

 

3 а

 

 

 

 

 

 

 

где

2% < r2

< 3%

 

 

 

 

n 2

 

п 3

 

п1

 

 

 

1 %

 

 

Используя таблицы можно

проверить,

что

 

n1

+

n2

= 7

является

наименьшим целым,

 

которое

 

 

удовлетворяет

 

первому неравенству для

любого значения

 

 

 

r1

 

между

 

1%

 

и

2%

 

. Аналогично из второго

неравенства мы найдем, что

n1

 

= 4 . Таким образом,

n1

= 4 ,

n2 = 3 ,

n3 = 5 . Значение

 

 

 

R теперь находится путем использования формулы(8)

 

 

 

 

 

 

 

4 0,02a

 

 

 

2% 0,09s

 

 

 

 

 

 

 

 

 

 

 

 

 

 

 

 

 

 

 

 

 

 

 

 

 

1%

 

 

 

 

 

 

 

 

 

 

 

 

R

 

 

3

4

 

0,3928.

 

 

 

 

 

 

 

 

 

 

 

 

 

 

 

 

 

 

 

 

 

 

 

 

 

 

 

 

 

 

 

 

 

a

 

 

 

 

1,02 3

 

a

 

 

 

 

 

 

 

s

 

 

 

 

 

 

 

 

 

 

 

 

 

 

 

5

3%

 

 

 

 

 

 

 

 

 

 

 

 

3

2%

 

 

4

1%

 

 

 

 

 

 

 

 

 

Расписание амортизации представляется таблицей

 

 

 

 

 

 

 

 

 

 

 

 

 

 

 

 

 

 

 

 

Конец

Процент

 

 

Процент

Процент

 

Платеж

 

 

 

Основная сумма

 

периода

3%

 

 

 

 

2%

 

 

1%

 

 

 

 

 

 

 

 

 

 

 

 

 

 

 

 

 

 

выплач.

 

невыплач.

 

0

 

 

 

 

 

 

 

 

 

 

 

 

 

 

 

 

 

 

 

 

 

 

 

 

 

 

 

 

 

 

 

 

 

 

 

 

 

 

 

 

 

 

 

4,0

 

 

1

0,06

 

0,02

 

 

0,01

 

 

 

 

 

 

 

 

0,3928

 

0,3028

 

 

3,6972

 

2

0,06

 

0,02

 

 

0,007

 

 

 

 

 

 

 

 

0,3928

 

0,3058

 

 

3,3914

 

3

0,06

 

0,02

 

 

0,0039

 

 

 

 

 

 

0,3928

 

0,3089

 

 

3,0825

 

4

0,06

 

0,02

 

 

0,0008

 

 

 

 

 

 

0,3928

 

0,3120

 

 

2,7705

 

5

0,06

 

0,0154

 

 

 

 

 

 

 

 

 

 

 

 

 

 

 

 

0,3928

 

0,3174

 

 

2,4531

 

6

0,06

 

0,0091

 

 

 

 

 

 

 

 

 

 

 

 

 

 

 

 

0,3928

 

0,3237

 

 

2,1294

 

7

0,06

 

0,0026

 

 

 

 

 

 

 

 

 

 

 

 

 

 

 

 

0,3928

 

0,3302

 

 

1,7992

 

8

0,054

 

 

 

 

 

 

 

 

 

 

 

 

 

 

 

 

 

 

 

 

 

 

 

 

 

 

0,3928

 

0,3388

 

 

1,4604

 

9

0,0438

 

 

 

 

 

 

 

 

 

 

 

 

 

 

 

 

 

 

 

 

 

 

 

 

 

 

0,3928

 

0,3490

 

 

1,1114

 

10

0,0333

 

 

 

 

 

 

 

 

 

 

 

 

 

 

 

 

 

 

 

 

 

 

 

 

 

 

0,3928

 

0,3595

 

 

0,7519

 

11

0,0226

 

 

 

 

 

 

 

 

 

 

 

 

 

 

 

 

 

 

 

 

 

 

 

 

 

 

0,3928

 

0,3702

 

 

0,3817

 

12

0,0115

 

 

 

 

 

 

 

 

 

 

 

 

 

 

 

 

 

 

 

 

 

 

 

 

 

 

0,3928

 

0,3813

 

 

0

 

 

Всего

0,5852

0,1071

0,0217

 

 

 

 

 

 

4,7136

 

3,9996

 

 

 

 

 

97

Несовпадение итогового результата с 4,0 объясняется тем, что платежи определялись с точностью до 100 рб. Вычисления с точностью до 1 рб дали бы более точный результат.

Для вычисления нормы доходности мы имеем

 

0,3928 а 1 2

 

i

= 4 ,

а 1 2

 

i = 4/0,3928 = 10,1833

 

 

 

 

 

 

 

 

 

и путем интерполяции получим i = 2.62 %

в месяц.

 

 

 

 

 

 

В большинстве случаев

неравенства (10a)

и (10b)

будут единственным

образом определять n1 ,

n2

и n3 . Однако, возможно, что для получения

единственного

решения

нам необходимо будет более точно знать

r1и

r2 . Имеется простой способ определения диапазона значений

этих

норм.

Если удовлетворительная аппроксимация

R

уже

имеется,

могут быть

использованы формулы

для

неоплаченной

части основной

суммы,

чтобы

аппроксимировать

n путем использования

того

факта,

что

A1

или

более амортизируется в течение первых

n1

периодов, а A3

 

или

менее амортизируется в течение последних n3

периодов. Значения

n1,

n2

и n3

, полученные

таким

образом, затем используются

 

для

вычисления нового значения

R

и процедура повторяется. Когда новое

R дает те же самые значения для

n , которые уже были

использованы

при вычислении, процесс вычисления завершается. Очевидно, что для

выполнения

таких

расчетов

желательно

иметь вычислительные

средства, а не только таблицы.

 

 

 

 

 

 

ПРИМЕР 4

Пусть A1 = 10 ,A2 = 5 ,

A3 = 5 ,i1 = 1% ,

i2 = 3% ,

i3 = 8% ,

n = 50. НайтиR .

 

 

 

 

 

 

 

 

 

РЕШЕНИЕ Из неравенства(9) мы имеем

 

 

 

 

 

 

 

 

 

n1 > nA1 /A = (50 10)/20 = 25

 

 

 

 

 

 

 

 

n3 < nA3 /A = (50 5)/20 = 12,5

 

 

При вычислении

R

начнем с значений n1 = 26 ,

n2

= 12 и

n3

= 12 ,

которые выбраны вблизи границ,

устанавливаемых неравенством (9). Мы

начинаем

с

наихудших

оценок,

чтобы показать

несущественность

начального

выбора. Производя

необходимые

вычисления,

получим

R = 0,9311

в качестве первого приближения. Для получения уточненных

значений

n1, n2

и

n3

мы используем приближенное значение

R в

 

 

 

 

 

98

 

 

 

 

 

формулах неоплаченной части основной суммы. Возмещенная в течение первых n1 периодов часть основной суммы равна

R I sп1 i1 = 0,2811sп1 1 % 10 ^

что дает s

 

 

 

 

 

35,5775

и это требует, чтобы n1 31. Основная сумма,

п1

 

1 %

возмещенная в течение заключительных n3 периодов равна

 

 

 

 

 

 

 

 

 

 

 

 

 

 

 

 

 

 

 

R a

 

 

i 3

= 0,9311 a

 

 

 

8 %

5 ,

 

 

 

 

 

 

 

 

 

 

 

 

 

 

 

 

 

 

 

 

 

n 3

 

n 3

 

 

 

 

 

 

 

откуда

a

 

 

 

 

 

5,3700

и это требует, чтобы

 

n3

 

7 . Теперь

n 3

 

8 %

 

 

пересчитываем

R ,

используя значения n1 = 31,n2 =12 и

n3 = 7. Новое

приближение

 

 

 

 

R

 

 

 

равно

 

0,9243.

Значения

s

 

 

1 % и

 

 

 

 

 

 

п1

 

a

 

 

пересчитываются

 

 

снова

с учетом этого уточненного значения

n 3

 

8 %

 

 

R . Это дает

 

 

 

 

 

 

 

 

 

 

 

 

 

 

 

 

 

 

 

 

 

 

 

 

 

 

 

 

 

 

 

 

 

 

 

 

 

 

s

 

 

1 % 36,4564

и

a

 

 

 

5,4095 ,

 

 

 

 

 

 

 

 

 

 

 

 

 

 

 

п1

 

n 3

 

 

8 %

 

 

 

 

 

что требует, чтобы n1 32 иn3 7 . Опять

вычисляем

R на этот раз

при

 

n1 = 31 ,n2 = 11 и

n3

=

7 . Новое значение R =

0,9243

оказывается

таким же, как

и

 

 

на предыдущем этапе вычислений. Поэтому величину

R

можно считать

вычисленной.

В

заключение

заметим,

что

более

удачный выбор

исходных значений может уменьшить число итераций

для

 

достижения

результата.

Например,

в

 

 

нашем случае при начальном

выборе

n1=

30

,

n2

= 10

, n3

=

10

 

 

для

достижения

результата

потребовалось

бы

на

одну итерацию меньше. На основе полученных

значений

 

параметров процесса амортизации

может

быть

построена

таблица амортизационного расписания (

 

 

в

этом

случае

она

будет

громоздкой, так как

должна

предусматривать

50

периодов начисления

процентов ).

 

 

 

 

 

 

 

 

 

 

 

 

 

 

 

 

 

 

 

 

 

 

 

 

 

 

 

 

После того, как некоторое количество платежей уже сделано, может возникнуть вопрос : какой является остаточная стоимость сделки ? Заемщик может ликвидировать долг в любой день путем выплаты неоплаченной части основной суммы плюс, быть может, небольшую сумму в связи с прекращением сделки. Однако, когда амортизационный контракт продается одним инвестором другому, цена может

99

значительно отличаться от той, которая указана в амортизационном расписании как неоплаченная часть основной суммы. Например, предположим, что контракт, рассмотренный нами как амортизация долга в примере 3, продается сразу же после четвертого платежа. Неоплаченная часть основной суммы в этот момент равна 2,7705 млн рб. Если контракт будет продан точно за эту цену, сделка будет такой же самой, как будто бы покупатель ссужает продавцу 2,7705 млн рб при точно таких же условиях, какие установлены впримере 3, то есть 3% в месяц на первые 2 млн рб и 2% в месяц на остающиеся 0,7705 млн рб, которые должны быть погашены8-мимесячными платежами. Можно показать, что норма доходности для восьми месячного контракта была бы 2,85 % в месяц, в то время как для первых 4 месяцев она была равна 2,21 % в месяц. Так как первоначальный собственник, возможно, имел некоторые издержки при получении контракта, он в праве думать, что если он продаст контракт за цену, указанную в расписании как неоплаченная часть основной суммы, покупатель оказался бы в лучшем положении, чем продавец. По этой и другим причинам контракты этого типа обычно продаются по цене, которая будет предусматривать некоторую компенсацию покупателю по определенной норме.

ПРИМЕР 5 Какой должна бы быть цена контракта дляпримера 3 сразу же после четвертого платежа для того, чтобы она могла дать покупателю a) 2% в месяц, b) 1,5 % в месяц ?

РЕШЕНИЕ a) Покупатель получает аннуитет из 8 месячных платежей по 0,3928. Для получения 2% в месяц цена должна быть

A = R a n i = 0,3928a 8 2 % = 2,8774 млн рб .

b) Для получения 1,5 % в месяц цена должна быть

A = 0,3928a 8 1 ,5 % = 2,9415 млн рб .

100

Взнос на аммортизацию единицы - функция временной стоимости денег

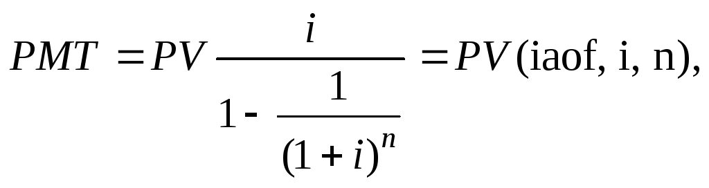
Нередко кредиты структурированы таким образом, что платежи в их погашение в течение установленного периода времени превышают процент и позволяют полностью с амортизировать кредит. Амортизацией (amortization) называется процесс погашения (ликвидации) долга с течением времени. Математически взнос на амортизацию кредита определяется как отношение одного платежа к первоначальной основной сумме кредита. Взнос на амортизацию единицы показывает, каким будет обязательный периодический платеж по кредиту, включающий процент и выплату части основной суммы и позволяющий погасить кредит в течение установленного срока.

В предыдущем параграфе было показано, что текущая стоимость 1 долл., ожидаемого к получению в конце каждого года на протяжении четырех лет, при 10%-ной годовой ставке составляет 3,1698 долл. Первый 1 долл. Будет стоить 0,90909 долл., второй — 0,8264 долл., третий — 0,7513 долл., четвертый —- 0,6830 долл. Сумма за четыре года равна 3,1698 долл. (0,90909 долл. + 0,8264 долл. + 0,7513 долл. + 0,6830 долл. « 3,1698 долл.).

Взнос на амортизацию 1 долл. Рассчитывается как величина, обратная полученному результату. Иначе говоря, при кредите в 3,1698 долл. Под 10% годовых взнос на амортизацию дает ответ на вопрос: «Каков ежегодный платеж, необходимый для амортизации (погашения) этого кредита в течение четырех лет?» Ответ равен 1 долл.

Математическое отношение одного платежа к первоначальной ос­новной сумме кредита составляет 1,00 долл./ЗДб98 долл. = 0,315477. Данный фактор — 0,315477$показывает величину периодического платежа, необходимого для погашения задолженности, т.е. для того чтобы полностью погасить долг (как его первоначальную сумму, так и начисляемые на остаток 10% годовых), на каждый доллар кредита по окончании каждого года в течение четырех лет необходимо выплачивать 0,315477 долл. Кредит в 100 раз больший потребует стократного увеличения регулярного платежа. Поэтому, если бы кредит составлял 316 000 долл., то ежегодные выплаты по нему в течение четырех лет равнялись бы 100 долл.

Чем выше процентная ставка и/или короче срок амортизации кредита, тем выше должен быть обязательный периодический платеж. И наоборот, чем ниже ставка процента и более продолжителен срок выплат, тем ниже обязательный регулярный платеж. Каждый равновеликий взнос на амортиза­цию единицы включает процент (доход на инвестиции) и выплату части первоначальной основной суммы (возврат инвестиций).

Предварительно рассчитанные таблицы

Интенсивное и широкое использование фактора взноса на амортизацию одного доллара вызвало необходимость построения соответствующих таблиц. Некоторые таблицы сложного процента, как правило в колонке 6, показывают данный фактор в расчете на 1 долл. Кредита. Другие же таблицы составляются в расчете на иные суммы кредита, обычно с шагом в 100 или 1000 долл.

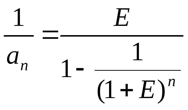
При составлении таблиц используется следующая формула, обратная формуле текущей стоимости аннуитета:

где Е — ставка процента;

п –число периодов;

an — текущая стоимость аннуитета.

Для построения набора таблиц следует разделить единицу на текущую стоимость аннуитета.

Взнос на амортизацию капитала определяется по формуле:

где:

РМТАК – взнос на амортизацию капитала;

РV- текущая сумма денег ( кредита).

Пример 2.6. Стивидорная компания для приобретения перегрузочного оборудования взяла ссуду в сумме 10 000 долларов США на 5 лет под 15 % годовых. Погашение должно производиться ежегодно равновеликими суммами. Каков размер платежа ?

Решение:

Покажем значения всех элементов расчета амортизации кредита внутри периода выплаты.

Большая часть первого платежа идет на выплату процента. По мере уменьшения долга уменьшается и выплата процента, в то время как сумма выплаты основного долга возрастает (табл.3.6)

Таблица 2.6.

Год

Сумма ос­новного долга на начало года, руб.

Годовая выплата (платеж), руб.

Выплачен­ная основная сумма, руб.

Выплаченные проценты, руб.

Сумма ос­новного долга на конец года, руб.

1-й

10000

2983

1483

1500

8517

2-й

8517

2983

1705

1278

6812

3-й

6811

2983

1961

1022

4851

4-й

4850

2983

2255

727

2594

5-й

2594

2983

2594

389

0

Взнос на амортизацию единицы и ее использование для целей оценки стоимости

а) При платежах (поступлениях), осуществляемых 1 раз в год:

б) при платежах (поступлениях), осуществляемых чаще, чем 1 раз в год:

Данная функция используется для определения аннуитетных (регулярных равновеликих) платежей в счет погашения кредита, выданного на определенный период при заданной ставке по кредиту.

Список литературы и источников на тему "Амортизация в оценке стоимости"

  1. Полный список готовых курсовых по оценке ценных бумаг (варианты 1, 2, 3, 4, 5)
  2. 2016 г. Оценка стоимости права собственности ценных бумаг, представленных в виде государственных облигаций (Россия-2022)
  3. 2013 г. Оценка стоимости права собственности ценных бумаг, представленных в виде государственных облигаций (Россия-2015)
  4. 2014 г. Оценка стоимости права собственности ценных бумаг, представленных в виде государственных облигаций (Россия-2020)
  5. 2011 г. Оценка стоимости ценных бумаг, вариант 4 (Оценка стоимости права собственности ценных бумаг, представленных в виде государственных облигаций ОВВЗ)
  6. Методы оценки стоимости государственных ценных бумаг

Другие похожие работы





© 2002 - 2026 RefMag.ru